简析:HPPD除草剂

作者:磊子侃农药 徐磊 2022/4/18 14:28:44
HPPD抑制剂除草剂最早起源于20世纪70年代末的稀禾啶(sethoxydim),它是一种乙酰辅酶A羧化酶抑制剂(属于环己稀酮类)除草剂,用于多种(如大豆、棉花、油菜、水果和甜菜等)阔叶作物上防除单子叶杂草,具有较好的除草活性。1982年捷利康(现先正达)公司在进行三酮类除草剂的研究时,首先发现对-羟苯基丙酮酸双氧化酶(4-hydroxyphenyl-pyruvate dioxygenase,简称

HPPD抑制剂除草剂最早起源于20世纪70年代末的稀禾啶(sethoxydim),它是一种乙酰辅酶A羧化酶抑制剂(属于环己稀酮类)除草剂,用于多种(如大豆、棉花、油菜、水果和甜菜等)阔叶作物上防除单子叶杂草,具有较好的除草活性。


1982年捷利康(现先正达)公司在进行三酮类除草剂的研究时,首先发现对-羟苯基丙酮酸双氧化酶(4-hydroxyphenyl-pyruvate dioxygenase,简称HPPD)是这类除草剂的靶标。HPPD抑制剂于1985年被报道出来其作为除草剂的潜力,1992年发现三酮类化合物是HPPD的潜在抑制剂。随着80年代开发了吡唑酮类品种之后,又有一些广谱、高效新品种被开发出来,其中包括三酮类的磺草酮、硝磺草酮、双环磺草酮等,异噁唑酮类的异噁唑草酮以及新近发现的二酮腈类和二苯酮类化合物。这表明,HPPD作为靶标,涉及的化合物类型不断增多,成为开发除草剂新品种的重要领域之一。


 HPPD抑制剂类除草剂全称是对羟基苯基丙酮酸双氧化酶(HPPD)抑制剂,它们通过抑制HPPD的活性,使对羟基苯基丙酮酸转化为尿黑酸的过程受阻,导致生育酚及质体醌无法正常合成,进而影响靶标体内类胡萝卜素的生物合成,促使植物分生、新生组织产生白化症状,最终导致植株死亡。大多HPPD类型的除草剂结构上并不完全相关,但是作用效果相同。


2009年以来,HPPD抑制剂类除草剂市场几乎逐年增长(仅2015年除外),成为除草剂市场增长最快的产品类型之一。其销售额从2009年的7.37亿美元,增至2016年的13.36亿美元,占全球除草剂市场份额的7.8%。7年来市场接近翻番,2009—2016年的复合年增长率为8.9%。


HPPD抑制剂类除草剂主要用于玉米,也用于谷物、水稻、甘蔗等作物,HPPD除草剂最主要的特点就是抗性风险低。另外其还有活性高、杀草谱广、化学结构多样等特点。其除草原理是将氨基酸酪氨酸转化为质体醌,当HPPD受到抑制时,会造成植物分生组织中酪氨酸积累和质体醌的衰竭,3~5天内植物分生组织会出现黄化症状,随之引起枯斑,1~2周后遍及整株,植物白化而逐渐死亡。


目前上市的主要HPPD抑制剂类除草剂,有三酮类(硝磺草酮、环磺酮、双环磺草酮、呋喃磺草酮、磺草酮、氟吡草酮),吡唑酮类(苯唑草酮、吡草酮、吡唑特、苄草唑),异噁唑酮类(异噁唑草酮)。


跨国公司是HPPD抑制剂类的除草剂的主要持有者,拜耳共上市了5个产品。而全球第一大HPPD抑制类除草剂硝磺草酮是先正达的产品。


在HPPD抑制剂类除草剂中,硝磺草酮、异噁唑草酮和环磺酮2016年的销售额均超2.00亿美元。尤其是硝磺草酮以6.50亿美元的销售额遥遥领先,占据了该类除草剂48.7%的市场份额;异噁唑草酮与环磺酮的销售额分别为2.20亿和2.10亿美元,分别占该类除草剂市场的16.5%和15.7%。


硝磺草酮(mesotrione)

硝磺草酮(商品名:Callisto)是HPPD抑制剂类除草剂中最重要的产品之一,常用于玉米田防治阔叶杂草和部分禾本科杂草,是先正达继磺草酮之后开发的第2个三酮类除草剂。其活性数倍于磺草酮,安全性也有了明显提升。常与莠去津,烟嘧磺隆等复配用于玉米田除草。2001年,硝磺草酮在美国首先上市,随后销售量逐年攀升。在先正达畅销产品排行榜中,硝磺草酮位居第三;在全球除草剂排行榜中,硝磺草酮位居第四;在玉米田选择性除草剂以及HPPD抑制剂类除草剂中,硝磺草酮均位列第一。


