应用较广泛的吡氟酰草胺除草剂全市场分析及趋势展望

作者:农药市场信息 秦恩昊 2023/8/4 10:03:52
吡氟酰草胺(diflufenican)属于取代吡啶基酰苯胺类除草剂,可以用于玉米、大豆、麦田防治一年生禾本科杂草和某些阔叶杂草。一般而言,吡氟酰草胺芽前或芽后早期用于秋播小麦田和大麦田,防治禾本科杂草或阔叶杂草。欧洲是吡氟酰草胺的主要市场,其中法国、德国、澳大利亚、英国是其最大的市场。产品简介吡氟酰草胺属类胡萝卜素生物合成抑制剂,被处理的植物植株中类胡萝卜素含量下降,进而导致叶绿素被破坏,细胞膜破

吡氟酰草胺(diflufenican)属于取代吡啶基酰苯胺类除草剂,可以用于玉米、大豆、麦田防治一年生禾本科杂草和某些阔叶杂草。

一般而言,吡氟酰草胺芽前或芽后早期用于秋播小麦田和大麦田,防治禾本科杂草或阔叶杂草。欧洲是吡氟酰草胺的主要市场,其中法国、德国、澳大利亚、英国是其最大的市场。



产品简介

吡氟酰草胺属类胡萝卜素生物合成抑制剂,被处理的植物植株中类胡萝卜素含量下降,进而导致叶绿素被破坏,细胞膜破裂,杂草表现为幼芽脱色或变白。在杂草发芽前施用可在上表形成抗淋溶的药土层,在作物整个生长期保持活性。当杂草萌发时,通过幼芽或根系能吸收药剂最后死亡,死亡速度与光的强度有关,光强则快,光弱则慢。

吡氟酰草胺应用非常广泛,适用于小麦、大麦、水稻、白羽扁豆、春豌豆、胡萝卜、向日葵等作物田,防除旱田杂草如早熟禾、小苋、反枝苋、马齿苋、海绿、刺甘菊、金鱼草、野斗篷草、大爪草、鹅不食草、田芥菜、堇菜、曼陀罗、播娘蒿、地肤、辣子草、宝盖草、勿忘草、母菊、虞美人、酸模叶蓼、宾州蓼、春蓼、龙葵、繁缕、婆婆纳、波斯婆婆纳,对鼠尾看麦娘、马唐、稗草、牛筋草、多花黑麦草、狗尾草、金狗尾草、苘麻、矢车菊、一点红、猪殃殃、麦家公、萹蓄、野豌豆也有防效,对鸭跖草、峨草、三叶鬼针草、飞机草、野燕麦、雀麦、阿拉伯高粱、胜红蓟、苍耳若防效较差。与异丙隆(1500~ 2000g/hm2)混用可以明显增强药效并扩大除草谱,还可以延长持效期。

1. 使用方法

吡氟酰草胺是广谱、选择性、苗前和苗后早期施用、防除秋播小麦和大麦田禾本科杂草和阔叶杂草的除草剂,具有较长的持效期。对猪殃殃、婆婆纳和堇菜有特效,使用剂量为125~250g(a.i.)/hm2;若单防除猪殃殃,用量为180~250g(a.i.)/hm2。为了增加对禾本科杂草的防除效果,可与防除禾本科杂草的除草剂混用,适合与之混用的除草剂有异丙隆等,根据防除对象需要确定混配比例,如将1500~2000g(a.i.)/hm2异丙隆与吡氟酰草胺200~250g(a.i.)/hm2混用。

2. 应用技术

(1)小麦苗前和苗后及早施药,除草效果最理想,随杂草叶龄增加防效下降。正常情况下,秋季苗前施用,效果可维持到春季杂草萌发期。但若苗前雨水多,最好延期到苗后早期施用,以保最佳效果。

