精草铵膦——具备″未来感″属性的蓝海市场

作者:农博生物 2024/5/13 8:40:29
精草铵膦也称为左旋草铵膦(L-草铵膦),最早发现于土壤链霉菌发酵物双丙氨膦,其在植物体内被代谢为L-草铵膦和两分子氨基酸,是含有C-P-C结构的天然氨基酸除草剂,其绿色、安全、环保层面的意义显著优于化学合成除草剂敌草快、草甘膦及普通草铵膦。精草铵膦,属于膦酸类除草剂,其作用机制和草铵膦相同,草铵膦是 D/L-草铵膦的外消旋物,仅L-草铵膦具有除草活性,通过作用于植物体谷氨酰胺合成酶,抑制&nbsp

精草铵膦也称为左旋草铵膦(L-草铵膦),最早发现于土壤链霉菌发酵物双丙氨膦,其在植物体内被代谢为L-草铵膦和两分子氨基酸,是含有C-P-C结构的天然氨基酸除草剂,其绿色、安全、环保层面的意义显著优于化学合成除草剂敌草快、草甘膦及普通草铵膦。

精草铵膦,属于膦酸类除草剂,其作用机制和草铵膦相同,草铵膦是 D/L-草铵膦的外消旋物,仅L-草铵膦具有除草活性,通过作用于植物体谷氨酰胺合成酶,抑制 L-谷氨酰胺合成,导致细胞毒剂铵离子累积、铵代谢紊乱、氨基酸缺失、叶绿素解体、光合作用被抑制,最终将杂草彻底杀死。

图片

精草铵膦化学结构式
01
合成路线

精草铵膦的合成方法主要有不对称合成法、外消旋体拆分法和生物催化法。工业化大规模生产方法主要是不对称合成法和外消旋体拆分法。

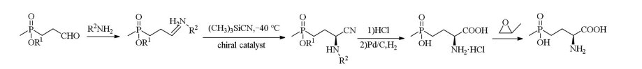
不对称合成法是从手性原料出发合成光学纯L-草铵膦。2007年,明治制果将B-次膦酸酯基醛与伯胺反应生成亚胺类化合物,在Jacobsen催化下,用三甲基硅氰对亚胺进行不对称Strecker反应(图2),再经水解转化得到精草铵膦。此工艺较复杂,需要使用昂贵的手性拆分试剂,理论收率仅50%,单次拆分率低。
图片
图2 不对称 Strecker 反应合成 L-草铵膦工艺路线
外消旋体拆分法是通过对外消旋DL-草铵膦或其衍生物进行手性拆分,实现D型和L型异构体分离,从而得到光学纯L-草铵膦。拆分过程中N-癸酰草铵膦在Pseudomonas sp. zjut126 催化下,L-N-癸酰草铵膦水解生成 L-草铵膦(图 3)。此工艺步骤多、收率低、手性原料昂贵,不利于大规模制备。

图片

图3 用Pseudomonas sp. zjut126 细胞拆分外消旋草铵膦制 L-草铵膦工艺流程

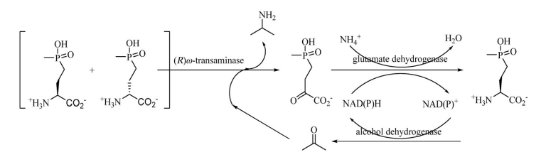
生物催化法:以DL-草铵膦为原料,通过 R-选择性的ω-转氨酶将 D-草铵膦转化为2-羰基-4-[羟基(甲基)膦酰基]丁酸, L-型草铵膦由于不参与反应而得以保留;然后谷氨酸脱氢酶以 2-羰基4-[羟基(甲基)膦酰基]丁酸为原料不对称合成L-草铵膦,从而得到光学纯L-型草铵膦(图4)。

图片

图4 全新生物酶法去消旋化合成 L-草铵膦的工艺流程
02

环境生物急性毒性

10%精草铵膦可溶液剂对于对鹌鹑急性经口LD50(7 d)为282 mg a.i./kg b.w.。其对鹌鹑急性毒性经口毒性为″中毒″。

10%精草铵膦可溶液剂对家蚕的LC50(4 d)为186 mg a.i./L。其对家蚕急性毒性为″中毒″。

10%精草铵膦可溶液剂对蚯蚓的LC50(14 d)>100 mg a.i./kg干土。其对蚯蚓14 d急性毒性为″低毒″。

10%精草铵膦可溶液剂对蜜蜂的经口毒性LD50值为19.5μg a.i./蜂,对蜜蜂的接触毒性LD50值为40.0μga.i./蜂。其对蜜蜂48 h急性经口和接触毒性均为″低毒″。

10%精草铵膦可溶液剂对赤眼蜂毒性LR50值为249 g a.i./hm2,田间最大推荐使用剂量为600 g a.i./hm2。其对赤眼蜂24 h的风险性为″高风险性″。

10%精草铵膦可溶液剂对瓢虫的LC50(成虫前)为167 g a.i./hm2,田间最大推荐使用剂量为600 g a.i./hm2,10%精草铵膦可溶液剂对瓢虫的安全系数为0.278。其对瓢虫24 h的风险性为″高风险性″。

03

登记情况

近期,美国环境保护署(US EPA)公布最新工作计划。根据最新的工作计划,巴斯夫的精草铵膦铵盐和三井化学的精草铵膦计划最早将于2023年内完成评估,UPL的精草铵膦铵盐由于提交资料稍晚,相关工作则计划于2024年7月完成。

目前,精草铵膦在国内的登记有65个,原药10个,母药5个,单剂47个,复配3个。以可溶液剂为主,其中10%可溶液剂的含量占据大部分,少量为15和20%的。

表1 精草铵膦登记情况(截止2023年8月21号)

图片
04

市场前景

草铵膦含有 1 个手性中心,具有L 型和 D 型两种光学异构体,但只有L型草铵膦(精草铵膦)具有除草活性。目前上市的草铵膦除草剂主要为D:L=1:1的外消旋产品,若草铵膦产品中只含有L-构型的光学异构体,理论上单亩草铵膦使用量可以降低50%,这对于降低使用农药成本、减轻环境压力均有十分重要的意义。

而在田间效果的表现上,精草铵膦在突出除草效果的同时,更能减少化学物质对土壤板结、作物健康的危害。使用精草铵膦单桶水的价格更低,能极大地降低农户的投入成本,在农户中间的推广前景大好。

所以,无论是在国家″减施增效、减量控害″层面,还是使用效果层面,精草铵膦的″未来感″属性都是大势所趋,因此成为了草铵膦行业重要的发展趋势之一。

随着全球范围的百草枯、草甘膦禁限用不断扩大,且草甘膦的广泛使用,杂草逐渐也出现抗药性,因此近年来草铵膦市场发展明显加快,而草铵膦的未来主要发展之一即为精草铵膦,所以精草铵膦是一个充满想象力的蓝海市场。
参考文献:

吴頔, 裘孝锋.精草铵膦市场分析[J].中国农药, 2021, 017(010):P.28-31.

董怡.精草铵膦绿色生物合成技术及应用前景[J].世界农药, 2023, 45(4):32-36.

陈吉祥, 于伟丽, 苏磊,等.精草铵膦对环境生物的急性毒性与安全性评价[J].农药, 2021, 60(8):5.

吴頔, 裘孝锋.精草铵膦中长期市场分析[J].农药市场信息, 2021, 000(020):P.38-39.

于平平.精草铵膦群雄竞逐,谁主沉浮?[J].营销界, 2021(9):74-78.
相关推荐