双酰胺杀虫剂的新成员——四唑虫酰胺,未来推荐和这些产品进行复配
四唑虫酰胺(tetraniliprole)是由德国拜耳公司2007年合成的双酰胺类同时含四唑结构的新型杀虫剂,又名氰氟虫酰胺,与氯虫苯甲酰胺和溴氰虫酰胺类似,四唑虫酰胺也是作用于昆虫的鱼尼丁受体,但三氟甲基四唑结构的引入又使得四唑虫酰胺对部分害虫具有更优异的仿效,为鳞翅目、鞘翅目、双翅目和半翅目害虫的防治提供了新的轮换工具。其专利将于2029年届满。01产品简介中文名称:四唑虫酰胺英文名称:tet
四唑虫酰胺(tetraniliprole)是由德国拜耳公司2007年合成的双酰胺类同时含四唑结构的新型杀虫剂,又名氰氟虫酰胺,与氯虫苯甲酰胺和溴氰虫酰胺类似,四唑虫酰胺也是作用于昆虫的鱼尼丁受体,但三氟甲基四唑结构的引入又使得四唑虫酰胺对部分害虫具有更优异的仿效,为鳞翅目、鞘翅目、双翅目和半翅目害虫的防治提供了新的轮换工具。其专利将于2029年届满。
其他名称:国腾、氰氟虫酰胺、Vayego、Tetrino化学名称:1-(3-氯-2-吡啶基)-4′-氰基-2′-甲基-6′-甲基氨基甲酰基-3-{[5-(三氟甲基)-2H-四唑-2-基]甲基}-1H-吡唑-5-甲酰苯胺理化性质:四唑虫酰胺纯品为米黄色固体粉末,有丙酮气味,熔点226.9~229.6℃,相对密度(20℃):1.52 g/m L。在正常大气压下无沸点(230℃以上会发生分解)。蒸气压(20℃)3.2×10-6Pa,(25℃)4.6×10-6 Pa,油水分配系数Log Pow(20℃,pH=7)2.6,Henry定律常数(蒸馏水,pH=6.3)1.5×10-3 Pa·m3/mol。水中溶解度(蒸馏水,pH=6.31)1.2 mg/L,其他溶剂中溶解度(g/L,20℃):甲醇2.9,甲苯0.17,乙酸乙酯6.4,二氯甲烷5.3,丙酮21.8,正庚烷<0.001,二甲基亚砜>280。离解常数p Ka=9.1。在酸性、中性和碱性条件下的水溶液中均可水解:DT50=58 d(p H=7,20℃)。四唑虫酰胺是一种作用于昆虫鱼尼丁受体的肌肉毒剂。鱼尼丁受体是调控细胞内钙离子有序释放的选择性离子通道,即调控细胞内钙离子浓度平衡的四聚体通道蛋白。四唑虫酰胺与昆虫鱼尼丁受体发生高度亲和性结合后,Ca2+释放通道将持续开放,使得平滑肌和横纹肌细胞内贮存的钙离子释放失控和流失,导致肌肉细胞收缩功能瘫痪从而达到杀死昆虫的目的。
国际杀虫剂抗性行动委员会(IRAC)将其作用机制归为第28组。四唑虫酰胺高效、广谱,具有中等内吸活性,施药后在叶片内主要向上传导。以胃毒作用为主,兼具弱触杀活性(胃毒活性是触杀活性的10倍左右)。施用方式有叶面处理、土壤处理、种子处理均可,在15~35 ℃,四唑虫酰胺对小菜蛾、棉铃虫、甜菜夜蛾和二点委夜蛾的毒力作用为正温度系数,且在25~35 ℃的增幅最明显。应用:可用于大田作物水稻、玉米、甘蔗、马铃薯、大豆、以及果树、蔬菜、棉花、茶树、咖啡、烟草、油菜、橄榄、草坪、园艺植物等靶标害虫:可有效防治鳞翅目、鞘翅目、双翅目害虫,如卷叶蛾、潜叶蛾、食心虫、象甲和潜叶蝇。兼治蚜虫和蓟马等。可开发剂型:200 g/L四唑虫酰胺SC、0.4%四唑虫酰胺GR、43 g/L四唑虫酰胺SC、480 g/L四唑虫酰胺FS
中国农药信息网查询,目前国内仅原研企业拜耳登记90%四唑虫酰胺原药和200g/l的制剂登记。四唑虫酰胺继2020年上市以来,已在津巴布韦、韩国、柬埔寨、新西兰、加拿大、澳大利亚、美国、日本等许多国家登记和上市。部分登记情况如下:自2009年起,拜耳作物科学股份公司相继在西班牙、澳大利亚、日本、秘鲁、巴西、加拿大、阿根廷、印尼、哥伦比亚、印度、越南、中国台湾、美国等28个国家申请了相关专利。加拿大:申请号:CA20092947949;首次申请日期:2009年12月09日。中国专利:申请号:CN200980156969.5、CN201310371640.9;首次申请日期:2009年12月09日。欧洲专利:申请号:EP20120159076、EP20090764749;首次申请日期:2009年12月09日。PCT专利:申请号:WO2009EP08775;首次申请日期:2009年12月09日。美国专利:申请号:US20090654384;首次申请日期:2009年12月17日。专利名称:作为杀虫剂的被四唑取代的邻氨基苯甲酰胺。
中国专利:申请号:CN201180039525.0;申请日:2011年06月10日,专利名称:制备四唑取代的邻氨基苯甲酰胺衍生物的方法以及这些衍生物的新的晶体多形体。
