腈吡螨酯:2023年国内将过新农药保护期

作者:农博生物 刘进伟 2023/3/1 10:17:42
2022年12月29日,生态环境部、工业和信息化部、农业农村部、商务部、海关总署、国家市场监督管理总局联合发布了《重点管控新污染物清单(2023年版)》,包括“三氯杀螨醇”等多个农药产品被列入重点管控新污染物清单,自2023年3月1日起施行。螨类作为农业生产过程中一类重要害虫,具有个体微小、繁殖快、发育历期短以及适应性强等特点,一直是农业生产中非常难以防治的害虫类群。通常以幼螨、若螨和成螨在植株的

2022年12月29日,生态环境部、工业和信息化部、农业农村部、商务部、海关总署、国家市场监督管理总局联合发布了《重点管控新污染物清单(2023年版)》,包括“三氯杀螨醇”等多个农药产品被列入重点管控新污染物清单,自2023年3月1日起施行。


螨类作为农业生产过程中一类重要害虫,具有个体微小、繁殖快、发育历期短以及适应性强等特点,一直是农业生产中非常难以防治的害虫类群。通常以幼螨、若螨和成螨在植株的叶背取食危害,造成叶片产生褪绿的斑点,严重时可导致叶片干枯,抑制植株生长并导致减产。


腈吡螨酯(商品名称:Starmite (Nissan)、Valuestar)是21世纪初由日产化学工业株式会社开发的新型吡唑类杀螨剂,具有低毒、低用量和杀螨谱广等特点,并且与现有的主流杀螨剂无交互抗性。自推向市场以来,被广泛用于防治蔬菜、水果及茶叶等多种作物上的螨类害虫。其在国内化合物专利(CN1227229C)于2017年4月已到期,今年也就是2023年5月也将过新农药保护期。


腈吡螨酯通用名称:Cyenopyrafen;CAS号:560121–52–0;分子式:C24H31N3O2;分子量:393.5;IUPAC化学名称为:(E)-2-(4-特丁基苯基)-2-氰基-1-(1,3,4-三甲基吡唑-5-基)乙烯基2,2-二甲基丙酸酯;结构式如图1。

图片

图1 腈吡螨酯的结构式


01
理化性质

外观:灰白色结晶固体;

密度:1.11(20℃);

熔点:106.7~108.2℃;

蒸气压:5.2×10-4 mPa(25℃);

分配系数(正辛醇/水):Kow logP=5.6;

亨利常数:3.8×10-5 Pa·m3/mol;

溶解度:在水中0.30 mg/L(20℃);

稳定性:54℃ 14天稳定。水解DT50=0.9 d(pH 9,25℃)。


02
毒性

哺乳动物毒性:腈吡螨酯属于微毒农药,大鼠急性经口毒性LD50>5000 mg/kg,大鼠急性经皮毒性LD50>5000 mg/kg,大鼠急性吸入毒性LC50 (4 h)>5.01 mg/L,大鼠ADI/RfD 0.05 mg/kg。


生态毒性:山齿鹑急性经口LD50>2000 mg/kg。虹鳟鱼LC50(96h) 18.3 μg/L。水蚤LC50(48h) 2.94 μg/L(极限溶解度)。绿藻EbC50(72h)>0.03 mg/L。蜜蜂LD50(48h)>100 μg(a.i.)/只(经口和接触)。蚯蚓LD50(14d)>1000mg/kg(土壤)。对鸟类、鱼类、蜜蜂、蚯蚓等环境生物低毒,对蚤类及水藻等生物具有较高毒性。15 g/hL的剂量下,对掠食性螨虫、草蛉、花蝽、蜜蜂、大黄蜂等生物没有明显影响。



腈吡螨酯是触杀型杀螨剂,作用机理是主要与去酯化烯醇的活化代谢有关,通过破坏呼吸电子传递链中的复合物 II(琥珀酸脱氢酶)来抑制线粒的功能。

03
合成方法

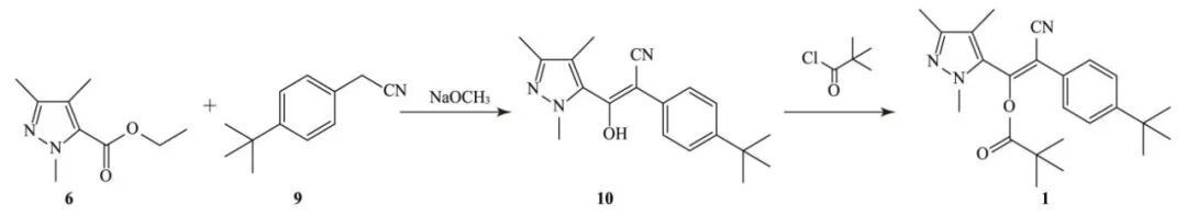
经相关文献查询[1],腈吡螨酯的合成工艺路线主要是由1,3,4-三甲基-吡唑-5-甲酸乙酯(中间体6)与4-叔丁基苯乙腈反应得到2-(4-叔丁基苯基)-3-羟基-3-(1,3,4-三甲基-1H-吡唑-5-基)丙烯腈(中间体10),再与2,2-二甲基丙酰氯反应得到腈吡螨酯原药,合成路线如图2所示。

图片

图2 腈吡螨酯的合成路线

其中中间体6的合成路线有如下两条:

路线1:以草酸二乙酯为原料,然后经过缩合、环化、甲基化、氯甲基化、氢化等反应得到中间体6。该合成路线较长,需要用钯催化,且反应需要在高于下进行,收率也较低。

图片

路线2:以2-溴乙酸乙酯与甲基肼反应,然后经缩合、环化反应即可得到中间体6。该合成路线短,原药易得,工艺相对简单,收率较高。刘瑞宾等实验中间体6收率为75%,此路线最终合成的腈吡螨酯最终收率为93%。

图片


04
开发与登记

1、2008年,腈吡螨酯在日本和韩国初次登记,2009年上市。


2、2013年,腈吡螨酯进入哥伦比亚和厄瓜多尔市场,主要用于观赏植物。


3、2017年5月31日,腈吡螨酯在我国获得临时登记,2019年1月30日获得正式登记。经中国农药信息网查询,截止目前腈吡螨酯在国内登记的仅为日产化学株式会社1家公司的2个产品,分别95%腈吡螨酯原药(PD20190053)以及的30%腈吡螨酯悬浮剂(PD20190052),用于防治苹果树二斑叶螨和红蜘蛛以及草莓二斑叶螨。


05
前景展望

腈吡螨酯和丁氟螨酯(日本大冢化学,2007年上市)、乙唑螨腈(沈阳中化,2017年上市)等一样,主要作用位点是线粒体复合体II电子传递抑制剂。不仅结构新颖,而且作用机制独特,与现有杀螨剂无交互抗性,并对非靶标生物安全,是较为理想的杀螨剂,迎合了农业生产的需求。


腈吡螨酯主要用于水果和蔬菜,市场对高品质水果和蔬菜追求越来越高,迎合了市场的呼声。


2023年5月,腈吡螨酯在我国即将过新农药保护期,无疑会成为受到市场热捧。


相关推荐