农药智能化控制释放研究进展

作者:《现代农药》 袁会珠、闫晓静、陈淑宁、杨代斌 2024/8/5 9:35:57
在现代农业生产中,农药在保障粮食和重要农产品生产中起着保驾护航的作用。根据FAO统计数据,2020年全球农药使用量为266.1万t,农药使用可以挽回约37%以上的自然损失。因此,农药是现代农业生产不可或缺的投入品。现有的农药使用方法如农药喷雾,往往要求对作业面实施均匀覆盖。这样的结果就是使用到作业面上的农药暴露于光、热、微生物等降解因子,同时也使天敌等非靶标生物暴露于农药的毒害作用,造成农田天敌种
在现代农业生产中,农药在保障粮食和重要农产品生产中起着保驾护航的作用。根据FAO统计数据,2020年全球农药使用量为266.1万t,农药使用可以挽回约37%以上的自然损失。因此,农药是现代农业生产不可或缺的投入品。现有的农药使用方法如农药喷雾,往往要求对作业面实施均匀覆盖。这样的结果就是使用到作业面上的农药暴露于光、热、微生物等降解因子,同时也使天敌等非靶标生物暴露于农药的毒害作用,造成农田天敌种群和农田生态环境被破坏,生物多样性降低以及环境污染等一系列问题。基于此,如何减少农药使用量以及减少农药对非靶标生物的影响一直是农药工作者所面临的挑战。理想的农药使用方式是目标靶标有害生物暴露于农药,而非靶标害虫不暴露于农药,同时还可以有效减少使用到环境中的农药活性成分与光、热、微生物等降解因子的直接接触。在这一目标驱动下,农药加工和使用技术也在朝着这个目标发展和进步,农药智能控制释放技术是典型例子之一。

农药智能控制释放是在常规控制释放系统基础上发展而来,这些通过化学或物理手段获得的微小颗粒,如果具有核-壳结构的囊状结构,则定义为微囊(图1);如果颗粒是实心,且农药活性成分均匀分散在整个粒子中,则定义为微球(图1)。对于智能化控制释放体系,一种微球的变化形式是在纳米微球表面再封盖一层特殊的盖帽层,该盖帽层往往通过具有控制释放功能的高分子材料与纳米微球表面相连。到目前为止,绝大多数农药智能释放体系都制备成微囊或微球的形式。常规微囊或微球施用到环境中以后即处于持续释放状态,而智能控制释放微囊或微球大多制备成纳米颗粒,其中的农药活性成分只在满足预先设定的条件下释放,这些预先设定的条件包括光、热、pH、生物酶等。当一个智能释放系统同时含有多个响应因子时,根据现有报道,当环境因子满足人们预设的一个触发条件时,即可触发控制释放颗粒的门控开关或颗粒逐渐解体而释放其中负载的农药活性成分。此外,水凝胶和胶束也是智能化农药控制释放体系的两种形式。在当前纳米农药为热点的趋势下,纳米水凝胶和纳米胶束是水凝胶和胶束智能释放体系最主要的形式(图1)。如将2,4,6-三(4-醛基苯氧基)-1,3,5-三嗪与壳聚糖枝接所得的新化合物可以在水中形成纳米水凝胶,该水凝胶对热和pH具有双重响应;而通过羧甲基将壳聚糖和光敏性邻硝基苄相枝接所形成的新化合物,可以在水溶液中通过自组装形成具有核-壳结构的胶束,且对活性成分的控制释放具有光敏特征。这些智能控制释放系统往往构思巧妙,比如根据病原菌侵入植物过程中释放纤维素酶这一特性制备纤维素包裹的杀菌剂纳米颗粒,在植物体内仅当有病原菌侵入时才会释放出杀菌剂。这些构思巧妙的农药智能释放药剂虽然没有在实际生产中大规模应用,但为智能农药缓释制剂的发展奠定了非常良好的发展基础。

图片
 图1  智能农药控制释放体系存在的4种形式

农药智能控制释放是农药制剂学当前研究的热点之一,因此,本文对智能释放系统常用响应因子光、热、pH及生物酶进行介绍,综述了利用这些响应因子所建立的单响应因子、双响应因子及多重响应因子智能控制释放系统及特点,为未来农药智能化研究提供借鉴。

01
单响应因子智能控制释放

单响应因子智能控制释放是指控制释放体系仅响应一个外界环境因子而打开释放开关,从而释放出农药活性成分。到目前为止,农药智能控制释放系统所利用的环境响应因子有4种,分别为生物酶、pH值、温度(热)和光。另一种比较特殊的是氧化还原触发的智能释放体系。在农药领域中,氧化还原触发的智能释放体系一般所涉及的是控制释放体系中功能材料所含有的二硫键(-S-S-)在生物体内还原型谷胱甘肽作用下发生断裂,因而这一类智能控制释放体系本质上是由生物体内的生物酶所触发,本文不把这一类单独列出。