硝磺草酮的中文别名:甲基磺草酮;化学名为2-(2-硝基-4-甲磺酰基苯加酰)环己烷-1,3-二酮或2-(4-甲磺酰基-2-硝基苯甲酰基)环己烷-1,3-二酮。

图片

硝磺草酮的主要应用作物为玉米、水稻、谷物、甘蔗等。芽前(用药量100~225g/hm2)或芽后(用药量70~150g/hm2)防除玉米田一年生阔叶杂草,如苍耳、三裂叶豚草、苘麻、藜、苋和蓼等,和部门禾本科杂草,尤其对磺酰脲类抗性杂草有效。硝磺草酮为独特的玉米田除草剂。它对玉米田最难防治的阔叶杂草提供了优异防效,保证了作物的健康生长。其持效期长,用药适期灵活,可与多种产品复配,如莠去津、精异丙甲草胺、特丁津、麦草畏、砜嘧磺隆、双唑草腈、氯嘧磺隆、氯吡草酮、草甘膦、烟嘧磺隆等。


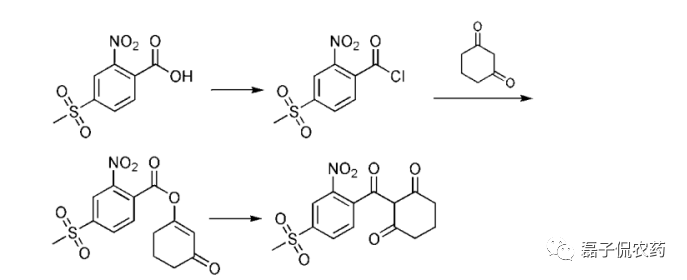
1.1生产工艺

图片

以2-硝基-4-甲砜基苯甲酸为起始原料,经酰氯化、酯化和催化重排3步反应合成硝磺草酮。


1.2出口情况

据海关数据显示, 2019年全年我国共计出口硝磺草酮2.033亿美元。美国是硝磺草酮的最大出口目的国,主要以原药进口为主,共计进口1.236亿美元。第二名是巴西,2019年共计进口1998.5万美元,包括制剂和原药。第三名是南非,共计进口硝磺草酮1382.7万美元。第四名为荷兰,进口1081.9万美元。巴基斯坦,法国,比利时,印度尼西亚,匈牙利,波兰分列5-10位。


异噁唑草酮(isoxaflutole)

异噁唑草酮是罗纳-普朗克(现拜耳作物科学)发现、开发和生产的异噁唑酮类除草剂,1996年上市(商品名:Balance,百农思)。用于玉米、甘蔗、甜菜、果蔬、棉花、谷物等旱田作物,防除50多种禾本科杂草和阔叶杂草。为芽前,芽后除草剂。2016年的全球销售额为2.2亿美元,为第二大HPPD抑制剂类除草剂,仅次于硝磺草酮。


化学名为:5-环丙基-4-[2-(甲磺酰)-4-(三氟甲基)苯甲酰]异噁唑,化学式为:

图片

异噁唑草酮为选择性内吸型苗前处理除草剂,主要经由杂草幼根吸收传导而起作用。敏感植物吸收了该药之后,通过抑制HPPD,间接影响类胡萝卜素的生物合成,从而导致敏感植物受害后失绿、白化、枯萎。异恶唑草酮的持效期中等,一般情况下残效期4个月。


异噁唑草酮主要用于玉米、甘蔗等旱作物田防除苘麻、藜、地肤、猪毛菜、龙葵、反枝苋、柳叶刺蓼、鬼针草、马齿苋、繁缕、香薷、苍耳、铁苋菜、水棘针、酸模叶蓼、婆婆纳等多种一年生阔叶杂草,对马唐、稗草、牛筋草、千金子、大狗尾草和狗尾草等部分一年生禾本科杂草也有较好的防效。


使用时期是在玉米播后1周内及早施用。按照比例兑水稀释,经充分搅拌后再均匀喷于地表。


异噁唑草酮易产生药害,用量大时对小麦叶片有灼伤现象,死草速度快,但除草易复发,且对繁缕、大巢菜等效果较差,可与苯磺隆、二甲四氯等复配使用,在杂草3-4叶期使用最佳。异噁唑草酮对玉米有选择性,但在用药量过大、碱性土壤、沙质土、有机质含量低的土壤条件下,玉米易产生药害。部分玉米品种也易发生药害,玉米产生黄化、白化现象。其常用安全剂为双苯噁唑酸,通过加入安全剂和选择合适的混配剂型可有效降低其药害。


