理论研究!中国农业数字化转型与绿色增长

作者:农业行业观察 内容团队 2025/9/24 14:16:57
摘要:作为经济中的基础性产业,农业的可持续增长已引起全球研究人员和政策制定者的高度关注。数字化改革与信息技术对农业、农村及农民产生了重大影响,促进了农业领域的高质量发展和绿色增长。本文基于数字化衡量指标与绿色生产率指标,探讨了互联网发展对中国农业经济绩效与环境绩效的影响。实证结果表明,中国省级农业呈现出显著的绿色增长态势,这一增长主要由技术进步驱动。互联网普及与数字技术确实推动了农业的可持续发展。

摘要:作为经济中的基础性产业,农业的可持续增长已引起全球研究人员和政策制定者的高度关注。数字化改革与信息技术对农业、农村及农民产生了重大影响,促进了农业领域的高质量发展和绿色增长。本文基于数字化衡量指标与绿色生产率指标,探讨了互联网发展对中国农业经济绩效与环境绩效的影响。实证结果表明,中国省级农业呈现出显著的绿色增长态势,这一增长主要由技术进步驱动。互联网普及与数字技术确实推动了农业的可持续发展。此外,本文还提出了相应的政策启示,旨在为中国农业的稳定增长开辟新路径。

农业是国家经济发展的基石。作为评估农业发展的主要指标,全要素生产率(TFP)一直是研究人员衡量农业发展的关键指标(Sheng等人,2020;Wang等人,2019)。自1978年改革开放以来,中国农业开始实施家庭联产承包责任制(HCRS)。家庭农场经营激发了农民的生产热情,解放了农村生产力,中国农业实现了快速发展。2012年,中国粮食总产量达到6亿吨,是1978年的两倍。从2015年到2020年,粮食产量连续六年超过6500万吨(国家统计局,CNBS)。过去40年,中国实际农业产值年均增长约5.3%,是1952年至1978年期间增长率的两倍多(Huang和Rozelle,2018)。中国农业用仅占世界10%的耕地养活了占世界22%的人口(Chen等人,2021)。

由于经济发展水平、自然条件、制度等差异,不同国家的农业结构和生产模式各不相同。美国、法国和日本等发达国家的农业以工业化管理、机械化生产为主要特征。相比之下,中国农业生产主要采用家庭联产承包责任制,农场大多规模小且分散,土地和家庭劳动力仍是主要投入要素。此外,中国地域辽阔,南北跨度约50度,不同地区的气候、土壤甚至制度存在明显差异(Chen等人,2009)。

提高农业产量和收入一直是中国政府关注的重点。多年来,中国农业增长依赖投入增加(Su等人,2020),导致资源浪费和环境污染(Khanal等人,2021)。农业生产中广泛使用化肥、农药和化石燃料,造成碳排放(Chen等人,2021)和农业面源污染(ANSP)(Liu等人,2021)。根据第二次全国污染源普查公报,2017年农业水污染物排放量占总污染量的很大比例,其中化学需氧量(COD)占49.77%,总氮占46.52%,总磷占67.21%(国家统计局,CNBS)。在化学需氧量排放方面,农业甚至超过了工业部门,成为化学需氧量排放的最大来源。根据中国环境与发展国际合作委员会的数据,农业部门的温室气体排放量占总体排放量的近17%。农业的快速发展已成为碳排放增加的原因之一

中国经济正从高速增长转向高质量发展。中国正在改变发展方式,优化经济结构。农业发展也需要从数量扩张转向质量提升,更加注重资源节约和环境保护,发展绿色农业。绿色农业是实施可持续发展农业发展议程的核心(Fang等人,2021)。

中国中央一号文件已连续17年聚焦农业问题,反复强调资源节约、环境保护和高质量发展的重要性。然而,由于上述问题,绿色农业增长必须应对生产力和环境绩效的双重挑战。在当前情况下,提高绿色农业生产力(GAP)是促进绿色农业发展的最有效方式(Chen等人,2021;Liu等人,2020)。当今中国社会的主要矛盾已从社会生产力落后导致人民群众物质文化需求增长,转变为发展不平衡不充分导致的对美好生活的向往。恩格尔系数的下降也意味着消费者对农产品的需求不再仅仅是获取足够的食物,而是更多地追求高品质产品。绿色有机农产品更受欢迎。现阶段,绿色农业、数字农业和智能农业正得到大力推广。

