先正达上市全新除草剂,一举填补市场40年空白

作者:农化新视界 内容团队 2026/4/20 9:06:44
从一张专利图纸到全球首发,一款“绕开抗性”的新除草剂如何诞生?近40年,在主流商业应用中,大豆田没有出现过新的选择性禾本科杂草除草剂,直至先正达宣布上市VIRESTINA™。2026年4月7日,瑞士巴塞尔——先正达宣布VIRESTINA™技术在阿根廷获批上市。这个长达40年的空白,被一个名叫metproxybicyclone的分子首次打破。距离先正达科学家在英国杰洛特山国际研究中心画出第一张分子草

从一张专利图纸到全球首发,一款“绕开抗性”的新除草剂如何诞生?

近40年,在主流商业应用中,大豆田没有出现过新的选择性禾本科杂草除草剂,直至先正达宣布上市VIRESTINA™。

2026年4月7日,瑞士巴塞尔——先正达宣布VIRESTINA™技术在阿根廷获批上市。这个长达40年的空白,被一个名叫metproxybicyclone的分子首次打破。

距离先正达科学家在英国杰洛特山国际研究中心画出第一张分子草图,已经过去了整整10年。

这不是一个关于偶然发现的故事。这是一场精准的、提前10年的科学伏击。

这次突破的本质,不是更强,而是绕开已有抗性路径。


01

一张蓝图(2014—2015年)


故事的开端,埋藏在一份2015年6月18日提交的PCT专利申请中。

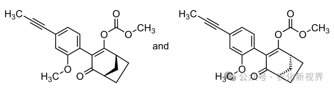
那份编号为WO2015197468A1的专利,标题平淡无奇——《除草丙炔基-苯基化合物》。但在数百页的说明书里,先正达的化学家詹姆斯·斯卡特和他的团队描述了一系列结构奇特的分子:它们共享一个二环[3.2.1]辛烷-2,4-二酮的刚性骨架——通俗地说,就是两个环像桥梁一样连接在一起,形成一个立体结构异常稳固的“分子笼”。而在这个笼子的一端,苯环的第4位上,伸出一个碳碳三键——丙-1-炔基。


图片

在ACCase抑制剂家族中,这样的结构前所未有。

ACCase,全称乙酰辅酶A羧化酶,是植物体内负责脂肪酸合成的关键酶。简单理解:它是杂草生长“生产线”上的第一道关口。抑制了它,就等于掐断了杂草细胞膜所需原料的供应,生长随之停滞,最终整株枯死。

自1970年代以来,人类先后发展了三代ACCase抑制剂。但此刻,这三代武器正面临系统性的失效——而这也正是杰洛特山的科学家们决心“从头设计”的根本原因。


02

正在失效的武器库——为什么必须革命


要理解先正达这次突破的分量,只需抓住3个核心结论。

(1)第一代FOPs——被“锁孔变形”击败

代表品种包括炔草酯、精噁唑禾草灵、高效氟吡甲禾灵。这类分子像一把“软尺”,能轻松滑入ACCase酶的活性口袋。但杂草只需改变口袋入口处的几个氨基酸——在抗性研究领域,这些突变有专门的代号:I1781L,意味着第1781位的异亮氨酸被亮氨酸取代;W2027C,则是第2027位的色氨酸变成了半胱氨酸——就能将这把软尺拒之门外。到2010年代,全球已有52种禾本科杂草对这类药剂产生抗性。

(2)第二代DIMs——被“深层障碍”击穿

代表品种包括烯草酮、烯禾啶。它们改用刚性更强的环己二酮骨架,相当于把“软尺”换成了“钢筋”,能更深地插入活性口袋。但杂草进化出了一种名为D2078G的突变——在锁孔最深处塞入了一个障碍物。在巴西马托格罗索州,68%的牛筋草种群即使面对两倍推荐剂量的烯草酮,防效仍不足80%。

(3)第三代DEN——场景受限的“精密工具”

2006年,先正达自己推出了唑啉草酯,专为小麦、大麦等谷物田设计。这款产品非常成功,但它同样无法突破D2078G这道屏障,且对大豆、棉花等阔叶作物无效。

到2015年前后,结论已清晰:前三代的设计范式无法应对正在暴发的抗性危机。 需要的不是在现有骨架上“修修补补”,而是一把能绕过所有已知障碍物的全新钥匙。

杰洛特山的化学家们选择的答案,是一种前所未见的组合:二环[3.2.1]辛烷-2,4-二酮骨架+丙-1-炔基药效团。

化合物A-1——后来的metproxybicyclone——就此诞生。


图片


03

预见危机的人(2014—2015年,同期)


