吡螨胺(tebufenpyrad)是日本三菱株式会社于1987年发现的具有吡唑羧酰胺结构的新型杀螨剂,1993年4月28日在日本登记上市。后由日本三菱和美国氰胺公司,山道士公司共同开发。吡螨胺具有广谱,安全,高效的杀螨特性,对各种螨类的各生长期均有效,常用于葡萄、柑橘、棉花、蔬菜和观赏植物等,防治各类螨类,同时对蚜虫、叶蝉、粉虱等都有一定的防效,持效期可达40天以上。其中国专利期已于2005年届满
吡螨胺(tebufenpyrad)是日本三菱株式会社于1987年发现的具有吡唑羧酰胺结构的新型杀螨剂,1993年4月28日在日本登记上市。后由日本三菱和美国氰胺公司,山道士公司共同开发。吡螨胺具有广谱,安全,高效的杀螨特性,对各种螨类的各生长期均有效,常用于葡萄、柑橘、棉花、蔬菜和观赏植物等,防治各类螨类,同时对蚜虫、叶蝉、粉虱等都有一定的防效,持效期可达40天以上。其中国专利期已于2005年届满,但国内并未有有效登记证件。
英文名称:tebufenpyrad
中文名称:吡螨胺
其他名称:统治、治螨特、必螨立克;得芬瑞;Fenpyrad;MK 239;Masai;Pyranica
化学名称:N-[(4-叔丁基苯基)甲基]-4-氯-5-乙基-2-甲基吡唑-3-甲酰胺
分子式:C18H24ClN3O
相对分子质量:333.856
CAS登录号:119168-77-3
结构式:
理化性质:吡螨胺原药外观白色晶体状,熔点:64~66℃;蒸汽压:<1.0×10-2 mPa(25℃);辛醇/水分配系数(20℃):Kow lgP=4.97(pH7.0);密度:1.0214;亨利常数(25℃):9.4 × 10-2 Pa m3 mol-1;溶解度(25℃,g/L):水2.61mg/L;己烷255,甲苯772,二氯甲烷1044,丙酮819,甲醇818,乙腈785;稳定性:水解稳定(pH4,7,9);25℃时,在pH7缓冲液中光解半衰期DT50为187d。吡螨胺是一种昆虫线粒体呼吸抑制剂(METI),其作用机制是在位点I处抑制电子传递,其作用方式并非通过传统的接触和摄食,也不是作用于昆虫体内的生物胺或乙酰胆碱受体,也不是作为特异的肌肉或神经毒剂,而是应用于叶片后通过层间运动,从而对分布于叶片下层的螨卵起到抑制发育的作用。吡螨胺有杀卵作用(阻止孵化作用),同时,在幼虫、若虫、静止期,成虫的螨类所有发育阶段都有速效。因为吡螨胺对卵和静止期的效果和其他发育阶段的效果相同,所以可以推测吡螨胺具有强的触杀作用。
此外,虽然没报导,但因为在药剂处理过的叶面上接种叶螨或通过薄膜吸汁药液的情况下,也能发挥高效,所以可以认为有胃毒作用。由于吡螨胺有长的残效,持效期可达40天以上,可长时间能抑制叶螨的密度,同时有一定的耐雨水冲刷能力。至于植物经吡螨胺处理后的传导,实验表明吡螨胺并无由植物根部或茎部的内吸传导作用,也不能从叶的基部向叶的尖部传导,但是有从叶表面向叶深部或从叶深部向叶表面的传导,即有叶渗透效果。试验表明,吡螨胺的杀螨作用,不受温度条件(15~30℃)和不受湿度条件(相对湿度50%~95%)的影响。在世界各地实际使用的结果,确认在多种地理或气象条件下,均能发挥稳定的杀螨效果。对果树、茶、蔬菜和花卉受螨类侵害的农作物,使用吡螨胺不会发生药害。同时在容易发生药害的新叶生长期或幼苗期,安全性也很高。应用:苹果、梨、桃、扁桃、山楂、葡萄、柑橘、棉花、蔬菜、甜瓜、和观赏植物等。