偏远山区农民因信息与交通受阻,难以进入市场、获取收入,这也限制了他们学习和运用现代农业生产技术或设备。幸运的是,农村地区互联网与通信技术的发展改善了这一状况(Ogutu等人,2014)。近年来,中国互联网的发展与应用势不可挡。根据《第48次中国互联网发展统计报告》的数据显示,截至2021年6月,中国互联网用户已超过10亿,互联网普及率超过71.6%(中国互联网络信息中心)。中国网民数量位居世界第一。互联网发展通过将互联网信息、通信技术与互联网平台与其他行业相结合,创造了新的产业生态,从而带来了变化。过去几年,中国持续加大对农业研究的投入,利用互联网、物联网(IoT)、云计算和区块链等新兴技术推动农业发展革新(朱和李,2021)。互联网和数字技术的使用对农业增长产生了积极影响。一些研究发现,互联网和通信技术提高了绿色农业生产力(Benyam等人,2021;Lioutas等人,2021)。

综上所述,在农业生产迫切需要兼顾生产力和环境绩效,以及互联网迅速发展的背景下,本文采用改进的副产品模型来衡量绿色农业生产力(GAP)。并在机制分析的基础上,探讨了互联网发展水平对农业绿色增长的作用。本文的创新之处在于考察了中国农业部门绿色生产力增长及其与互联网发展的关系。文章结构如下:第二节回顾了有关农业生产力与互联网发展效应的研究;第三节分析了互联网对绿色农业生产力的影响机制;第四节为模型构建部分;第五节描述了数据,并展示了实证结果,包括基本模型、中介效应、门槛回归结果和稳健性检验;最后一节给出了结论和政策建议。


图片

文献回顾

图片

图片

# 01

图片

绿色农业生产力的测度

图片

全要素生产率(Total  Factor Productivity,  TFP)的测算一直是农业经济学研究中的一个关键领域,因为它能估算出农业生产过程中发生的变化程度(Balezentis等人,2021)。根据不同的模型设定和变量选择,得出的结论也有所不同。许多早期研究在计算农业TFP时很少考虑环境因素(Chen等人,2008;Li和Zhang,2013)。时至今日,无论是在研究区域差异与收敛性(Wang等人,2019)方面,还是在研究TFP的历史水平及其影响因素(Sheng等人,2020)方面,一些与农业生产力相关的文献中仍然没有考虑环境因素。然而,环境可持续发展已成为当今中国高质量经济增长的一条新路径。在此过程中,可持续农业尤为重要。考虑到长期投资和污染已严重阻碍了中国绿色农业的发展(Fang等人,2021),越来越多的研究开始在衡量农业生产力时将环境因素纳入评估体系,并研究如何在降低环境影响的同时提高农业生产力。

农业绿色生产力被认为是衡量农业经济与环境的准确指标。它揭示了除投入要素外,在环境压力下可持续增长的部分,并已被应用于许多研究中Liu等人(2021)使用超效率松弛测度模型(Super Slack-Based Model,SBM)来估算考虑碳排放的中国绿色农业生产力(Green Agricultural  Productivity,  GAP)。Fang等人(2021)采用SBM-全局Malmquist–Luenberger(GML)指数,利用2002—2015年各省的面板数据来估算GAP。结果显示,中国农业碳排放量呈倒U型趋势,总体增长逐渐放缓。Chen等人(2021)采用三阶段数据包络分析(Data  Envelopment Analysis,  DEA)框架和SBM方法,分析了2000—2017年中国30个省份的实际GAP。此外,许多研究还将农业生产力分解为效率变化(Efficiency  Change, EC)和技术进步(Technological Progress,  TP)两部分,并探讨了农业生产力的构成和增长来源(Deng等人,2021;Jin等人,2010;Ma和Feng,2013;Rahman和Salim,2013)。

# 02

图片

绿色农业生产力的影响因素

图片

在衡量农业生产力时,许多研究也聚焦于其影响因素。改革开放后,中国农业生产力经历了一段快速增长期(Gong,2018;Lin,1992)。一些研究认为,制度变革(Lin,1992;Zhang和Carter,1997)和高投入水平(Brown,1995;Lin,1992)是这一时期生产力增长的主要原因。然而,数年之后,家庭联产承包责任制和杂交水稻推广种植的积极效应逐渐耗尽(Lin,1992;Mead,2003)。投入的边际产出也在持续降低,农业生产力增长开始放缓。从1984年到1987年,中国农业产量平均年增长率仅为4%,甚至低于1984年之前的水平(Ma和Feng,2013)。