就在化学家们埋头优化分子时,同一座研发中心的另一间办公室里,一位名叫迪帕克·考顿(Deepak Kaundun) 的科学家正在焦虑。

Deepak是先正达抗性研究科学家,研究除草剂抗性已超过20年。他和同事们注意到,拉丁美洲的田间报告越来越令人不安:巴西和阿根廷的农民正大量转向烯草酮——这是当时为数不多还能压制部分抗性杂草的ACCase抑制剂。

“我们看到农民正在向一个方向聚集。”Deepak后来回忆,“而我们清楚,这种聚集本身就是抗性进化的催化剂。”

这不是一个化学问题,而是一个时间问题。

他找到同事莎拉-简·哈钦斯(Sarah-Jane Hutchings),先正达除草剂生物科学组合负责人。“我说,有大事要来了,我们得提前准备。”

彼时,尚无计算机模型能精确预测抗性的蔓延。Deepak的判断,建立在对ACCase抗性机制20年的研究、对其他种植系统的历史观察,以及一种近乎直觉的科学敏感。

“如果我告诉你的只是人尽皆知的事情,那我没有在做我的工作。”

真正的竞争对手,不是其他公司,而是时间。

于是,一个目标明确的研发计划悄然启动:在抗性问题全面暴发之前,研发出一种能覆盖当前已知主要抗性机制——尤其是D2078G——的全新除草剂。

而此时,化合物A-1刚刚完成第一批温室测试。两条时间线,奇迹般地交汇了。

04

与时间赛跑——从实验室到田间(2015—2020年)


从2015年到2020年,metproxybicyclone的研发进入了马拉松式的优化与确证阶段。

(1)化学攻关:如何量产一把“精密钥匙”

杰洛特山的化学团队需要回答一个关键问题:这把在实验室里精雕细琢的“钥匙”,能否以合理的成本大规模生产?

他们设计了一条可以“自动折叠成目标结构”的合成路径——通过一系列精确控制的化学反应,让分子像折纸一样形成所需的二环辛烷刚性骨架;再借助金属钯的催化,将丙炔基精准“焊接”到苯环第4位上。为提升制剂稳定性和叶片吸收效率,他们还将最终产品制成了甲基碳酸酯前药——喷洒到叶片上的是“潜伏态”,进入植物体内后才被酶切释放出真正起效的活性成分。

(2)生物学验证:面对“终极考验”

全球多点试验同步展开,结果令人振奋。


图片


在温室中,Metproxybicyclone对携带I1781L、W2027C、D2078G、C2088R、G2096A等已知主要ACCase突变型的黑麦草和牛筋草种群,均实现了近乎完全的防除——即使在低至15~30克/公顷的剂量下。而对照药剂在面对某些突变型时几乎束手无策。

最具说服力的数据来自田间。2024年,先正达团队在顶级农化期刊《农业与食品化学杂志》上披露了一组对比:在巴西马托格罗索州,面对携带D2078G突变的多年生牛筋草种群,烯草酮两次施用后仅能实现62%的控制;而metproxybicyclone在同等条件下,控制率达到91.3%。

与此同时,metproxybicyclone对大豆和棉花表现出卓越的选择性。在250克/公顷的极高剂量下,大豆依然零药害——农民可以放心地将药液直接喷洒在作物上方。

2020年7月10日,中国专利CN106458958B正式授权。知识产权护城河合龙。

05

殊途同归——来自竞争对手的“隔空信号”(2024年)


2024年,一个有趣的科学信号从竞争对手的实验室传来。

拜耳作物科学部的团队在《害虫管理科学》上发表了一项研究。在分析其庞大化合物库时,拜耳科学家独立发现:苯环对位的丙炔基取代,是赋予化合物大豆选择性和高除草活性的最有利结构基序之一。

这一发现,提供了一个独立的科学一致性信号——两家公司的研究路径虽不同,却在关键的结构要素上殊途同归。拜耳论文还明确指出,metproxybicyclone作为一种“结合了二取代苯环与环己二酮类特征的杂合结构”,代表了ACCase抑制剂化学空间中的一个新方向。