(2)若在苗前使用,对小麦最安全,大麦与黑麦轻度敏感;冬麦比春麦安全;苗后早期施用比苗前使用安全。

(3)吡氟酰草胺杀草谱宽,可防除大部分阔叶杂草。在播种期至初冬施用,在土壤中的药效期较长;小麦的耐药性大于大麦和黑麦,春麦比冬麦耐药性差,在苗后早期施药安全性有所提高。



登记产品与剂型

1. 国内登记情况

截至2022年12月,国内共有13家企业持有吡氟酰草胺原药登记,参见表1。

图片

吡氟酰草胺制剂国内登记较多,其中单剂17项,主要剂型有吡氟酰草胺30%、41%、500g/L悬浮剂,吡氟酰草胺50%水分散粒剂,吡氟酰草胺50%可湿性粉剂,吡氟酰草胺15%可分散油悬浮剂。

混剂登记26项,用于冬小麦田的有吡氟酰草胺5%+异丙隆50%悬浮剂(大部分登记制剂为吡氟酰草胺与异丙隆的不同组合),吡氟酰草胺11%+氟噻草胺11%+呋草酮11%悬浮剂(拜耳),吡氟酰草胺11.7%+氟噻草胺23.3%悬浮剂(利尔),氟吡酰草胺15%+双氟磺草胺1%悬浮剂(新乡中电),异丙隆60%+吡氟酰草胺11%+唑啉草酯4%水分散颗粒剂(安徽远景)。

用于水稻田有吡氟酰草胺3%+二甲戊灵33%悬浮剂(青岛瀚生),吡氟酰草胺63%+吡嘧磺隆7%水分散粒剂(黑龙江华诺);用于大蒜田有吡氟酰草胺11%+乙氧氟草醚22%悬浮剂(青岛瀚生)。

从国内登记情况看,吡氟酰草胺原药登记基本处于稳定状态,新增登记企业的可能性不大。而制剂登记多样化较强,以小麦除草剂型为主,兼顾水稻与精作除草应用,国内登记情况与吡氟酰草胺全球市场分布基本一致。

2. 海外登记情况

根据吡氟酰草胺市场分布情况,海外重点统计欧盟、澳大利亚、阿根廷、哥伦比亚等国的登记情况。

(1)欧盟登记情况

根据欧盟EFSA 2007年11月的决议,吡氟酰草胺原药最低含量为970g/kg。该文件中指出,虽然MakhshimAgan(即ADAMA)的杂质与拜耳的有差异,但杂质均不构成毒理学意义;目前吡氟酰草胺在欧盟不存在显著的相关杂质,这一点对国内企业进行欧盟等同原药登记提供了方便。

值得注意的是,欧盟于2018年发布了吡氟酰草胺的再评审通知,但目前再评审工作依然尚未完成。但吡氟酰草胺目前正处在“欧盟替代产品清单”之中,监管前景有一定风险。

从目前欧洲登记情况来看,可以得出以下登记趋势:

一是传统登记以500g/L SC、50%WDG单剂,以及氟噻草胺+吡氟酰草胺混剂为主。

二是新增登记主要来自混配应用。(a) 与既有传统大宗活性成分,如二甲戊灵、草甘膦、苄草丹等成分的混配,在以上成分近期通过欧盟再评估后,通过混配提升制剂性能;但作物板块与此前这些大成分的核心作物板块相同;(b) 在新的作物板块上尝试新型组合,如与五氟磺草胺组合登记在水稻上,与碘甲磺隆组合登记在燕麦上,与甲磺隆、绿麦隆组合成二元混剂登记在谷物上,与双氟磺草胺登记在谷物上;(c) 跨国公司主要是拜耳和ASCENZA开发的谷物多元混配制剂。