1.1  酶促降解型控制释放

酶促降解型控制释放是指控制释放体系中的壁材或基质在生物酶的作用下发生分解作用而释放出农药活性成分。这些生物酶包括木质素酶、果胶酶、羧酸酯酶、蛋白酶以及纤维素酶等。酶促降解型控制释放往往具有很强的选择性,原因在于生物酶本身对底物具有选择性,而这些生物酶又仅在一定的生物活动或作用场所才被分泌出来。典型例子是病原菌在侵染植物的过程中会分泌一定数量的酶降解植物体来获得营养,如木质素降解酶等。Fischer等充分利用病原菌的这一特性,以木质素为基质,以吡唑醚菌酯为有效成分,采用微乳化-溶剂挥发法制备纳米微球,将制备的纳米微球通过树干注射的方式施用到葡萄上,可以有效防治葡萄藤埃斯卡病,持效期可以达到5年。葡萄藤埃斯卡病的防治是一个世界性难题,该病是由多种真菌侵染葡萄树干造成,侵染的真菌生活在葡萄藤维管束。经树干注射的吡唑醚菌酯/木质素纳米微球进入葡萄藤内部后正常情况下不释放吡唑醚菌酯,当有埃斯卡病病原真菌侵染时,其分泌的木质素降解酶降解木质素,使微球内的吡唑醚菌酯被释放(图2),由此达到向病原菌活动部位智能靶向施药的效果。

具有胃毒作用的杀虫剂,被昆虫取食后才发挥作用,研究者有利用昆虫肠道消化酶设计智能释放的例子。昆虫肠道中含有一定量的蛋白酶(如胰蛋白酶)可以水解食物中的蛋白,利用这一特性,Monteiro等制备了以玉米醇溶蛋白为基质,以柠檬烯和香芹酚为活性成分的纳米粒子,相比之下该纳米粒子在草地贪夜蛾(Spodoptera frugiperda)中肠提取液和胰蛋白酶培养液中对活性成分的释放远远高于空白对照。

图片
注:图A中绿色线表示病原菌分解基质正常生长,橙色线表示纳米微球在木质素降解酶作用下释放活性成分防控病原菌;图B为在病原菌菌丝生长部位纳米微球释放活性成分防控病原菌。
图2  吡唑醚菌酯纳米微球靶向释放机制

中国农业大学的曹永松团队将甲氨基阿维菌素苯甲酸盐(简称“甲维盐”)包覆在多孔二氧化硅微球中,然后通过环氧氯丙烷将羧甲基纤维素键合在多孔二氧化硅微球表面,该微球可以有效保护微球内部甲维盐免受紫外线导致的光解和热分解作用。在pH=7.0,温度为25℃的甲醇-水(5∶95)混合液中,该微囊30 h内对甲维盐的释放小于10%,但纤维素酶作用1 h可以使微球释放出28.7%的甲维盐,30 h甲维盐释放率70%左右。与此类似,Kaziem等将介孔二氧化硅表面用N-苯基-3-氨基丙基三甲氧基硅烷处理,吸附杀虫剂氯虫苯甲酰胺后,利用α-环糊精(α-CD)的包合作用进行封盖,使氯虫苯甲酰胺完全被包覆在微孔中不能与外界接触,但该封闭的介孔二氧化硅微球可以在α-淀粉酶作用下水解表面的α-环糊精,从而使介孔中的氯虫苯甲酰胺被释放。

1.2  pH响应型控制释放

pH敏感型控制释放是指控制系统含有对pH值变化敏感的材料,当环境中的pH值满足控制系统中的pH值要求时,系统壁材或基质的水溶性发生改变或降解,从而释放农药活性成分。pH敏感材料因pH值变化而水溶性发生改变的原理在于其分子中一般含有质子(H)受体或供体,H受体与H结合或H供体失去H,会使相应基团发生离子化,从而增加pH敏感材料的水溶性。而当pH敏感材料因pH值变化而降解时,会发生溶蚀作用,从而使有效成分得以释放。根据智能释放系统响应环境中pH值变化时的酸碱性,可以将这类控制释放体系中的pH敏感材料分为三类。

(1)在酸性条件下发生响应

功能材料在酸性条件下发生响应分两种情况。第一种情况是pH敏感材料分子中的相关功能团与酸性环境中的H结合,与H结合后的相关分子溶解,从而释放农药活性成分。典型酸性敏感材料为壳聚糖,壳聚糖分子长链中含有大量氨基(-NH2),在碱性条件下壳聚糖为水不溶性高分子,但在酸性条件下壳聚糖分子长链中含有的氨基与H结合,可以使其溶解性增加。