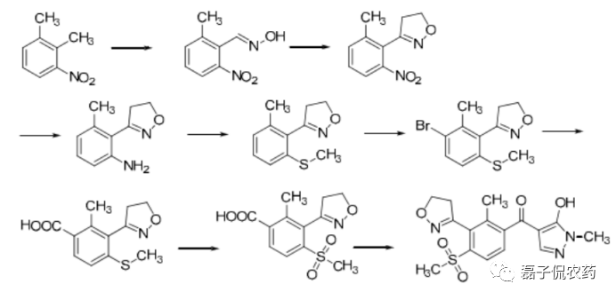
2.1合成工艺

以2-硝基-4-三氟甲基苯腈为原料,经甲硫基化,催化氧化,缩合,水解,烯醇化和环合反应而成。


图片



2.2出口情况

海关数据显示2019年度,我国共计出口异噁唑草酮19.76万美元,全部出口至澳大利亚。


2016年,异噁唑草酮的全球销售额为2.20亿美元;2011—2016年的复合年增长率为5.9%。异噁唑草酮主要在美国(0.51亿美元;占23.2%)、巴西(0.51亿美元;占23.0%)、罗马尼亚(0.23亿美元;10.7%)、法国(0.16亿美元;占7.4%)、意大利(0.14亿美元;占6.6%)、澳大利亚(0.11亿美元;占5.2%)、阿根廷、捷克、保加利亚、匈牙利、波兰、加拿大、克罗地亚、塞尔维亚、乌拉圭、南非、西班牙、墨西哥、俄罗斯、玻利维亚、智利、斯洛伐克、土耳其、乌克兰、肯尼亚、奥地利、英国等国销售。


环磺酮(tembotrione)

环磺酮,是拜耳于2007年研发成功的三酮类除草剂。化学名称2-{2-氯-4-甲磺酰基-3-[(2,2,2-三氟乙氧基)甲基]苯甲酰基}环己烷-1,3-二酮,。主要用于玉米田,防除禾本科杂草和阔叶杂草。其在中国的专利到期日为2019年10月。

图片

环磺酮主要用于玉米田,是芽后HPPD(对羟基苯基丙酮酸双氧化酶)抑制剂类除草剂,可阻断植株体内异戊二烯基醌的生物合成,引起失绿、褪色、组织坏死,最终在2周内死亡。环磺酮除草谱广、除草适期长,主要靶标玉米田芽后中晚期各种阔叶杂草与禾本科杂草,对蓟、田旋花、婆婆纳、辣子草、鼬瓣花和猪殃殃等防效优异,且对后茬作物无药害。在美国有大量的使用。主要剂型为:可分散油悬浮剂。


环磺酮使用为苗后茎叶处理,其特点是能杀灭对草甘膦、麦草畏及ALS抑制剂类除草剂产生抗性的杂草。此外,环磺酮还有较强的抗雨水冲涮能力,且可以在作物整个生长期均保持良好的除草活性而不会对下一茬作物造成危害。 环磺酮的主要复配产品有:双苯噁唑酸(商品名Laudis、Soberan)、双苯噁唑酸+特丁津(商品名Laudis Plus)、噻酮磺隆(商品名Capreno)等。


 环磺酮一般与安全剂双苯恶唑酸复配使用,可保护玉米免收紫外线伤害,具有广谱、作用快速的特性,且与环境具有高度相容性。


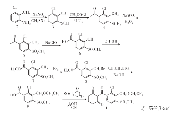
3.1合成工艺 

环磺酮的合成目前国内还没有详细的报道。目前文献上显示的是以3-氯-2-甲基苯胺为起始原料,在亚硝酸钠作用下与甲硫醇钠反应得到2-氯-6-甲巯基甲苯,而后与乙酰氯进行酰化和过氧化氢氧化得到2-氯-3-甲基-4-甲磺酰基苯乙酮。再经次氯酸钠氧化和甲醇酯化得到2-氯-3-甲基-4-甲磺酰基苯甲酸甲酯,经NBS溴化得到2-氯-3-溴甲基-4-甲磺酰基苯甲酸甲酯,而后经三氟乙醇醚化和水解得到最终产物2-氯-3-(2,2,2-三氟乙氧基)甲基-4-甲磺酰基苯甲酸。


最后,在转位剂丙酮氰醇的作用下,与1,3-环己二酮反应得到目的产物环磺酮。

图片


3.2出口情况 

环磺酮2019年10月刚过中国专利期(2019年10日),国内并未有出口。2016年,拜耳的环磺酮在玉米上的销售额为1.71亿美元,占其全球市场的81.3%;其在向日葵和非作物领域也有少量应用。


