ISO新批准生物农药通用名Galquin(植物源)和Vadescana(RNA)

作者:世界农化网 2024/8/16 9:09:38
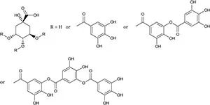
ISO近日批准了两种新的农药通用名Galquin和Vadescana。GalquinSilvateam S.p.A. 的一种兼具杀菌和杀线虫功效的植物提取物的新通用名Galquin,已获准纳入ISO 1750。该物质是从豆科植物Tara spinosa的豆荚中提取的酯类混合物。其成分是没食子酸结合奎尼酸的酯类。其化学文摘社登录号为2644770-30-7。Vadescana

ISO近日批准了两种新的农药通用名Galquin和Vadescana。

Galquin

图片

Silvateam S.p.A. 的一种兼具杀菌和杀线虫功效的植物提取物的新通用名Galquin,已获准纳入ISO 1750。该物质是从豆科植物 Tara spinosa 的豆荚中提取的酯类混合物。其成分是没食子酸结合奎尼酸的酯类。其化学文摘社登录号为2644770-30-7。

Vadescana

图片

GreenLight Biosciences 为一种用于防控瓦螨的RNAi杀螨剂制定了新的通用名称Vadescana,该名称将纳入 ISO 1750。该成分是一种含有 372 个碱基对的大分子,因此其结构呈现为嘌呤和嘧啶的碱基序列。这一 RNA 为瓦螨钙调蛋白基因特异性双链干扰 EP15。其化学文摘社登录号为2643947-26-4。

尚未收到对名称″galquin″和″vadescana″的反对意见,因此这些名称已获得批准,并将纳入2025年3月更新的XML数据集,该数据集可供所有购买 ISO 1750:2023 的人使用。
相关推荐