2027年专利到期的杀虫剂——氟啶虫胺腈

作者:辉胜农药登记代理 2023/11/8 13:58:32
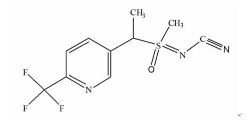
氟啶虫胺腈是陶氏益农公司(现科迪华公司)开发的新颖磺酰亚胺类杀虫剂,多用于防治刺吸式口器害虫,其防治谱广用量相对较少,市场反馈良好,前景广阔。今天一起来了解一下这个杀虫成分。一、基本信息中文名称:氟啶虫胺腈英文名称: sulfoxaflorCAS号:946578-00-3化学名称:[1-[6-(三氟甲基)吡啶-3-基]乙基]-λ4-巯基氨腈分子式:C18H12F5N3O相对分子质量:27
氟啶虫胺腈是陶氏益农公司(现科迪华公司)开发的新颖磺酰亚胺类杀虫剂,多用于防治刺吸式口器害虫,其防治谱广用量相对较少,市场反馈良好,前景广阔。今天一起来了解一下这个杀虫成分。

一、基本信息
中文名称:氟啶虫胺腈
英文名称: sulfoxaflor
CAS号:946578-00-3
化学名称:1-6-(三氟甲基)吡啶-3-基]乙基]-λ4-巯基氨腈
分子式:C18H12F5N3O
相对分子质量:277.27
结构式:

图片

理化性质:白色粉末,熔点112.9℃;在水中的溶解度56.8g/L(20);在有机溶剂中的溶解度(mg/L20):二甲苯中0.07,二氯甲烷中3960,甲醇中9310,正庚烷中0.002;堆积密度1.519g/cm3
作用机理:通过激活烟碱型乙酞胆碱受体内独特的结合位点,作用于昆虫的神经系统,进而发挥其杀虫功能。
二、登记概况
氟啶虫胺腈在国内共有4个产品获得登记,均为科迪华农业科技有限责任公司持有,详情如下:

100.jpg

三、专利情况

化合物专利如欧洲专利:EP1989184,美国专利:US7687634,中国专利:CN101384552等将于20272月到期。
四、混配推荐
1、氟啶虫胺腈与氯虫苯甲酰胺混配,可用于防治草地贪夜蛾及蚜虫、飞虱、蓟马、稻纵卷叶螟等多种害虫,其重量比为1:5050:1
2、氟啶虫胺腈与环溴虫酰胺混配有增效作用,有利于延缓抗性发展,可用于防治半翅目、鳞翅目、缨翅目、同翅目害虫。
3、氟啶虫胺腈与溴氰虫酰胺混配可用于防治双翅目、鞘翅目、半翅目、鳞翅目等多种害虫,其重量比为1:5050:1


相关推荐