环磺酮的主要市场依次为:巴西(0.96亿美元;占45.6%)、美国(0.22亿美元;占10.3%)、匈牙利、德国、法国、罗马尼亚、墨西哥、克罗地亚、荷兰、保加利亚、意大利、斯洛伐克、塞尔维亚、奥地利、南非、比利时、厄瓜多尔、智利、西班牙、捷克、加拿大、肯尼亚等。


苯唑草酮(topramezone)

苯唑草酮(Topramezon)是巴斯夫开发的第一个苯甲酯吡唑酮类除草剂,2005年,Amvac在美国登记了基于苯唑草酮的产品Impact,用于玉米。其在中国的专利期于2018年1月8日到期。中文化学名称:4-[3-(4,5-二氢异恶唑-3-基)-2-甲基-4-甲基磺酰基]-1-甲基-5-羟基-1H-吡唑其结构式如下:

图片

苯唑草酮属于对羟基苯基丙酮酸酯双氧化酶(HPPD)类抑制剂,其对耐草甘膦、三嗪类、乙酰乳酸合成酶(ALS)抑制剂和乙酰辅酶A羧化酶(ACCase)抑制剂的杂草有很好的防除效果,能有防除世界范围内玉米作物上的主要禾本科杂草和阔叶杂草(对莎草科杂草效果较差)。


苯唑草酮主要用作可有效防除或抑制以下杂草:马唐、稗草、牛筋草、狗尾草、野黍、藜、寥、苘麻、反枝苋、豚草、曼陀罗、牛膝菊、马齿苋、苍耳、龙葵、一点红等。在玉米苗后2-4叶期茎叶处理,一年生杂草2-4叶期时喷雾处理。


主要注意的是:间套或混种有其他作物的玉米田,不能使用该药。幼小和旺盛生长的杂草对苯唑草酮更敏感。低温和干旱的天气,杂草生长会变慢从而影响杂草对苯唑草酮的吸收,杂草死亡的时间会变长。


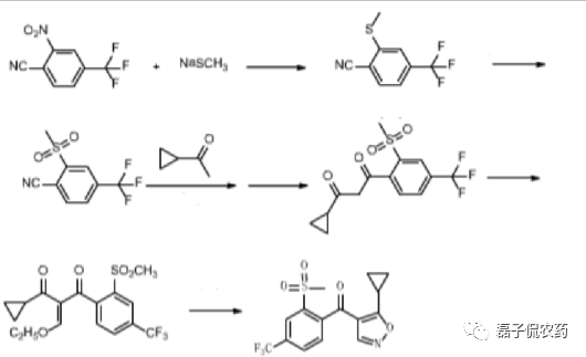
4.1合成工艺

苯唑草酮目前没有专门披露合成工艺的相关文献,此合成方法来源于中国授权专利(CN103788083A,2014-05-14):


图片


 以3-硝基邻二甲苯为原料,经肟化合成 2-甲基-6-硝基苯甲醛肟,经过与乙烯加成得到 2-(4,5-二氢异噁唑-3-基)-3-甲基硝基苯,经过还原得到 2-(4,5-二氢异噁唑-3-基)-3-甲基苯胺,经过重氮化合成 3-(2-甲基-6-甲基硫代苯基)-4,5-二氢化异噁唑,经过溴化得到 3-(3-溴-2-甲基-6-甲基硫代苯基)-4,5-二氢化异噁唑,再与正丁基锂进行卤锂交换后与二氧化碳反应合成 3-(4,5-二氢化异噁唑-3-基)-2-甲基-4-甲硫基苯甲酸,然后将甲硫基氧化得到中间体 3-(4,5-二氢化异噁唑-3-基)-2-甲基-4-(甲基磺酰基)苯甲酸,最后与 1-甲基-5-羟基吡唑缩合重排得到苯唑草酮。


4.2出口情况

苯唑草酮2018年刚过中国专利期。目前还没有出口情况。但巴斯夫在全球的推广可了解其应用信息,2016年,苯唑草酮的全球销售额为0.90亿美元,苯唑草酮在玉米上的销售额为0.58亿美元,占其全球市场的64.1%;苯唑草酮也用于非作物领域。


苯唑草酮主要销往美国(0.17亿美元;占19.2%)、中国(0.12亿美元;占13.6%)、阿根廷(752万美元;占8.4%)、匈牙利、墨西哥、印度尼西亚、比利时、日本、德国、加拿大、奥地利、乌克兰、智利、斯洛伐克、荷兰等。


相关推荐