杀虫谱:如叶螨科(苹果全爪螨、橘全爪螨、棉叶螨、朱砂叶螨等)、跗线螨科(侧多跗线螨)、瘿螨科(苹果刺锈螨、葡萄锈螨等)、细须螨科(葡萄短须螨)、同时对椿象、绿盲椿等半翅目及蚜虫、叶蝉、粉虱等同翅目害虫都有一定的防效,亦可杀越冬卵。

一般使用剂量为50~250 g/hm2。
开发剂型:20%吡螨胺 WP、10 %吡螨胺 EW、20 %吡螨胺WG、10%吡螨胺AS、10%吡螨胺EC、30%吡螨胺SC
1993年在日本首登,由日本三菱、美国氰胺公司和山道士公司共同开发,以商品名Masai或 Pyranica 上市,已在欧美,日本,日本、美国、意大利,西班牙等10多个国家销售。
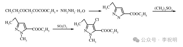
吡螨胺于1987年由日本三菱化学株式会社首次合成,并由此在欧洲、中国、美国、日本、加拿大等12个国家和地区申请了基于吡唑衍生物的相关专利。欧洲专利:专利号:EP19880106430,首次申请日期:1988年04月21日中国专利:专利号:CN88102427.9,首次申请日期:1988年04月23日美国专利:专利号:US19880181695,首次申请日期:1988年04月14日日本专利:专利号:JP19880053165,首次申请日期:1988年03月07日;专利名称:吡唑以及含有所述吡唑作为活性成分的杀虫剂和杀螨剂路线一:以草酸二乙酯、丁酮和对叔丁基苄胺等为主要原料,经Claisen反应、Knorr环合、氯化、水解、酰氯化和缩合反应合成吡螨胺。此合成工艺路线成熟、生产成本低,适合工业化生产。反应式如下:路线二:以4-氯-3-乙基-1-甲基吡唑-5-羧酸乙酯和对叔丁基苄胺为原料,在酸性催化剂催化下,直接进行胺解反应合成吡螨胺。该路线与传统工艺相比,省去了4-氯-3-乙基-1-甲基吡唑-5-羧酸乙酯水解和酰氯化两步反应,反应式如图:合成反应中主要涉及关键中间体1-甲基-3-乙基-4-氯-5-吡唑甲酸和4-叔丁基苄胺的合成。
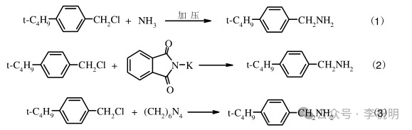
4-叔丁基苄胺的合成以4-叔丁基苄氯为原料,用不同的氨化剂可制备4-叔丁基苄胺。有氨气加压法(1);邻苯二甲酰亚胺法(2);乌洛托品法(3)。吡螨胺+哒螨灵:两种成分相互复配采用田间的二斑叶螨、朱砂叶螨为测试对象,明显提高了实际防治效果。吡螨胺+喹螨醚:可用于防治农作物和园艺作物上的多种螨类,尤其适用于防治全爪螨、朱砂叶螨、二斑叶螨,并可同时防治作物上的同翅目、半翅目害虫。吡螨胺+环氧虫啶:两种复配,能够起到增强对害螨活性作用,相比于单独使用两种组分,在用量减少的情况下,能够获得相当或更好的防治效果。吡螨胺+氟螨嗪:该组合杀螨谱广、适应性强、卵幼兼杀、持效期长、低毒、低残留、安全性好、混用性强;使用成本低、防治效果好、在较低浓度范围内即可达到较好的杀灭效果,同时具有协同增效的作用。吡螨胺+炔螨特:该组合杀虫效果好,用药成本低,且其活性和杀虫效果有显著的增效作用,对苹果树、柑橘、棉花上的害螨具有81.66%~94.12%的防治效果。