第二种情况是在酸性条件下功能材料直接发生降解,典型例子是金属有机骨架ZIF-8(沸石咪唑酯骨架材料),ZIF-8是由锌离子(Zn2+)与2-甲基咪唑(2-MiM)配位而成的一类金属有机骨架,表现出良好的生物相容性和酸性环境敏感性,在一般正常生理条件下保持稳定,而在酸性条件下解体,是药物学中药物运输和缓释的理想载体之一。在农药学领域中也有人利用ZIF-8在酸性条件下解体的特性制备农药智能控释体系。例如,马铃薯青枯病是由茄科雷尔氏菌(Ralstonia solanacearum)引起,在酸性土壤中发病严重。为了充分利用马铃薯青枯病在酸性土壤中发病严重这一发病特征,分别以ZnO纳米粒子和ZIF-8为内核和外壳,制备负载黄连素(berberine,Ber)的纳米粒子Ber@ZnO-ZIF-8,Ber@ZnO-Z-8在酸性条件下首先发生ZIF-8外壳降解,释放出黄连素,然后ZnO内核在酸性条件下进一步降解释放出Zn2+,释放出的Zn2+对黄连素杀菌活性具有增效作用,以EC50计算,Ber@ZnO-Z相比黄连素活性增加4.2倍。

(2)对碱性条件敏感

功能材料在碱性条件下发生响应也分两种情况。第一种情况是pH敏感材料分子中的相关功能团失去H,失去H后的壁材溶胀或溶解,从而释放农药活性成分。这一类pH敏感材料分子中一般含有羧基(-COOH)、磺酸基(-SO3H)或磷酸基(-PO3H2),碱性条件下失去H后发生溶胀和溶解。这类pH敏感材料用得比较多的是羧甲基纤维素和羧甲基葡聚糖以及它们的衍生物。例如将羧甲基纤维素钠溶于水,与氧化锌悬浮液混合后滴加到FeCl3水溶液中,羧甲基纤维素与Fe3+交联形成微囊。该微囊在pH为7.4时,吸水率比pH为6.8和1.2更大,且在pH为6.8时的释放率高于pH为1.2。

第二种情况是功能材料在碱性条件下发生降解。这类控制释放系统中常用的功能材料是聚乳酸[poly(lacticacid),PLA]。PLA是以乳酸为主要原料聚合得到的聚酯类聚合物,因其环境和生物相容性好而广受关注。碱性条件下,PLA在水中易水解且水解产生的羧基可以被有效中和,从而有利于PLA降解。例如康奈尔大学学者Alan Taylor等将莠去津包裹在以PLA和微晶纤维素混合物为壁材的微囊中,用该微囊处理播种番茄种子的土壤,在播种后21 d用pH为7.5缓冲液浇灌,10 d后pH为7.5缓冲液处理的幼苗死亡,但对照幼苗生长良好。

(3)仅在中性条件下稳定,对酸碱都敏感

例如,将聚甲基丙烯酸铁(PMAA/Fe3+)包裹于双模型介孔二氧化硅(bimodal mesoporous silica,BMMs)颗粒表面形成纳米载体BMMs-PMAA/Fe3+,然后将杀菌剂咪鲜胺(prochloraz)负载到纳米载体BMMs-PMAA/Fe3+上形成纳米颗粒Pro@BMMs-PMAA/Fe3+。包覆在BMMs表面的PMAA/Fe3+是通过Fe3+与PMMA上的羧基结合而形成,该结构在中性条件下是稳定的,但在酸性或碱性条件下都能发生解离,解离后释放出目标化合物咪鲜胺,发挥功效。

1.3  温度响应型控制释放

温度敏感材料对温度的响应有不同机制,根据不同响应机制可以分为3种情况:第一种情况是随温度变化,温度敏感材料在水中的疏水性能或膨胀性能发生变化,这一类温度敏感性材料往往用作微囊的囊壁材料;第二种情况是随温度变化,材料从固体变为液体,这一类温度敏感性材料往往用作微囊的囊芯材料,如正十六烷和二甲亚砜的熔点均在18℃左右,随温度上升从固体变成液体,有利于活性成分的溶出;第三种情况是随温度上升,温度敏感物质发生分解,这类温度敏感性材料也往往用作囊芯材料,如碳酸氢铵。