通过将生产力分解为效率变化(EC)和技术进步(TP)两部分,一些学者发现,在大多数省份,提高农业生产力的关键因素是技术进步,而生产效率却在恶化(Jin等人,2010;Ma和Feng,2013)。众多关于中国生产力增长的研究都证实了这一发现。他们的研究发现,公共研究投资回报率很高,且投资增加促进了技术进步(Deng等人,2021;Rahman和Salim,2013)。除了上述因素外,一些研究还关注了其他因素的影响,如作物保险(Fang等人,2021)、农村普惠金融(Hu等人,2021)以及人力资本(Wang等人,2021)。

# 03

图片

互联网发展效应

图片

信息和通信技术(ICTs)在中国的动态扩展使人们意识到其对改善农村经济状况的重大影响。然而,由于发达国家与发展中国家之间的发展差距,尽管一些学者已探讨了互联网使用的不同回报(Li等人,2021;Ma等人,2020b),但很少有研究关注互联网使用对农业绿色生产力的影响(Li等人,2020)。Chang和Just(2009)对台湾省农民进行了调查,并得出结论认为互联网可以增加农民收入。Ma等人(2020b)也证实了互联网使用显著增加了农村家庭的收入和支出。Zheng等人(2021)和Zhu等人(2021)则分别指出,使用互联网对香蕉和苹果生产的技术效率产生了积极影响。

鉴于上述内容,本文的研究具有以下三个重要贡献。(1)据我们所知,这是第一项关于综合互联网发展对城乡收入差距影响的研究。(2)我们分析了互联网扩散对城乡收入差距增长率的影响机制。选择了适当的中介变量,并进行了计算分析。(3)农业绿色生产增长率的测量基于改进的共生生产模型,这是对该改进模型的一次实证应用

图片


图片

理论分析

图片

图片

# 01

图片

互联网发展对绿色农业生产力的直接影响机制

图片

1.1 互联网的发展促进了信息的传播

信息和通信技术(ICT)的发展促进了信息的传播,因此被视为推动经济增长和提高生产力的重要因素(Ma等人,2020a)。中国及其他发展中国家的农民需要获取充足的信息和必要设施以改进其生产实践。因此,及时且高质量地为偏远地区的农民提供必要的知识和服务至关重要。过去,信息不对称的限制使得小规模农业生产者难以进入市场并获得收入。这也限制了他们学习和使用新技术与新设备。幸运的是,ICT的发展可以改善这一状况。互联网能够减少信息不对称,因为它在信息传递方面既迅速又廉价。许多研究已证实,ICT在向农民传递市场信息(Ogutu等人,2014)、农药使用(Cole和Fernando,2012)、化肥使用(Kaila和Tarp,2019)、种子使用(Kiiza和Pederson,2012)以及土地管理(Hou等人,2019)等方面可以发挥关键作用。

过去,收音机和电视等通信设备使农民能够获取信息。然而,信息的单向流动使他们无法向农业部门和专家寻求问题解决方案(Aker,2011)。如今,具备通话和视频功能的智能手机可以满足大多数需求,并允许农民与服务提供者进行双向沟通。智能手机是农民最容易获取的通信设备,也是他们主要的信息交换渠道。中国通过手机上网的互联网用户比例高达99.6%(CNNIC)。智能手机利用率的提高有助于农民获取更多市场信息,提高决策水平,并降低交易成本(Tadesse和Bahiigwa,2015)。在中国,使用智能手机在可持续农业中发挥了重要作用。智能手机帮助农民获取生产资料(化肥、农药和种子)、市场信息,提高生产效率,并减少农村贫困(Ma等人,2020a)。

随着通信技术的普及,农业生产者可以使用越来越多的设备,如智能手机、平板电脑、笔记本电脑以及各种应用程序(“app”)。新设备的出现使信息获取渠道更加多样化。然而,如果农民缺乏与农业相关的信息来源,即使拥有智能手机和其他通信渠道,他们的决策和管理行为也不会得到显著改善(Tadesse和Bahiigwa,2015)。因此,国家互联网发展带来的信息来源和数据量的增加也至关重要。

总之,ICT的发展为农业生产者提供了更多机会。农民可以更快地学习和应用最新技术和设备,根据市场需求和价格变化调整生产结构,通过获取天气信息来提高生产和销售效率,并获得更多保险和补贴政策以降低成本或损失。作物保险对于保护农业生产和减少经济损失至关重要。与道德风险和逆向选择相关,保险合同能够促使减少农药和化肥的使用(Mishra等人,2005)。这是减少化学投入品浪费和环境污染的有效途径,从而产生更高的农业绿色生产力水平(Fang等人,2021)。