三是传统剂型依然是登记与推广主力;跨国公司的新制剂登记与推广的主要目的是希望拉开与仿制产品的竞争区位。

值得注意的是,从德国和法国的制剂登记情况中可以发现,真正通过配方等同登记的制剂产品并不多,大多数情况下,仿制企业需要自主开发制剂配方(剂型保持一致);此外,在欧盟区域,吡氟酰草胺制剂的授权品牌标签登记较为常见,对于国内仿制企业来说,此类登记操作可以作为备选方案。

(2)澳大利亚登记情况

澳大利亚制剂登记剂型与欧洲有显著不同,除了传统单剂剂型之外,澳大利亚登记的吡氟酰草胺制剂以与辛酰溴苯腈、二甲四氯混配为主,而传统的欧洲与氟噻草胺的混配在澳洲并不存在。这从一个侧面说明,在澳大利亚,吡氟酰草胺的主要定位,是针对既有麦类作物传统除草剂的升级与抗性管理。

特别需要指出的是,澳大利亚吡氟酰草胺原药登记目前共21项,其中15可追溯生产企业,详情见表2。

图片

其余原药登记持有人中,需要特别关注的是龙灯、浙江欣禾、潍坊中农联合,这三家企业均自主持有登记。

(3)阿根廷登记情况

截至2022年12月吡氟酰草胺阿根廷原药登记共7项,详情见表3。

图片

阿根廷制剂登记几乎均为500SC单剂,仅龙灯等少数企业持有50%WDG登记,但登记持有人遍布阿根廷当地几乎所有大型经销商。

(4)哥伦比亚登记情况

哥伦比亚是唯一一个吡氟酰草胺主要应用不在麦类作物上的国家。登记全部为500g/L SC或50%WDG单剂,

适用作物均为水稻;登记持有人以当地经销企业为主,与欧洲登记布局状态有较大不同。特别值得关注的是,中国企业宁波捷力克和润丰在哥伦比亚均持有自主登记。从登记时间与续展更新状态来看,吡氟酰草胺在哥伦比亚市场的登记与推广均呈现活跃趋势。

目前北美地区吡氟酰草胺尚未有产品登记上市,但根据相关媒体报告,拜耳计划在2023-2024年在美国市场投放吡氟酰草胺制剂产品,目标作物为大豆和玉米,与目前全球主流的谷物有所不同,此项信息可以通过Eurofins等实验室的同位素样品往来信息加以验证。关于未来美国吡氟酰草胺登记和剂型动态,需要特别关注。



市场情况

1. 主要公司市场开发情况

1995年合资公司Philagro(住友60%,日产30%,安万特10%)在法国市场推出了产品“First”,有效成分为吡氟酰草胺+碘苯腈+溴苯腈;此后又相继推出了Dièze(吡氟酰草胺+精2甲4氯丙酸+溴苯腈)、Etnos(吡草醚+吡氟酰草胺+异丙隆)等产品。1993年,吡氟酰草胺+碘苯腈+精2甲4氯丙酸的复配产品在德国登记,1998年拜耳在德国和比利时市场又投放了吡氟酰草胺+氟噻草胺复配的产品“Herold”。

2009年拜耳首次在新西兰登记氟噻草胺+吡氟酰草胺的复配产品“Firebird”,用于防除小麦和大麦田中特定的阔叶杂草及禾本科杂草。

2014年拜耳作物科学在葡萄牙推出新除草剂产品“Musketeer”,专门用于橄榄园作物管理。该产品含有150克/升吡氟酰草胺和10克/升碘甲磺隆钠盐,为油悬浮剂,对白酒草等难除杂草有卓越的防除效果。

2014年英国农化公司Agform的除草剂“Blutron”(250克/升异丙隆+50克/升吡氟酰草胺)和“Blutron Plus”(250克/升异丙隆+100克/升吡氟酰草胺),用于防除一年生早熟禾和多种阔叶杂草。