(1)温度变化引起功能材料膨胀性能或水溶性发生改变

很多有机化合物的膨胀性能和水溶性都受温度影响。在农药智能释放体系中,温度敏感性材料最常用的是聚(N-异丙基丙烯酰胺)[poly(N-isopropylacrylamide),PNIPAM],PNIPAM由于其大分子侧链上同时具有亲水性的酰胺基—CONH和疏水性的异丙基—CH(CH3)2,线型的PNIPAM水溶液及交联后的PNIPAM水凝胶呈现出温度敏感特性。常温下,线型的PNIPAM溶于水,形成均匀的水溶液;当温度逐渐升高至其溶液临界温度下限值(lower critical solution temperature,LCST)时,溶液发生相分离。交联的PNIPAM不溶于水,但在室温下溶胀,当温度逐渐升高至相变点时,其膨胀性能显著下降,体积发生皱缩而析出水分,其所包覆的农药有效成分也随之得以释放(图3)。PNIPAM的LCST与人的体温相近,约32℃,但通过与亲水性或疏水性单体共聚也可以升高或降低PNIPAM类聚合物的LCST。例如,王宁等以N-异丙基丙烯酰胺和丙烯酸丁酯的共聚物为壁材,采用乳液聚合法制备了温度响应型吡唑醚菌酯微囊,该微囊呈球形,平均粒径为1.04μm,包封率为78.3%,载药量为15.7%,低临界溶解温度(LCST)为28.2℃。当环境温度高于28.2℃时,能够快速释放吡唑醚菌酯;而低于该温度时,其释放行为受到抑制,由此能将吡唑醚菌酯对斑马鱼的毒性降低90倍以上,从而显著提高吡唑醚菌酯对水生生物的安全性。

图片
图3  交联的PNIPAM在水溶液中加热至温度(T)高于临界温度下限值(LCST)时析出农药活性成分

(2)温度变化引起囊芯材料相变

在农药智能控制系统中,对于温度变化引起相变的材料,一般是将农药活性成分与相变材料一起包覆于微囊中形成囊芯,当温度变化时囊芯发生相变,囊芯中的农药活性成分随着相变材料一起被释放出来。如小菜蛾(Plutella xylostella)作为一种严重为害十字花科植物的害虫,其生长发育受温度影响较大,在18℃以下时,其幼虫生长发育水平显著降低。根据这一特性制备以毒死蜱为杀虫成分的温度敏感型微囊,该微囊以正十六烷和毒死蜱为囊芯,囊壁是以异佛尔酮二异氰酸酯和纤维素反应生成,正十六烷的熔点为18.17℃。测定结果显示,在15~35℃范围内,微囊对毒死蜱的释放随着温度的增加而增加;生物测定结果显示,毒死蜱微囊对小菜蛾的防治效果也随环境温度的上升而增加。

(3)温度敏感物质受热分解

温度敏感物质受热分解的情况一般适用于微囊。受热分解释放型微囊是指在一定温度下微囊中的部分材料受热分解后形成微孔,囊芯物质从新形成的微孔中释放。碳酸氢铵是典型的受热分解物质。中国科学院吴正岩团队以凹凸棒土为吸附材料将草甘膦吸附,吸附草甘膦的微粒与生物炭混合,再用硅油和乙基纤维素包裹,形成的微囊以碳酸氢铵为温度敏感性材料,受热分解形成的CO2和NH3逸出时形成微孔,由此形成的微孔导致草甘膦释放。此外,该团队也成功制备凹凸棒土-碳酸氢铵-草甘膦为囊芯,以氨基硅油和聚乙烯醇为壁材的微囊,也在受热条件下因碳酸氢铵分解释放CO2和NH3而释放草甘膦。另一例子是在以交联明胶为壁材的微囊中,碳酸氢铵和2,4-滴共同存在于囊芯中,明胶受热,溶解度增加,可使微囊的通透性增加,碳酸氢铵受热分解释放的CO2和NH3,因而在受热条件下可导致囊芯中的2,4-滴释放。