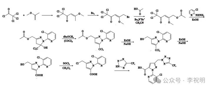
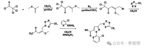
四唑虫酰胺的合成主要由关键中间体1-(3-氯-2-吡啶基)-3-{[5-(三氟甲基)-2H-四唑-2-基]甲基}-1H-吡唑-5-羧酸与2-氨基-5-氰基-N,3-二甲基苯甲酰胺在甲基磺酰氯的作用下反应得到四唑虫酰胺,其合成路线见图。其中主要涉及关键中间体1-(3-氯-2-吡啶基)-3-{[5-(三氟甲基)-2H-四唑-2-基]甲基}-1H-吡唑-5-羧酸的合成,合成路线主要有以下4条:路线1:以三氯乙酰氯和2-甲氧基丙烯为起始原料经脂肪碳酰化、溴化反应和酯化反应得到5,5,5-三氯-2-甲氧基-4-氧戊-2-烯-1-基乙酸酯,然后与3-氯-2-肼基吡啶环化,脱水和水解反应得到[1-(3-氯吡啶-2-基)-5-(三氯甲基)-1H-吡唑-3-基]甲醇,最后经氯化亚砜氯化,与5-三氟甲基四氮唑反应得到中间体1-(3-氯-2-吡啶基)-3-{[5-(三氟甲基)-2H-四唑-2-基]甲基}-1H-吡唑-5-羧酸,合成路线如下:路线2:以草酰氯甲酯和2-甲氧基丙烯为起始原料在吡啶的作用下,经脂肪碳酰化、溴化反应得到5-溴-4-甲氧基-2-氧代-3-戊烯酸乙酯,然后与5-三氟甲基四氮唑和3-氯-2-肼基吡啶反应得到中间体1-(3-氯-2-吡啶基)-3-{5-(三氟甲基)-2H-四唑-2-基]甲基}-1H-吡唑-5-羧酸。合成路线如下。该合成路线短,但溴化产物5-溴-4-甲氧基-2-氧代-3-戊烯酸乙酯难于提纯,导致后续反应副产物多,难于实现工业化。路线3:与路线2相似,以三氯乙酰氯和2-甲氧基丙烯为起始原料,在二氯甲烷溶液中经脂肪碳酰化反应生成(E)-1,1,1-三氯-4-甲氧基戊-3-烯-2-酮后,产物在三氯甲烷溶液中溴化反应生成(E)-5-溴-1,1,1-三氯-4-甲氧基戊-3-烯-2-酮,然后分别与5-三氟甲基四氮唑和3-氯-2-肼基吡啶反应得到中间体1-(3-氯-2-吡啶基)-3-{[5-(三氟甲基)-2H-四唑-2-基]甲基)-1H-吡唑-5-羧酸。合成路线如下:路线4:该法以环氧氯丙烷和丙酮为原料在对甲苯磺酸的催化下生成2,2-二甲基-4-氯甲基-1,3-二氧戊环,2,2-二甲基-4-氯甲基-1,3-二氧戊环在碱的作用下脱去氯化氢得到2,2-二甲基-4-亚甲烯基-1,3-二氧环戊烷;2,2-二甲基-4-亚甲烯基-1,3-二氧环戊烷在吡啶的催化下与草酰氯甲酯酰化反应得到(3E)-3-(2,2-二甲基-13-二氧戊环-4-亚基)-2-氧代丙酸甲酯,然后与3-氯-2肼基吡啶环化、氯化亚砜氯化得到3-(氯甲基)-1-(3-氯吡啶-2-基)-1H-吡唑-5-羧酸甲酯,最后与5-三氟甲基四氮唑反应后获得目标中间体,合成路线如下:该路线与路线2和3相比,虽然多2步反应,但具有每步反应工艺简单,容易提纯,且不用单质溴进行溴化,总收率高等特点,适应工业化生产。四唑虫酰胺+新烟碱类(噻虫嗪、吡虫啉、啶虫脒、吡蚜酮、呋虫胺、噻虫胺):该组合可用于防治甜菜夜蛾、小菜蛾、菜青虫、稻飞虱、二化螟、稻纵卷叶螟、三化螟、蚜虫、斜纹夜蛾等,扩大了防治谱,环境相容性好,不易产生抗药性。四唑虫酰胺+抗生素类(阿维菌素、甲氨基阿维菌素苯甲酸盐、多杀菌素、乙基多杀菌素):可防治农作物上的多种害虫,并具有明显的增效作用,并且减少了农药用药量,对人畜安全,无药害,环境相容性好。四唑虫酰胺+菊酯类(联苯菊酯、溴氰菊酯):该组合对防治鳞翅目害虫尤其是稻纵卷叶螟有很好的增效作用。可以兼治其他同翅目害虫(如稻飞虱、烟粉虱等),对减缓稻纵卷叶螟对药剂的抗药性有很好的作用。
四唑虫酰胺+虫螨腈:该组合具有增效、降低抗性等优点,该农药组合物可用于防治农林害虫、卫生害虫。四唑虫酰胺+三氟苯嘧啶:该组合用于防治作物虫害,特别是用于小菜蛾、稻飞虱、叶蝉、稻纵卷叶螟、二化螟、三化螟的防治。
四唑虫酰胺属于双酰胺杀虫剂的新成员,具有低毒、高效等特点,对多种害虫如蚜虫、稻飞虱、二化螟等都有很好的防治效果。目前原研企业拜耳正在全球快速登记和推广,未来将开发用于50多种靶标作物,防治70多类靶标害虫,虽然目前四唑虫酰胺的合成成本较氯虫苯甲酰胺和溴氰虫酰胺相对较高,目前在国内仅推广在高附加值的作物上,但随着技术的进步和新剂型的开发,四唑虫酰胺以及复配产品在未来有望得到更为广泛的应用。