吡螨胺+多杀霉素:该组合用于防治橘全爪螨、朱砂叶螨、苹果全爪 螨,尤其适用于防治苹果全爪螨效果优异。吡螨胺+氟啶胺:该组合可应用于防治大田作物、果树、蔬菜上的二班叶螨、截形叶螨、朱砂叶螨等害螨,并且两种组分对于人、畜、环境有极高的安全性,此两种组分复配,能够对于其他杀螨剂具有抗性的害螨有很好的灭杀效果。吡螨胺+丁氟螨酯:可防治多种害虫,并具有明显的增效作用,并扩大了杀虫谱,对禾谷类作物、果树、观赏植物、棉花、茶树、蔬菜上的全爪螨、锈壁虱、麦叶爪螨、黄蜘蛛、红叶螨、茶黄螨、朱砂叶螨、二斑叶螨、叶螨、红蜘蛛、锈螨等都有较高活性。吡螨胺+联苯肼酯:该组合具有很好的协同增效作用,能够延缓有害生物产生抗药性,延长农药品种的使用寿命。可用于防治经济作物、油料作物和粮食作物上的各种害螨,尤其适合防治全爪螨、二斑叶螨、朱砂叶螨、截形叶螨、茶黄螨、锈螨。吡螨胺+哌虫啶:可应用于防治蔬菜和果树中的蚜虫以及水稻稻飞虱等有明显的效果,并且两种组分对于人、畜、环境有极高的安全性,此两种组分复配,能够对于其他杀虫剂具有抗性的害虫有很好的灭杀效果。吡螨胺+氰氟虫腙:该组合主要防治果树、蔬菜、粮食作物上的螨类、鳞翅目害虫、蚜虫、白粉虱等。该组合具有增效、扩大杀虫范围、延缓害虫抗药性、对作物安全等特点。吡螨胺+丁醚脲/溴螨酯:该组合克服和延缓了害虫的抗药性,扩大了防治谱,杀螨迅速,降低了用药成本,减轻了毒性。尤其适用于防治抗性红、白蜘蛛,其效果明显高于其单剂使用。吡螨胺+螺螨双酯/螺虫乙酯:该组合对果树、蔬菜、棉花等农作物及花卉上各种螨类害虫均有着优异的防治效果;用于防治果树红蜘蛛,增效作用显著、药效高、速效性好、毒性低、低残留、持效期长、杀虫谱广,能避免和延缓害虫抗药性产生,使用方便、安全可靠等优点。吡螨胺+乙螨唑:该组合结构稳定,与单剂相比,防治效果明显提高,且一药多治,一次施药可同时防治幼螨、若螨、成螨等各态害螨,减少防治用工成本。此外,同时具备速效和长效两大特点,生产和使用成本大大降低,环保无污染。吡螨胺+四螨嗪/氟虫脲:该组合具有明显的增效作用,可用于防治多种农业害螨,尤其适用于防治红蜘蛛、全爪螨、叶螨效果突出。吡螨胺+唑螨酯/噻螨酮:该组合对柑桔红蜘蛛有明显的增效作用,本发明尤其适用于防治抗性红、白蜘蛛,其效果明显高于其单剂使用。吡螨胺+嘧螨胺:该组合杀虫效果好,且其活性和杀虫效果不是各组分活性的简单叠加,与现有的单一制剂相比,除具有显著的杀虫效果外,而且有显著的增效作用,对作物安全性好,符合农药制剂的安全性要求,对柑橘红蜘蛛、苹果红蜘蛛、棉花红蜘蛛有显著的防治效果。吡螨胺+腈吡螨酯:该组合对苹果全爪螨、山楂红蜘蛛、二斑叶螨、柑橘红蜘蛛和朱砂叶螨效果好,除具有显著的杀螨效果外,用药量减少,对作物安全性好。吡螨胺是一种快速高效,广谱,安全性高的新型杀螨剂,对各种螨类和螨的发育全期均有高效和速效性,持效期长,毒性低,无内吸性,但具有渗透性,对目标作物有极佳的选择性,同时可开发为多种剂型,复配性以及复配之后的稳定性也非常好,应用也不受气温和湿度的影响,同时根据其合成路线看,目前合成路线较为成熟,成本较低,合成原料成本吨价格在10W以下,虽为老成分,但在国内并没有大力推广,由于其作用单一,在未来登记过程中建议企业可优先考虑复配剂型。在国内目前的杀螨剂市场形势下,吡螨胺还是一款值得推广且优秀的产品。