新型苯甲酰吡唑类除草剂——噁唑磺草酮

作者:李祝明 李祝明 2025/8/13 10:58:49
噁唑磺草酮(prochlorosulfone)是山东滨农2023年研发的新型苯甲酰吡唑类除草剂,从结构上看其与清原农冠苯唑氟草酮结构类似。不同的是吡唑环1位上甲基和3位上环丙基的替代和苯环4位上噁二唑环的替代。据研究表明,噁唑磺草酮可被开发用于甘蔗、水稻、玉米等禾谷类作物,用以防除稗草、马唐、苘麻、龙葵等多种禾本科杂草和阔叶杂草,具有活性高,用量低,对作物安全等特点。图1 噁唑磺草酮(

噁唑磺草酮(prochlorosulfone)是山东滨农2023年研发的新型苯甲酰吡唑类除草剂,从结构上看其与清原农冠苯唑氟草酮结构类似。不同的是吡唑环1位上甲基和3位上环丙基的替代和苯环4位上噁二唑环的替代。据研究表明,噁唑磺草酮可被开发用于甘蔗、水稻、玉米等禾谷类作物,用以防除稗草、马唐、苘麻、龙葵等多种禾本科杂草和阔叶杂草,具有活性高,用量低,对作物安全等特点。


图片

图1  噁唑磺草酮(左)和苯唑氟草酮的结构式


01
产品简介


英文名称:prochlorosulfone;


中文名称:噁唑磺草酮;


化学名称:4-{2-氯-3-[(5-甲基-2-氧代-1,3,4-噁二唑-3(2H)-基)甲基]-4-(甲磺酰基)苯甲酰基}-3-环丙基-1-甲基-1H-吡唑-5-基5-氯-1,3-二甲基-1H-吡唑-4-羧酸酯;


分子式:C25H24Cl2N6O7S


相对分子质量:623.462;


CAS登录号:3023924-34-4;


结构式:如图2。


图片

图2  噁唑磺草酮的结构式


02
作用机理


推测噁唑磺草酮属于对羟基苯基丙酮酸双氧化酶(HPPD)抑制剂,通过抑制植物对羟基苯基丙酮酸双氧化酶(HPPD),最终影响植物体内类胡萝卜素的生物合成,导致叶片发黄、发白,影响植物体内光合作用正常进行,最终导致植物枯萎或死亡。


03
应 用


应用作物:玉米、水稻、甘蔗等,实际应用或生测条件下,若有药害可通过尝试添加解毒喹、吡唑解草酯等提高安全性。


靶标杂草:稗草、马唐、苘麻、龙葵等。


可开发剂型:200 g/L噁唑磺草酮OD。


试验数据:试验表明,噁唑磺草酮在水稻和玉米2~3叶期以37.5、75、150、300 g a.i./hm2剂量下茎叶喷雾处理,对水稻和玉米安全。


04
专利情况


2023年11月,山东滨农在国内申请了基于噁唑磺草酮(化合物201)在内的噁二唑酮类化合物专利,并在第2年在世界知识产权组织申请了化合物专利。


专利名称:噁二唑酮类化合物、除草组合物及其用途;


申请号:CN202311532732.0;


申请日:2023.11.17;


公开号:CN117247363A;


当前权利人:山东滨农科技有限公司;


摘要:本申请提供了噁二唑酮类化合物、除草组合物及其用途。本申请将苯甲酰类化合物苯环上磺酰基和Cl之间的位置采用式(a)所示的噁二唑酮基团取代,得到噁二唑酮类化合物,其不仅对多种杂草具有意想不到的高除草活性,对玉米、水稻等多种作物也较为安全。实验结果表明,本发明提供的化合物具有较好的除草活性,低剂量下可以有效地控制稗草、马唐、苘麻等杂草,获得很好的除草效果,同时对作物较为安全。


05
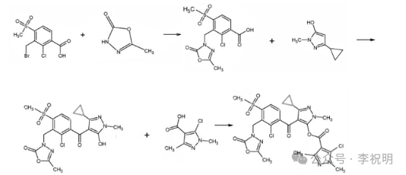
合成路线


以市售的3-溴甲基-2-氯-4-异丙磺酰基苯甲酸和5-甲基-1,3,4-噁二唑-2(3H)-酮为起始原料制备,合成路线如下:


图片

图3  噁唑磺草酮的合成路线


06
复配推介


噁唑磺草酮目前的应用场景可能是甘蔗、水稻、玉米等作物,在甘蔗区可复配氯吡嘧磺隆、甲磺草胺、三氯吡氧乙酸、氰草津、莠灭净等,提高对香附子、铁苋菜等在内的莎草和阔叶杂草的防效;水稻上可参考吡唑喹草酯和三唑磺草酮,复配五氟磺草胺、双草醚、氰氟草酯、苄嘧磺隆、丙草胺、氯氟吡啶酯、敌稗等;玉米田可复配常规三嗪类除草剂莠去津、特丁津等。


07
前景展望


苯甲酰吡唑类除草剂是近几年各企业开发的热点,特别是国内创新企业,清原农冠、山东先达等国内企业所开发的如三唑磺草酮、苯唑氟草酮、双唑草酮、环吡氟草酮、吡唑喹草酯等产品市场表现格外亮眼,对国内仿制企业而言,磺酰草吡唑、吡唑特、苯唑草酮等仍旧有巨大的开发空间。滨农与诚汇所开发的噁唑磺草酮和苯噁吡草酮(现已转让给科赛基农进行商业化开发)无疑是后苯唑环磺时代国内值得关注的创新化合物。推测噁唑磺草酮的合成成本要高于苯噁吡草酮及其他苯甲吡唑类化合物,所以在工艺放大与市场推广上仍面临一定的挑战性,随着滨农甘肃环磺酮项目的开展,有望共用部分关键中间体。市场方面,在登记、制剂剂型优化开发、应用作物安全性、复配灵活性、抗性管理方面还需进一步探索和投入。

相关推荐