1.2 互联网的发展促进了数字农业的发展

经合组织(OECD)、联合国粮食及农业组织(FAO)和世界银行等机构认为,数字农业能够通过提高生产力和减少污染物来实现可持续发展目标。“数字农业”运用人工智能、机器人和传感器等新技术,通过物联网(IoT)对农业生产系统进行管理(Lioutas等人,2021)。换言之,数字农业是通过融合云计算和物联网技术,基于现代农业运营产生的大量农业数据而实现的(Rotz等人,2019)。工业革命后,数字农业从机械化生产转变为数字化生产。数字农业鼓励在农业生产中应用现有或正在发展的先进技术。

研究表明,通过为农民提供智能服务和数字产品,可以改善农场管理和提高效率(Lioutas等人,2019)。人工智能通过从大数据中提取关键信息并进行预测,增强了农民的决策能力(Wolfert等人,2017),帮助农民识别问题、确定因果关系,并提供更好的解决方案。例如,土壤传感器可以提供施肥和灌溉方案(Johnson等人,2020);生物传感器有助于检测作物病虫害(Yang,2020);无人机和卫星可以提供更准确的天气波动数据(Goel等人,2021);机械化机器可以显著提高生产力、降低劳动力成本并提高产品质量(Sparrow和Howard,2021)。数字系统的应用为农民节省了更多时间和精力来管理农场。

此外,数字信息跟踪系统(如区块链)可以提高消费者对所购买食品可持续性的认识(Kamilaris等人,2019)。Handford等人(2014)指出,纳米技术提高了农业管理的精准度,使化肥和农药的使用更加有效,从而减少了农业浪费。数字设备提供的信息可以帮助农民减少农业化学品的使用(Viani等人,2016),提高他们对生产活动对自然资源和环境影响的认识(Vilas等人,2020),并改善农业活动的废弃物管理(Rejeb等人,2021)。因此,数字农业可能会减少农业对环境的影响,这对于改善良好农业规范(GAP)也具有重要意义

1.3 互联网的发展促进了电子商务的发展

在许多发展中国家,由于地理位置和交通条件限制,小规模农业生产者在销售农产品方面面临困难。发展中国家农村电子商务的出现和迅速扩张,为小农户克服市场准入壁垒提供了一种新方法(Li等人,2021)。互联网通信技术和电子设备(智能手机、笔记本电脑等)在农村地区的应用日益广泛。过去几年间,农村地区的电子商务普及率不断提高

农村电子商务符合农村产业转型升级的要求,是利用互联网和信息技术(ICT)获取更多利润的直接途径,并为农村经济振兴提供了新动力(Peng等人,2021)。

首先,电子商务使农民能够在线销售产品,减少中间环节并降低交易成本。几乎所有小规模农业生产者的交易成本都非常高(Poulton等人,2010)。因此,防止在线交易产品经过中间商可以有效降低交易成本。其次,电子商务有助于农村家庭改善信息不对称问题。随着市场信息更加透明,农民可以适当提高农产品的销售价格,并提高市场效率(Aker,2010)。第三,电子商务可以打破地理限制,使农民能够向全国各地的客户零售食品(Tang和Zhu,2020)。Yu和Cui(2019)还发现,电子商务的应用使家庭能够接触到许多以前无法接触到的客户。因此,电子商务的采用鼓励农民生产和分销更多适合在线零售的商品。

尽管电子商务打破了地理限制,并允许农村家庭向更大范围销售农产品,但这也意味着市场竞争加剧(Tang和Zhu,2020)。中国消费者的需求已从单纯获得足够食物转变为追求高质量产品。越来越多的消费者表现出更高的意愿购买绿色、无添加剂和无污染的产品。市场需求推动了供给侧结构性改革,这对改善中国的良好农业规范(GAP)显然具有重要意义重点论述)。

# 02

图片

互联网发展对绿色农业生产力的间接影响机制

图片

2.1 互联网发展,增加收入与绿色农业生产力提高

农村电子商务对农村居民收入的积极贡献已得到众多研究(Li等,2021;Peng等,2021)的证实。Li等(2021)发现,运用电子商务的群体收入显著高于未运用电子商务的群体。收入增长主要源于销售额的提升。Luo和Niu(2019)对80个淘宝村的农户数据进行了调查,其结果同样支持上述结论,即农村电子商务对农户收入具有显著的正向影响。中国经验明确表明,农村电子商务对农户收入具有有益影响。2020年,832个贫困县的网上零售额达到3014.5亿元人民币,年均增长26%。网上商户总数达到306.5万家,同比增长13.7%。