1.4  光敏性控制释放

应用于农药智能缓释领域的光敏剂在光照条件(如紫外、近红外)下发生化学反应或将光能转变为热能,从而使目标化合物从缓释体系中释放。如果是通过光敏剂发生化学反应进行控制释放,一般将光敏剂通过化学作用与农药活性成分枝接在一起形成新化合物,该新化合物遇光分解,从而释放出活性成分,如将3-硝基-4-溴甲基苯甲酸(3-nitro-4-bromomethylbenzoic acid,NBA)与聚乙二醇[poly(ethylene glycol),PEG]通过酯键连接形成化合物NBA-PEG,然后再将2,4-滴与NBA-PEG枝接,最终得到的新化合物2,4-滴-NBA-PEG,同时含有光敏基团邻硝基苄和2,4-滴,又因为2,4-滴-NBA-PEG中含有聚乙二醇基,可以在水中形成具有核壳结构的胶束。2,4-滴-NBA-PEG在紫外光照射条件下发生裂解,释放出2,4-滴。利用光敏剂在光照条件下的光敏致热效应,即将光敏性物质嵌入在微囊的囊芯或囊壁材料中,吸收某一波段的光之后,利用光热效应令微囊温度升高,从而调控农药活性成分释放。应用于农药智能缓释领域具有光敏致热效应的光敏剂既有有机光敏剂,也有无机光敏剂。具有光敏致热效应的有机光敏剂包括香豆素、邻硝基苄、7-硝基吲哚啉、聚吡咯等及其衍生物。党文文等以明胶-聚吡咯为光敏感复合体系构建多菌灵光敏复合水凝胶,该水凝胶利用聚吡咯吸收光能产热,体系温度升高导致明胶/聚吡咯水凝胶因溶胀性能降低而发生皱缩,温度越高水凝胶的溶胀性能越低,多菌灵释放越快。在有机光敏剂中受到关注的另一个光敏剂是聚多巴胺(polydopamine,PDA)。聚多巴胺是近红外吸收材料,其在生物体内能完全降解,细胞毒性小。据报道,聚多巴胺将光能转化为热能,热转换效能高达40%,而传统的金纳米粒子(纳米金)的光热转换效能才22%。聚多巴胺还有一个好处是其可由多巴胺在弱碱性条件下自聚而得。Xu等在聚多巴胺微球表面另覆盖一层PNIPAM形成PDA@PNIPAM纳米粒子,将其负载杀虫剂吡虫啉,当吸收近红外光后将光能转换为热能,PDA@PNIPAM纳米粒子表面的PNIPAM受热皱缩而释放出吡虫啉(图4)。

图片
 图4  PDA@PNIPAM纳米粒子的制备及吸光致热释放出吡虫啉

常用的具有光敏致热效应的无机光敏剂包括纳米金和纳米金刚石,其具有吸收光能产热作用。例如在吡虫啉微囊制备过程中加入纳米金刚石和前文述及的NIPAM,纳米金刚石吸收光能产热,体系温度升高导致NIPAM皱缩,释放出吡虫啉,从而赋予吡虫啉微囊光敏性能,实现微囊中吡虫啉的可控释放。

自爆型微囊是一类非常特殊的控制释放微囊。大多数情况下,活性成分包覆于微囊中,在使用环境中微囊对有效成分的释放是长时间逐渐释放,以延长活性的持效期。但有些情况下,活性成分的释放是快速的,属于自爆型微囊,将活性成分微囊化的目的在于降低活性成分对非靶标生物的毒性等。住友公司于2012年报道了吡丙醚聚氨酯自爆型微囊,该微囊在水中能保持微囊形态,但微囊四周水分完全蒸发后,微囊自动破裂,将囊芯中的吡丙醚快速释放。这种微囊适用于对水生生物毒性较高的活性成分,当这种微囊喷施于水稻田后,沉积于叶片表面的微囊在水分蒸发后囊壁破裂,快速释放出活性成分,防治水稻病虫害,而流失到水体中微囊则可以维持微囊形态,有效减少活性成分与水生生物的直接接触,从而降低活性成分对水生生物的直接毒性。理论研究表明,这种自爆型微囊在水分蒸发后破裂与否与囊壁的厚度和柔软性有关,即较薄的聚氨酯囊壁在水分蒸发后易破裂,软囊壁相比硬囊壁更易破裂,如相同条件下乙二醇与六亚甲基二异氰酸酯加成所得的聚氨酯囊壁比乙二醇与甲苯二异氰酸酯加成所得的聚氨酯囊壁更软,在水分蒸发后易破裂。

自爆型微囊最成功的例子是巴斯夫公司2015年上市吡唑醚菌酯自爆型微囊防治水稻稻瘟病。吡唑醚菌酯具有杀菌谱广和活性高的特点,但对水生生物毒性高。水稻叶面喷施吡唑醚菌酯自爆型微囊后,沉积在水稻叶面上的雾滴水分蒸发后,微囊囊壁破裂,有效成分迅速释放,有利于吡唑醚菌酯快速杀死病原真菌。而落入水中的微囊能保持稳定不破裂,提高了吡唑醚菌酯对水生生物的安全性。2017年,刘峰团队也报道了利用单宁酸与Fe3+结合形成微囊囊壁制备的吡唑醚菌酯微囊具有类似的自爆特性。