1998年,拜耳在国内首次临时登记55%吡氟酰草胺·异丙隆SC,登记作物为冬小麦田一年生禾本科杂草、部分阔叶杂草,目前已经过期;2011年江苏常隆农化有限公司在国内首家正式登记了98%吡氟酰草胺原药(PD20110316)和60%吡氟酰草胺·异丙隆WP用于冬小麦田一年生杂草的防治,2013年江苏龙灯化学有限公司在国内登记50%吡氟酰草胺水分散粒剂,用于小麦田一年生阔叶杂草。

2. 全球市场分布情况

吡氟酰草胺全球作物分布以小麦为主,为了展示方便,表4列举出吡氟酰草胺2016-2019年主要国家总销售额、麦类作物总销售额(以2019年总额为准),同时仅选取销售额100万美元以上的国家。

图片

从市场情况来看,吡氟酰草胺分布集中在谷物上,其他作物板块应用较为有限。但是值得关注的是,在欧盟,吡氟酰草胺在精作上的登记层出不穷,拜耳等公司持续输入新的吡氟酰草胺混剂产品;在哥伦比亚,吡氟酰草胺在水稻上的应用较为成功;在美国,拜耳公司不惜重金投入吡氟酰草胺在大豆和玉米上的评估并准备在2023年上市新产品,这些市场动态,为吡氟酰草胺产业发展注入了信心,也大大延长了这个传统产品的生命周期。

从4年市场数据来看,吡氟酰草胺在最大的欧盟市场属于稳定产品,历年变化不大。主要的变数在以下两个方面:

一是欧洲再评估的结果。目前并没有实际证据表明吡氟酰草胺有不可接受的风险,但是被列入替代清单,意味着新产品对吡氟酰草胺存在“一票否决”式的威胁。目前在欧盟区域,唯一可以产生这种影响的产品是Halauxifen氟氯吡啶酯,在2023年需要关注科迪华氟氯吡啶酯在欧洲制剂开发动态,以及吡氟酰草胺的欧盟评审动态。

二是拜耳美国市场的开发。拜耳早在2020年就放出消息准备上市吡氟酰草胺制剂产品,但目前已落后计划。拜耳美国吡氟酰草胺计划推广的作物板块为大豆和玉米,与欧洲截然不同。加上其他拉美国家水稻上的吡氟酰草胺推广,预计在新作物上的推广将会为吡氟酰草胺带来较快增长。

在法国和德国的谷物前十名除草剂上,氟噻草胺、吡氟酰草胺、苄草丹、二甲戊灵、甲基二磺隆、绿麦隆、碘甲磺隆均有与吡氟酰草胺的混配,因而这些谷物除草剂产品的协同效应要大于竞争效应。预计未来出现的新谷物除草剂活性成分也会和甲基二磺隆、碘甲磺隆类似,出现与吡氟酰草胺的混配产品,以扩大其适应性并降低相应的抗性风险。

虽然从2017-2019吡氟酰草胺销售额变化不大,但是价格2019年出现下跌同时欧盟的销售量有了一定增长,这导致国内2020年以来吡氟酰草胺出现持续景气。各个仿制产品占优的区域,如阿根廷、澳大利亚,零售吡氟酰草胺制剂折百价格与传统欧洲市场如德国相比,并没有太大的差异,这在除草剂中是比较罕见的,说明品牌持有者,如拜耳、安道麦以及大量欧洲本土公司对价格体系有很强的控制力,而受制于推广技术,国内和印度仿制企业没有过多的议价权。

此外,俄乌战争带来的东欧市场缺口,2022年由中国企业活跃参与并加以填补,2022年观察到俄罗斯和乌克兰均有一定量的吡氟酰草胺以及吡氟酰草胺100g/L+异丙隆500g/L SC进口,此类业务未来也可加以关注。

3. 专利情况

吡氟酰草胺各类专利目前大部分均已到期,国内企业海外推广涉及的相关专利主要有:

欧洲专利:拜耳作物科学EP 0053011,专利申请日1981年11月19日,专利到期日为2001年11月18日。

美国专利:拜耳作物科学JS 4618366,专利到期日2004年6月14日。

中国专利:拜耳作物科学CN 101282641,含有吡氟草胺的油悬浮液浓缩物,2008年10月8日公开;江苏辉丰农化股份有限公司CN10292660,一种含有吡氟草胺的麦田除草剂组合物,2008年10月29日公开。

英国补充保护证书(SPCs):SPC/GB97/057,EP0211518,吡氟酰草胺+炔草酯+异丙隆的复配产品,最长有效期至2010年7月9日;SPC/GB97/062,EP0210818,吡氟酰草胺+溴苯腈+碘苯腈的复配产品,最长有效期至2008年3月24日;SPC/GB97/063,EP0273668,吡氟酰草胺+二氯吡啶酸+2甲4氯的复配产品,最长有效期至2009年6月9日;SPC/GB97/069,EP0223449,吡氟酰草胺+特丁津的复配产品,最长有效期至2010年9月10日;SPC/GB97/070,EP0210818,吡氟酰草胺+2甲4氯丙酸盐+溴苯腈+碘苯腈的复配产品,最长有效期至2009年11月13日;SPC/GB98/009,EP2142629,吡氟酰草胺+呋草酮+异丙隆的复配产品,最长有效期至2009年6月17日;SPC/GB98/015,EP2142629,吡氟酰草胺+呋草酮的复配产品,最长有效期至2009年6月17日。

由以上专利情况可知,吡氟酰草胺目前在全球处于完全竞争市场,仿制产品并没有太多专利壁垒。最主要的壁垒在于制剂的配方开发,以及复配成分的选择问题。

4. 产品趋势

对于吡氟酰草胺的产品发展趋势,主要需要把握以下几点方向。

一是欧盟与东欧市场在谷物上与大宗除草剂成分的协同效应。在欧盟市场,吡氟酰草胺传统剂型为单剂,以及与氟噻草胺的二元混剂;而氟噻草胺在欧洲谷物上是常青树品种(2019年销售额约2.4亿美元,其中欧盟区域月1.4亿美元),需要关注其市场动态,以及对吡氟酰草胺的拉动协同。特别是氟噻草胺在美国有超过6000万美元市场,而吡氟酰草胺预计2023年在北美上市,是否能重演欧盟区域这两个成分混剂在谷物上的成功推广,值得企业关注。除氟噻草胺外,2015年以来吡氟酰草胺在欧盟与苄草丹、绿麦隆、甲基二磺隆、碘甲磺隆、五氟磺草胺等新成分的组合混剂层出不穷,且德国、法国、波兰等国家的主要当地市场推广者均登记投放了吡氟酰草胺制剂产品,这类基于谷物新成分的效应也值得企业关注。此外与大宗谷物成分的协同,可以确保吡氟酰草胺未来市场基本面稳定。

二是在拉美市场新作物板块,基于草甘膦抗性防除方案,在水稻、精作等板块的开发。在此项应用上,需要关注国内企业、印度UPL、Sharda等企业,以及哥伦比亚、秘鲁、智利等当地主要本土企业的制剂登记与推广方案;相关的方案对国内吡氟酰草胺的制剂开发策略会有较好的借鉴。在此项开发上,预计会对吡氟酰草胺在拉美和国内带来500万美元的销售额增长。但目前此类应用相对规模不大,主要是基于吡氟酰草胺在苗前除草的安全性,针对散户种植者的推广,因此不太可能出现欧盟区域规模的销售额剧增。