过去几十年来,刺激农村经济增长一直是中国政府关注的重点。增加收入是提高农村地区生活质量的基础,因此已成为农业生产者扩大生产规模、提升产品质量、提高农业生产率的重要动力。收入增加将有助于提高农民的消费水平。随着电子商务的发展,农业生产者在开展农业生产时将拥有更雄厚的资金实力和更广阔的消费平台,以购买和使用更好的材料或先进设备。投入水平的进一步提高将进一步改善产品质量、提高生产率、增加收入,形成良性循环,这对提升农业综合生产能力具有重要意义。

2.2 互联网发展,人力资本与绿色农业生产力提高

廖奥和Liu(2006)证明,农村人力资本在互联网及信息通信技术(ICT)的应用中至关重要。他们发现,较富裕国家通信技术对农业生产的回报率大约是较贫穷国家的两倍。人力资本的差异似乎是造成最贫穷国家信息通信技术生产率弹性较低的原因。尽管我们已知电子商务的兴起为农村经济发展带来了新机遇,但在许多发展中国家,电子商务的采用率仍然非常低教育水平低、对电子商务优势缺乏认识以及农村信息通信技术基础设施落后等因素,限制了电子商务在农村家庭中的应用。特别是,对在线业务及其功能缺乏了解,限制了农民采用电子商务并从中受益(阿里研究院,2017)。

一些近期研究表明,随着电子商务在中国农村的普及,农业生产者的人力资本也得到了提升(Fafchamps和Minten,2012;Chan,2015)。一般来说,农民在使用电子商务前需要接受培训。有能力的农民可以利用电子商务平台开设网店销售产品,其他农民也可以在实践后参与相关工作(Peng等,2021)。

农业推广服务是政府向农民传授信息、提供援助、推广新技术和新做法以及促进农业发展的重要工具(Anderson和Feder,2004)。过去,广播和电话等通信方式使得农业推广服务非常有限,阻碍了农村人力资本的发展。在信息时代背景下,信息来源的增加和通信设备的多样化使得这一计划得以更好地实施。此外,农民获取知识的难度大大降低。互联网在减少农村教育落后方面发挥了作用。进一步而言,知识水平的提高意味着农民可以应用更先进的农业生产理念和数字农业设备。这有利于提高农业生产率。

2.3 互联网发展,物流发展与绿色农业生产力提高

我们已知电子商务的应用能够带来巨大效益。得益于电子商务,各类产品得以在世界市场上流通。在中国农村,传统上在线销售的产品包括草药、水果和茶叶等农副产品。但除了这些产品外,我们还能找到服装、家具和书籍等加工后的非农产品(Tang和Zhu,2020;Zeng等,2019)。然而,需要注意的是,与电子商务相关的基础设施,包括物流、网络基础设施、道路建设等,是线上业务发展的关键支撑(Li等,2021)。在线产品的多样化离不开多种线下物流和配送方式的支持。在印度、巴西和越南等发展中国家,相对落后的设施阻碍了农村地区电子商务业务的发展(Jamaluddin,2013)。

随着农村电子商务规模的不断扩大,对物流的要求也越来越高。需要更高效的集散物流网络。中国农村地域辽阔,人口众多。快递往往需要运输数千公里,但成本却很低。因此,共享经济被视为更好地发展物流资源配置的一种极佳方式,尤其适用于中国农村地区(Yang等,2020)。为此,在乡村振兴计划中,中国政府强调建立共享物流网络的重要性,并鼓励物流公司之间的合作以提高效率。此外,中国政府发布的其他多项文件,如《城乡高效配送专项行动(2017-2020年)》,都将共享物流建设视为农村物流发展的主要要素。

此外,良好的物流基础是建设更完善的道路系统。2020年6月,中国最后一个不通公路的有机村实现了通车。“要想富,先修路。”这句每个中国人都耳熟能详的口号,正是农村经济建设的工作思路。在2013年至2017年的五年间,政府在农村公路建设上投资了4000亿元,修建了127万多公里的农村公路。覆盖了5800多个贫困地区,24个省的所有乡镇和行政村都实现了通车。

2.4 互联网发展,产业融合与绿色农业生产力提高

近年来,一些来自偏远贫困村庄的人通过售卖家乡特产或展示家乡文化,成为了网络红人(Peng等,2021)。他们在家乡产品的线上销售以及家乡文化和自然风光的推广方面提供了重要帮助,这也助力了家乡旅游业的发展。在数字经济时代,随着互联网等新兴技术的不断发展,农村旅游业正日益走向智能化和数字化。