02
双响应因子智能控制释放

农作物生长的环境变化多样,单一响应因子控制的农药活性成分释放往往不能满足病虫草害防治的需求。因此,随着智能控制技术的发展,双因子响应触发的智能释放报道越来越多。一般情况下,双因子控制释放体系中的两个响应因子独立控制活性成分的释放,因而外界条件满足双因子控制释放体系中的一个响应条件即可打开释放开关。为了构建这些双因子控制释放体系,一种情况是将两种不同响应特性的功能材料混入控制释放体系中,另一种情况是通过分子枝接的方法将两种不同响应特性的功能基团枝接到同一个分子中。

在双响应因子智能控制释放体系中,响应因子生物酶、pH、光、温度4种两两组合构建不同的双响应因子智能控制释放体系,其组合方式见图5。到目前为止,这些两两组合构建的双响应因子智能农药控制释放体系均有文献报道,现分述如下。

图片
图5  响应因子生物酶、pH、光、温度4种两两组合构建不同的双响应因子智能控制释放体系

2.1  pH/生物酶双重响应控制释放

pH/生物酶双重响应控制释放体系中利用比较多的材料是羧甲基纤维素及其衍生物。羧甲基纤维素中的纤维素结构可以被自然界中的纤维素酶分解,而分子中的羧基在不同pH值条件下呈现不同状态。在碱性条件下,羧基失去质子呈现负离子状态,可以高度吸涨,而羧基在酸性条件下与质子结合,不易吸涨。羧甲基纤维素的钠盐是其通常存在状态,因其羧基呈现负电荷状态,不能负载带有负电荷基团的化合物如阿维菌素分子,因而往往对羧甲基纤维素进行枝接,使之具有更强或更广泛的负载能力。例如将二甲基二烯丙基胺枝接到羧甲基纤维素上,其所具有的阳离子可以吸附具有负电荷的农药分子。Liu等将二烯丙基二甲基胺枝接到羧甲基纤维素上制备阿维菌素纳米微球,该纳米微球对阿维菌素包覆率72.1%,可以在纤维素酶和pH值双重响应因素下释放阿维菌素。

2.2  生物酶/温度双重响应控制释放

这类智能释放体系中常用的功能材料母体是环糊精类化合物。如β-环糊精(β-CD)常用于包合农药分子,其可以被麦芽糖淀粉酶所分解,将热敏基团的单体与β-环糊精共聚可形成生物酶/温度双重响应共聚物。例如,将丙烯酸卡必酯[di(ethyleneglycol)ethyl ether acrylate,DEGA]和丙烯酸-2-羟基乙酯(2-hydroxyethyl acrylate,HEA)与β-CD共聚得到的星形共聚物具有热敏效应,在水溶液中可以自组装形成纳米胶束,包覆的农药和医药活性成分释放具有生物酶和温度双重响应。

2.3  生物酶/光双重响应控制释放

到目前为止,已报道的具有生物酶/光双重响应功能的农药智能释放体系相对较少。例如,偶氮苯及其衍生物具有在紫外光照下分子构象发生改变的特性。将偶氮苯-4-苯甲酸[4-(phenylazo)benzoic acid,PBA]分子通过酯键连接到聚乙二醇单甲醚[poly(ethyleneglycol) monomethyl ether]分子上形成具有两亲特征的mPEG-PBA,mPEG-PBA在水溶液中能自组装形成具有核壳结构的纳米胶束,该纳米胶束能包覆原卟啉Ⅸ(既具有抗肿瘤活性,也具有杀虫活性),所包覆的原卟啉Ⅸ在紫外光照射和羧酸酯酶作用下能被释放。

2.4  光/pH双重响应控制释放

将具有光响应功能和pH响应功能的两种功能材料同时引入到控制释放体系中可以赋予释放体系光/pH双重响应功能。例如,浙江大学赵金浩团队制备了光和pH双重响应的有机金属骨架智能控释纳米颗粒PD@ZIF-8。该纳米颗粒采用“一锅法”制得,分别以咪鲜胺和2,4-二硝基苯甲醛(2,4-dinitrobenzaldehyde,Da)为杀菌剂有效成分和光敏试剂,在紫外光照条件下2,4-二硝基苯甲醛能释放出H,而ZIF-8在酸性条件下发生降解释放出咪鲜胺(图6)。此外,如果没有紫外光照,ZIF-8本身在酸性条件下也能发生降解而释放出咪鲜胺。因此,PD@ZIF-8是对光照和pH双重响应的纳米粒子。