三是针对欧盟区域苗后磺酰脲类除草剂植保替代方案,此项产品替代是未来吡氟酰草胺增长最值得关注的方向。目前西欧国家出现两个有利于吡氟酰草胺的趋势,一个是谷物苗后除草磺酰脲类除草剂被苗前除草吡氟酰草胺及其混剂替代;一个是现有磺酰脲类除草剂抗性,导致主流甲基二磺隆、碘甲磺隆需要配伍成分缓解抗性,而目前最多登记的就是与吡氟酰草胺的组合,这两个方案都有利于吡氟酰草胺的欧盟推广。目前欧盟区域谷物上使用的磺酰脲类除草剂主要有甲磺隆、甲基二磺隆、碘甲磺隆、噻吩磺隆、苯磺隆、磺酰磺隆等,主要是前3项产品。整体欧洲市场总额超过3.5亿美元,此两类替代方案,预计会对吡氟酰草胺带来2000万美元以上的市场增长。

四是欧盟区域针对吡氟酰草胺再评估结果的影响。主要关注欧盟2018年启动的关于吡氟酰草胺的公众征询,以及后续将要启动的再评估工作。由于目前吡氟酰草胺已列入活性成分替代方案中,如果未来有更多的负面评估结果,导致吡氟酰草胺在欧盟禁限用,这会对该产品带来巨大打击。而目前公认能够替代吡氟酰草胺的产品是科迪华的氟氯吡啶酯(主力成分)和氯氟吡啶酯,但这两个成分的用药成本远远高于吡氟酰草胺,如果没有禁限用,替代过程应该是非常缓慢的。



工艺与产业链情况

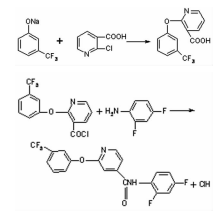
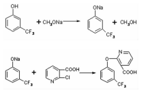
根据此前常隆在欧洲进行原药等同登记的信息,吡氟酰草胺合成共涉及到4步反应:

图片

图片

吡氟酰草胺的难点不在合成上而在中间体供应上,三个核心中间体分别是2-氯烟酸,2,4-二氟苯胺,间三氟甲基苯胺。

目前国外60%的企业用户会进口原药,其余40%进口3个中间体自己做合成。对于国内企业来说,3个中间体全部自产可能性极小(尤其是2-氯烟酸),因此只做最后一步几乎无利可图。所以目前国内的态势是,辉丰利用出口登记做欧洲和安道麦的供应商,中化(包括科创和中化)利用中间体渠道做欧洲客户与一部分拉美客户供应商,这两家加起来占65%;其余市场份额都是贸易公司的,贸易公司一般会采取提供中间体找国内企业做最后两步合成的模式。以前常隆出来的技术人员做的比较多,国内出口吨位一年在700吨左右。

在生产端,目前主要的生产企业为沈阳科创产能500吨,目前生产正常,根据中化计划,2023年将停产,搬迁至扬农新建的葫芦岛基地;南通嘉禾产能500吨,目前生产正常;浙江欣禾(禾裕泰)江苏淮安产能设计2000吨,目前活跃产能在500吨左右;辉丰设计产能2000吨,但是目前没有生产活动,所经营的吡氟酰草胺全部来自外购。

在印度,Punjab是最大的生产商,每年的出口量在480~500吨之间,主要供应UPL、安道麦、科迪华等企业,出口目的国为欧洲、阿根廷、以色列。一般来说印度企业的2-氯烟酸需要从中国采购,而间三氟甲基苯胺、2,4-二氟苯胺可以通过印度本土生产企业解决。

对于企业来说,可以掌握二氟苯胺和间三氟甲基苯胺去合成吡氟酰草胺原药,同时要掌握2-氯烟酸的稳定供应;在苯胺或者氟化加工上上要有一定的成本优势。



全球登记策略分析

根据前文所述吡氟酰草胺登记与市场情况,企业在进行登记布局时可以考虑以下策略。

原药登记方面,原药登记首选区域为欧盟区域的原药等同登记。在欧盟原药登记基础上,可以兼顾阿根廷、澳大利亚等市场的登记。在进行原药登记的同时,可以考虑根据德国、法国、英国等国持有制剂登记的客户,推介原药来源添加,或制剂原药来源备案等登记与业务推进工作。