06

获得“身份证”——命名、分类与科学界认可(2023—2025年)


2023年12月22日,国际标准化组织(ISO)正式批准了“metproxybicyclone”这一英文通用名。这个名字本身就是一个化学密码:met指甲氧基,proxy指丙炔基,bicyclo指二环辛烷骨架,ne是二酮类除草剂的后缀。

2025年6月17日,除草剂抗性行动委员会(HRAC)和美国杂草科学学会(WSSA) 联合宣布,metproxybicyclone被认定为ACCase抑制剂中的一个全新化学子类——“碳环芳基二酮类”。

这是自2006年先正达推出唑啉草酯以来,ACCase抑制剂家族迎来的首个新化学子类。两代产品之间,相隔了将近20年。

先正达全球研发负责人Camilla Corsi说:“多年前,我们的科学家预见到阿根廷和巴西的某些禾本科杂草很可能对现有除草剂产生抗性,从那时起,我们就开始与时间赛跑。”

07

从阿根廷到世界(2026—)


2026年4月,阿根廷——世界第三大大豆生产国——成为全球第一个批准VIRESTINA™技术上市的国家。

选择阿根廷作为首发市场,意义深远。这里的农民正饱受抗性牛筋草和长颖马唐之苦。在某些地区,烯草酮的防效已下降至不足50%,农民不得不增加施药次数、提高剂量,甚至重新采用机械除草。

VIRESTINA™在土壤中可快速降解,对后茬作物和覆盖作物的轮作限制极小。农民因此获得了更大的经营灵活性,同时减少了重型机械的田间作业次数——这对降低土壤压实和温室气体排放具有直接的可持续价值。

根据先正达的规划,巴西、美国、加拿大和澳大利亚将紧随其后。在巴西——全球最大的大豆生产国——VIRESTINA™预计将扮演抗性管理“最后一道防线”的角色。

正如Sarah-Jane Hutchings所说:“对于抗性的发展,问题不是‘是否会发生’,而是‘何时发生’。”

杂草不会失败,它只会等待。


08

这不是一个产品,而是一个信号


先正达这次交出的答卷,传递了一个清晰的行业信号:ACCase这个“老靶点”并没有走到尽头。

过去20年没有新产品,不是因为靶点被“挖干”,而是因为创新的门槛被大幅抬高。安全要求方面,现代除草剂必须同时满足毒理学、环境行为和轮作灵活性等多重标准;抗性绕开方面,新分子必须能够规避前三代产品积累的靶标突变“雷区”;成本回报方面,从头设计一个全新化学骨架的投入和风险,远超在已有骨架上做修饰。

VIRESTINA™之所以罕见,正是因为它同时跨越了这三道门槛。

这不是第四代产品的简单延续,而是一次重新设计。

未来除草剂的竞争,不再是“新靶点”的竞争,而是新结合模式的竞争、新抗性绕开设计的竞争、预测科学能力的竞争。

农药竞争的本质,是和进化赛跑。先正达用10年时间证明:科学远见,可以跑赢进化本身。


09

一句话总结


先正达这次突破的本质:不是更强,而是绕开;不是对抗进化,而是避开进化。

回顾整个研发历程,几个时间节点值得铭记。2014—2015年,核心化合物专利布局,科学家基于专业知识预判抗性危机。2020年,中国专利授权,知识产权保护闭环完成。2023年,ISO通用名获批。2024年,研发论文发表,拜耳独立研究提供侧面信号。2025年,HRAC和WSSA认定为全新化学子类。2026年,阿根廷率先批准,全球品牌VIRESTINA™官宣。

从一张专利图纸到一款全球首发的革命性产品,metproxybicyclone的诞生,是化学创新、生物学洞察和战略远见三者合力的结果。

先正达的科学家们利用预测科学,仅用了10年就将这项创新推向市场——比行业平均快得多。这背后,是杰洛特山国际研究中心数十年ACCase研究积累的厚积薄发,更是一个企业敢于在危机尚未全面显现时提前布局的战略勇气。

抗性不是问题,它是时间表。

当科学家们在2015年埋下那颗种子时,他们瞄准的,是10年后即将爆发的抗性危机。当危机真正来临时,解决方案已经整装待发。

这是一场跨越10年的精准伏击,也是一次对未来抗性竞争方式的提前定义。


(来源:农化新视界)

相关推荐