图片
图6  纳米颗粒PD@ZIF-8响应紫外(UV)光照或酸性条件下释放农药活性成分

2.5  光/温度双重响应控制释放

将含有光敏基团的单体与热敏基团的单体共聚可以得到光/温度双重响应的高分子材料。如赵义平等采用自由基共聚合方法,将丙烯酰胺基偶氮苯(AAAB)与N-异丙基丙烯酰胺(NIPAM)共聚,制备了一种具有温度和紫外光双重响应性的P(NIPAM-co-AAAB)共聚凝胶,该凝胶的LCST与共聚单体的配比(NIPAM/AAAB)有关,共聚配比为98∶2和95∶5的共聚凝胶的LCST分别为30~32℃和27~29℃。与此类似,将乙烯基己内酰胺(vinylcaprolactam,VCL)与N-羟甲基丙烯酰胺(N-hydroxymethyl acrylamide,NHMA)共聚得到的共聚凝胶P(VCL-co-NHMA)对紫外光和温度具有双重响应特性。

此外,利用具有吸光致热效应光敏材料加工的控制释放体系也可以制备光/温度双重响应控制释放体系。如图7,分别以CaCO3和多巴胺为模板和碳源合成中空的碳微球(hollow carbon microspheres,HCMs),再将吡虫啉负载到HCMs,然后用PEG和α-CD将负载有吡虫啉的HCMs封盖形成控释体系HCMs/IMI/PEG/α-CD。这种封盖作用是由于PEG的长链进入α-CD空腔后在HCMs表面形成凝胶层,凝胶层可以将吡虫啉封闭在HCMs。在光照条件下,控制释放体系中的多巴胺吸光致热,使PEG和α-CD形成的凝胶层遭到破坏,从而释放出吡虫啉。

图片
 图7  具有吸光致热效应的HCMs/IMI/PEG/α-CD控释体系负载和释放吡虫啉

2.6  温度/pH双重响应释放

温度/pH双重响应纳米粒子在肿瘤药物研究中应用特别广泛,原因在于肿瘤会引起发生部位温度升高和pH值降低,具有温度/pH双重响应的纳米肿瘤药物因而具有很强的靶向性。在医学领域中的温度/pH双重响应纳米粒子往往是将具有温度响应功能和pH响应功能的基团枝接到同一个分子中。农药学领域中也有类似的例子。例如,为了解决吡唑醚菌酯对光不稳定和水生生物毒性高的问题,黄啟良团队将甲基丙烯酸-2-(N,N-二甲基)胺基乙酯(2-dimethylaminoethylmethacrylate,DMAEMA)与壳聚糖(chitosan,CS)共聚形成CS-g-PDMAEMA,以CS-g-PDMAEMA为囊壁制备吡唑醚菌酯微囊,该微囊对吡唑醚菌酯的释放具有温度/pH双重响应效应,原因在于CS-g-PDMAEMA分子中含有的壳聚糖部分具有pH响应效应,而PDMAEMA部分同时具有温度和pH响应效应。

在农药学领域中,另一种具有温度/pH双重响应的控制释放体系是在控制释放体系中分别引入对温度和pH敏感性材料,从而赋予所制得控制体系对温度和pH双重敏感特性。例如陈福良团队采用喷雾造粒法制备负载呋虫胺的壳聚糖-明胶微球,该微球中的明胶具有温度响应效应,在10~30℃范围内,随着温度升高,呋虫胺的释放增加;微球中的壳聚糖具有pH响应效应,在pH为5~10范围内,随着pH值升高,呋虫胺的释放也增加。

2.7  双生物酶响应控制释放

双生物酶响应控制释放体系是指控制释放体系对农药活性成分的释放可以由两种不同的生物酶所触发。中国农业大学的曹永松团队在介孔纳米二氧化硅微球中引入双硫键,吸附阿维菌素后,在纳米微球表面再用功能化淀粉封盖。昆虫取食含有阿维菌素的纳米微球后,昆虫体内谷胱甘肽降解双硫键,α-淀粉酶水解淀粉,从而实现纳米微球对阿维菌素的智能释放。同样,该团队用双硫键将介孔纳米二氧化硅微囊与果胶相连,其中的微囊中事先负载春雷霉素,负载的春雷霉素可以在谷胱甘肽和果胶酶的作用下被释放。