国家发展和改革委员会宣布,将大力推广“互联网 +”创新模式。利用互联网发展农村旅游等具有巨大就业潜力且社会急需的服务领域。

“互联网 +  农村旅游”主要依托互联网信息平台,整合分散的农村旅游资源,加强线上推广和数字化赋能,推动农村旅游领域的多元化创新创业。将休闲、娱乐和文化创意与农村旅游、民俗文化和现代农业紧密结合。在积极发展农村旅游新模式的同时,也促进了现代农业的发展。目前,中国大部分农村旅游项目都让游客能够体验到水果和蔬菜采摘、采茶、骑马等独特活动。一方面,这种体验拉近了游客与农村生产的距离;另一方面,也让消费者能够品尝到当地高品质的农产品。旅游业的发展也促进了农业的发展。


图片

方法和数据

图片

图片

# 01

图片

绿色农业生产力指标及其分解

图片

经济活动通常具有负外部性,在生产过程中会产生污染。近年来,相关研究愈发关注环境保护和绿色可持续发展。参数估计和非参数估计可用于衡量构建环境生产率指数的距离函数,以进行宏观或微观绩效分析。

本文采用非参数的DEA(数据包络分析)模型和方向性距离函数来评估中国的绿色全要素生产率(Green Aggregate  Productivity,简称GAP)。该框架被广泛应用于评估宏观层面的效率变化和生产率增长(Rath和Akram,2017;Shen等人,2021)。

本文将非期望产出纳入生产过程。弱可处置性公理(Shephard,1970;Shephard和Fare,1974)以及零联合性(Fare和Grosskopf,2004)常用于关联良好产出和不良产出,允许两种产出按比例减少。然而,当非期望排放物易于控制时,这种方法并不适用。例如,二氧化硫排放物可以完全溶于水。随后,Murty等人(2012)提出了一种基于强可处置性和高成本可处置性假设的副产品模型,该模型将污染生成过程分离出来,并允许对污染进行完全处理。这种方法假设存在两种独立的子技术,一种子技术(T1)用于模拟由所有投入产生的理想产出,另一种子技术(T2)用于分析非期望产出和产生污染的投入。

假设有K个决策单元(DMU)被评估,生产可能性集合包含Q + P种产出和C +  D种投入。就产出而言,有Q种期望产出和P种非期望产出(或副产品)。就投入而言,C种清洁(不产生污染)投入仅对期望产出有贡献,而D种污染(产生污染)投入则对期望产出和非期望产出均有贡献。更具体地说,设xc∈ℝC+和xd∈ℝD+分别为清洁投入和污染投入的向量;设y∈ℝQ+和z∈ℝP+分别为期望产出和非期望产出的向量。那么,副产品技术可定义为(Murty等人,2012):

图片.png

  其中,f(·)和g(·)分别是满足强可处置性高成本可处置性的连续可微函数。Chambers等人(1996a)引入了方向性距离函数(DDF)来评估决策单元(DMU)的效率。更准确地说,方向性距离函数衡量了被评估的决策单元与其基准或最佳表现(生产前沿面)之间的差距。一个包含投入、良好产出和不良产出的一般方向性距离函数框架可以定义为:

图片.png

其中,δ 是衡量潜在投入减少量、潜在期望产出增加量或潜在非期望产出减少量的无效率得分。(gx, gy, gz) 是一个非负方向向量,通常由被评估决策单元(省份)的投入/产出数量水平来定义。在本文中,我们采用面向产出的方向性距离函数(DDF),因此上述基本公式可相应修改为:

图片.png

距离函数的组合可用于定义生产率指数。例如,Malmquist指数是一种基于比率构建的衡量指标,由Shephard距离函数构成;Luenberger指标则是一种基于差异的生产率衡量方法,采用方向性距离函数(DDF)。在本文中,我们采用面向产出的Luenberger生产率指标(LPI)来衡量t时期和t+1时期的绿色增长(Chambers等人,1996b;Chambers,2002),具体如下:

图片.png

根据Chambers等人(1996b)的研究,Luenberger指标可分解为两个组成部分:效率变化(EC)和技术进步(TP)。效率变化(EC),通常被称为追赶效应(技术无效率的降低),衡量的是被评估决策单元(DMU)与生产前沿面之间差距随时间的变化。这意味着,如果投入能够得到更有效的利用,那么该部分是可以得到改善的。技术进步(TP)则表示由于技术创新或组织变革导致的从t时期到t  +  1时期生产前沿面的变化。其测量可以通过使用与两个时期相关的各种数据组合以及参考技术来估计四个不同的距离函数值而实现。生产率增长的分解可概括如下:

图片.png

以往所有方向性距离函数均是基于产出导向进行定义,并采用非参数方法进行测量。本文采用Balezentis等人(2021)提出的具有污染投入单一影子价格(对偶价格)的模型。测量方向性距离函数的详细线性规划模型见附录1。

图片.png

# 02

图片

估计策略

图片

2.1 面板数据模型

为衡量互联网发展水平,部分研究收集了诸如网民数量和互联网普及率等不同变量(Lum,2009;Jiang,2010)。然而,包括上述指标在内的一些单一维度指标,无法反映中国互联网发展的整体情况。因此,有必要构建一个综合的多维度指标来解决这一问题。基于现有的且可获取的官方统计指标和数据,Wu等人(2021)从互联网设施与设备、互联网产业发展、互联网商业应用、互联网发展环境四个方面对中国各省份的互联网发展情况进行了分析,并构建了一个综合指标来代表互联网发展水平。我们将这一综合指标作为核心解释变量,并选取各省份的农业金融投入(Chen等人,2021;Hu等人,2021;Xu和Lin,2017)、农业受灾率(Fang等人,2021)以及工业化水平(Fang等人,2021;Hu等人,2021)作为控制变量

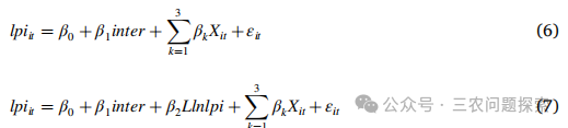
根据上述变量,我们将基本模型设定为以下公式(6)。在选择计量经济学方法时,我们首先采用混合普通最小二乘法(OLS)对未添加任何其他条件的面板数据进行处理。然后,考虑到不同省份的异质性和变量本身的时间趋势,我们采用了固定效应(FE)模型。同时固定了省份和时间。此外,鉴于随机误差项可能导致内生性问题,并使实证检验产生偏差和不一致,我们采用工具变量模型和二阶段最小二乘法(2SLS)来解决这一问题。最后,考虑到农业生产的滞后性,我们在上述模型中加入了LPI的一阶滞后项,并使用系统广义矩估计(system-GMM)来处理动态面板模型。

基本模型和动态面板模型如下:

图片.png

其中,i 表示省份,t 表示年份,lpi 表示 LPI(某具体指标或指数,此处保留英文),L.lpi 表示滞后一期的 lpi,inter 表示互联网发展水平,X 表示一系列控制变量,εit 表示随机误差项。

2.2 机制检验

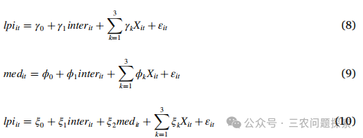
在第三节中,我们从收入增加、人力资本、物流发展以及产业融合这四个方面分析了互联网发展是否影响LPI(某具体指标或指数,此处保留英文)。为检验互联网能否通过农民收入、人力资本、物流发展以及产业融合这四个途径来提升省级LPI,依据Wu等人(2021)的研究,构建中介效应模型如下:

图片.png

其中,medit为中介变量。公式(8)、公式(9)以及公式(10)共同构建了中介效应模型。

2.3 非线性关系的验证

在上述章节中,我们分析了互联网发展通过收入增加、人力资本、物流发展以及产业融合对LPI(某具体指标或指数,此处保留英文)增长的影响程度。然而,过去十年间,中国的互联网发展,尤其是农村地区的互联网发展,并非一蹴而就。其对LPI的影响可能存在非线性效应。为此,我们选取了与农村互联网发展相关的三个指,即农村邮政投递路线、快递业务量以及互联网端口数量,作为门槛变量来检验这种非线性关系。Hansen(1999)引入了门槛面板模型来实证检验这种非线性关系,其定义如下:

图片.png

其中,δit为门槛变量;ω为待估计的门槛值;I(⋅)为指示函数。

# 3

图片

数据描述

图片

数据包含两部分,且两部分数据均来自中国30个省份的面板数据。第一部分数据采用1997年至2019年的数据来计算LPI(某具体指标或指数,此处保留英文);第二部分数据采用2007年至2017年的数据来考察互联网发展对LPI增长的影响。除Wu等人(2021)提供的综合互联网发展数据外,其他数据均来源于《中国统计年鉴》和国家统计局(CNBS)官方网站。鉴于数据可得性,本文未纳入西藏、香港、澳门和台湾地区的数据。在第二部分的计算中,为避免价格波动的影响,各省份与价格相关的数据均以2007年为基期进行了平减处理。为消除异方差性的影响,所有数据均采用对数形式进行处理。综上所述,各变量的描述性统计结果如表1所示。



图片

结论和政策建议

图片

图片

以绿色生产率增长作为因变量,基于2007年至2017年中国30个省份的面板数据,本文研究了互联网发展对中国绿色农业增长的影响。实证分析从中介效应和门槛效应两个方面展开。本文证明,信息与通信技术(ICT)已成为中国农村地区绿色增长的主要驱动力。主要结论如下:

首先,在过去二十年中,中国的LPI(某具体指标或指数,此处保留英文)经历了“快速-放缓-快速”的增长过程。总体而言,与过去相比,LPI有了更大程度的提升。此外,分解后的结果表明,技术进步(TP)是LPI增长的主要来源,而效率变化(EC)甚至产生了负面影响。

其次,中国ICT的发展对LPI的增长产生了积极影响。并且,这一结果在我们所进行的各种测试中均表现出稳健性。此外,互联网的发展可以通过促进收入增加、人力资本提升、非农产业发展以及物流基础建设来间接影响LPI

最后,门槛回归结果证明,互联网发展对LPI的影响是非线性的

为了更好地理解互联网发展在促进LPI增长和农村经济发展中的作用,本文提出以下政策建议:

首先,应提高对促进农业绿色发展的关注和重视程度。LPI是衡量农业和环境绩效的准确指标。目前LPI的表现不佳,有必要从多个角度提高各部门对农业绿色发展的关注。提高农业生产者的绿色生产意识,在制度层面构建绿色生产理念,并加速绿色生产技术的创新与应用。

其次,应提高资源利用效率并优化资源配置。从计算结果来看,EC对LPI增长的贡献较低甚至为负,这表明资源利用水平较低。一方面,有必要提高全国范围内的资源利用效率。在确保粮食生产的前提下,应尽可能降低投入水平。另一方面,中国地域辽阔,各地区要素禀赋差异较大。地区间资源分配的不平衡和不协调需要得到改善。

第三,应提高农村劳动力质量以满足新型经济模式的需求。鉴于农业劳动力质量有待提高的问题,一方面,应通过改进培训方法和强度以及长期监测和评估来提高培训质量。另一方面,鉴于这一问题无法一蹴而就地解决,且存在兼职和农业老龄化现象,农业社会化服务体系仍然发挥着重要作用。虽然提高工人技能水平看似至关重要,但也有必要进一步完善农业社会化服务体系以应对当前形势。

第四,应根据各地区农村产业的特点和发展情况,促进产业融合发展。将农业资源与第二、三产业相融合,在农业生产、产品加工、休闲旅游等方面发展特色新型产业模式。合理利用农村地区的各种资源,创新产业模式以满足新的社会和经济发展要求,并实现不同产业之间的优势互补和共赢合作。创造更多收入以促进农村LPI的增长。

最后,基于以上所有建议,政府需要进一步完善政策支持体系。由于绿色生产的要求与过去传统农业的行为和目标不同,政府更有必要积极引导和支持这一转型过程。有必要为农业生产者提供各种绿色生产补贴,并鼓励农民积极节约资源和减少污染。加强监管并逐步提高农产品的质量要求。同时,要意识到山区面临的困难并改善道路和通信等基础设施。通过促进产业融合,主要关注农业发展和农村经济振兴。


图片

图表剖析

图片

图片




# 01

图片

图片

图片.png

图1. 机制分析


图片.png

图2. 累积绿色生产率增长及其分解。

图片.png

图3. 阈值变量的阈值

# 02

图片

图片

表1.描述性统计

图片.png

表2.30省结果

图片.png

表3.面板回归结果

图片.png

表4.弱工具变量检验结果

图片.png

表5.机制检验结果

图片.png

表6.阈值模型检验

图片.png

表7.阈值和置信区间

图片.png

表8.阈值面板估计结果

图片.png

表9.稳健性检验结果

图片.png

文献来源:Shen, Z., Wang, S., Boussemart, J. P., & Hao, Y. (2022). Digital transition and green growth in Chinese agriculture. Technological Forecasting and Social Change, 181, 121742.

相关推荐