在杂质的选择上,根据中旗、颖泰等企业在欧盟登记的经验,杂质基本来自中间体2,4-二氟苯胺杂质(4-氟苯胺或2-氟苯胺)和间三氟甲基苯胺杂质(对三氟甲基苯胺);没有来自2-氯烟酸杂质,也没有副反应杂质。原药登记含量一般在98%min.(过低则意味着异位氟取代杂质将增多)。

但是根据安道麦的登记经验,反应中中间体残留也是重要的原药杂质组分。以上信息在企业进行样品检测与送样预扫描时,可以加以关注。

制剂登记方面,在欧盟区域,最大的制剂类别还是单剂,以及与氟噻草胺的混剂,企业需要独立开发制剂配方申请相关区域的登记。一般而言,法国或南欧国家较为容易申请制剂登记,或等同配方认定。在作物选择上应优先选择麦类。

同时,在欧盟需要关注混配制剂,以及相关活性成分的等同登记情况。如氟噻草胺、苄草丹、甲基二磺隆等原药的等同登记情况,以便实现制剂的快速登记导入。特别是需要根据欧盟区域麦类除草剂大宗品种的变化动态,调整吡氟酰草胺的登记计划。

在南美国家,则应当结合国内情况,适当考虑一下吡氟酰草胺在小作物,水稻、大蒜等作物上的登记与推广。



未来趋势分析与展望

目前,由于欧洲能源危机,来自欧盟的各类除草剂原药均供应不足,这对于未来吡氟酰草胺市场有一定的推动作用;同时拉美阿根廷、哥伦比亚、智利等国对吡氟酰草胺需求也稳定有升。如果2023年内,美国EPA能核准拜耳吡氟酰草胺新制剂登记上市,对于吡氟酰草胺整体市场有着很大的激励作用。

在目前吡氟酰草胺主要市场,吡氟酰草胺是作为抗性杂草防除方案成分进行推广的,这就意味着吡氟酰草胺与企业麦类大宗除草剂实际上是共存共荣的关系,企业需要特别关注氟噻草胺、苄草丹、异丙隆、绿麦隆、甲基二磺隆、碘甲磺隆等成分的市场动态与监管动态,以确保把握吡氟酰草胺制剂混配的发展趋势。此外,麦类除草剂的安全剂组分,也是企业在欧盟制剂开发中需要关注的重要因素。

目前欧盟吡氟酰草胺仍在评估过程中,后期需要关注监管动态。根据产品作用机理分析,一旦吡氟酰草胺禁限用出现,最有可能替代其市场份额的是科迪华的氟氯吡啶酯(Halauxifen),企业需要未雨绸缪,设法获取氟氯吡啶酯的资源,并紧密关注这个成分在欧洲麦类上的应用情况。

吡氟酰草胺产业链相对简单,中间体供应与质量的稳定性非常重要,甚至超过合成技术。对原药企业而言,需要关注国内中间体企业动态,以及下游产品的趋势,如2-氯烟酸下游烟嘧磺隆的供给与价格波动,以便把握印度与国内相关3类中间体的供给与价格情况,确保供应链稳定性。由于这3个中间体体量不大,容易控制,未来有可能会出现企业通过中间体操纵产品价格的可能性。

整体而言,吡氟酰草胺销售额未来应当趋于稳定;但由于竞争企业众多且常规剂型相似,不同品牌的价格差异有限,这就导致原药企业来自下游客户的压力增加。未来在自由贸易状态下,价格下跌应该是必然的,最好的应对方式是通过国内2-氯烟酸的控制力,平衡好印度产能的供给价格,同时大力开发欧盟大公司原药供应关系。在制剂端,麦类以开发典型剂型为主;而小众制剂组合,可以考虑在南美、东南亚等相对灵活,且跨国公司不存在产品用药惯性的市场进行尝试。


相关推荐