03
多重响应因子智能控释释放

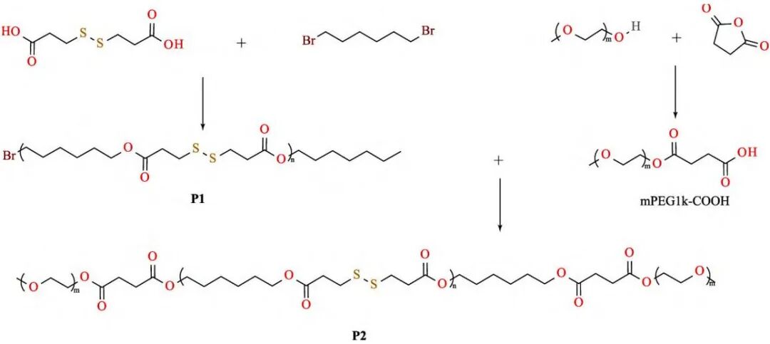
多重响应因子智能控制释放体系能够在更多环境因子触发下释放农药活性成分,从而使控制释放体系的使用范围更广。但赋予控制释放体系更多的触发条件必然增加产品的制备工艺难度,也相应增加其加工成本。有鉴于此,一个控制释放体系中具有三重或更多智能响应因子的例子不多。类似前述提到的双因子控制释放体系,当外界条件满足多重响应因子智能控释释放体系中的一个响应因子即可触发释放。Zhao等将羧甲基纤维素与胱胺(分子中含有双硫键)反应生成含有双硫键和胺基的纤维素衍生物,然后在十六烷存在的条件下与异佛尔酮二异氰酸酯反应生成包覆有阿维菌素的微囊,反应生产的囊壁材料中含有的双硫键、脲基和纤维素,囊芯中含有的十六烷(在20.1℃下能发生相变,从固态变为液态)均是释放响应因子。因为昆虫体内谷胱甘肽降解双硫键,脲酶可以降解脲基,纤维素酶可以降解纤维素。测试结果表明,制得的微囊在谷胱甘肽作用下,48 h内可以使大部分微囊的囊壁裂解,失去球形结构,从而释放被包覆的阿维菌素。Shan等共聚合成了如图8所示具有三重响应特性的高分子聚合物P2。聚合物P2在水溶液中可以自组装成纳米胶束,纳米胶束对阿维菌素的包覆率约32%,包覆的阿维菌素在贮存过程中对紫外光和高温表现稳定。聚合物P2中含有双硫键和酯键,昆虫体内的谷胱甘肽和羧酸酯酶可以分别降解双硫键和羧酸酯基。在此基础上,聚合物P2中的羧酸酯基也可以在碱性条件下水解断裂。另一个多重响应控制释放的例子是将Fe3O4用柱芳烃CP[5]A(carboxylatopillar[5]arene ammonium)修饰得到CP[5]A-Fe3O4,再将介孔二氧化硅纳米微球(HMSN)用CP[5]A-Fe3O4封盖得到HMSN/CP[5]A-Fe3O4控释体系,负载有赤霉酸GA3的控释体系GA3-HMSN/CP[5]A--Fe3O4可以在pH>5或pH<4、1,4-丁二胺和超声条件下释放出GA3。GA3-HMSN/CP[5]A--Fe3O4的封盖层中含有Fe3O4,可以在磁场作用下去除封盖层,也就是说可以在远程条件下通过施加外部磁场释放GA3。

图片
图8  具有三重响应(谷胱甘肽、羧酸酯酶、碱性)特性高分子聚合物P2的合成路线

04
总结与展望

农药智能化控制释放是农药制剂领域的研究热点之一。与传统农药或传统控制释放农药相比,农药智能化控制释放体系中的农药成分在使用环境中的生物酶、pH值、温度和光等满足特定的释放条件时才被释放,因此,可以有效减少农药使用量和减轻农药对非靶标生物的不利影响。农药智能控制释放体系已经从单响应因子控制释放发展为双响应因子和多重响应因子控制释放,使得农药智能控制释放具有更广阔的应用前景。但目前农药智能控制释放制剂大多停留在实验室阶段,产品市场化的例子非常少,巴斯夫公司吡唑醚菌酯自爆型微囊用于防治水稻稻瘟病是成功市场化的例子之一,也是农药智能释放领域中的里程碑事件。农药智能控制释放制剂产品市场化较少的可能原因是加工工艺复杂和加工成本过高。在未来的农药智能控制研究中,如果能进一步考虑加工工艺的产业化可能性和成本控制,将有更多农药智能化控制释放制剂产品市场化。农药智能控制释放制剂产品市场化例子非常少的另一个原因是,智能释放的触发条件在实验室条件下很容易满足,但在复杂多变的农业种植环境往往是不可控制的,生产企业或种植户很可能不能掌握满足智能释放的触发条件,这一不利条件还有待于农药制剂研究者加强教育力度和培训生产企业或种植户有关农药智能释放的知识,提升公众对智能农药的认可度和接受程度,以此推动农药智能化的进一步发展。
来源:《现代农药》
作者:袁会珠、闫晓静、陈淑宁、杨代斌(植物病虫害综合治理全国重点实验室,中国农业科学院植物保护研究所
相关推荐