氟唑菌苯胺是拜耳公司2006年开发的又一个吡唑酰胺类杀菌剂,主要作为种子处理剂,推广用于马铃薯、玉米、水稻、棉花、小麦、大麦、苜蓿、蔬菜、豆类、油菜等多种作物防治担子菌门真菌和子囊菌门真菌引起的土传或种传病害,例如马铃薯黑痣病、小麦纹枯病、水稻纹枯病、小麦散黑穗病、小麦腥黑穗病、玉米小斑病等病害,目前该成分在中国的化合物专利期已于2022年7月11日届满。产品简介中文名称:氟唑菌苯胺英文名称:pe
氟唑菌苯胺是拜耳公司2006年开发的又一个吡唑酰胺类杀菌剂,主要作为种子处理剂,推广用于马铃薯、玉米、水稻、棉花、小麦、大麦、苜蓿、蔬菜、豆类、油菜等多种作物防治担子菌门真菌和子囊菌门真菌引起的土传或种传病害,例如马铃薯黑痣病、小麦纹枯病、水稻纹枯病、小麦散黑穗病、小麦腥黑穗病、玉米小斑病等病害,目前该成分在中国的化合物专利期已于2022年7月11日届满。
中文名称:氟唑菌苯胺
英文名称:penflufen
其他名称:氟唑菌胺、戊苯吡菌胺、平氟芬
化学名称:5-氟-1,3-二甲基-N-[2-(4-甲基戊-2-基)苯基]吡唑-4-甲酰胺
分子式:C18H24FN3O
相对分子质量:317.41
CAS登录号:494793-67-8
理化性质:灰白色粉末;熔点111℃;沸前分解;密度(20℃,g/mL):1.21;Kow logP(pH 7,20℃)= 3.3;蒸气压(25℃):4.1×10-4 mPa;溶解度(20℃,mg/L):水10.9,甲醇126000,正庚烷 1600,甲苯62000,丙酮139000。20℃,pH7时,水解稳定。氟唑菌苯胺属于琥珀酸脱氢酶(SDH)抑制剂,主要作用于呼吸链电子传递复合体II,阻断能量代谢。种子处理后,药剂经渗透进入发芽的种子,通过幼株的木质部传导至整个植物,从而高水准地保护生长的幼苗。
应用作物:用于马铃薯、玉米、水稻、棉花、小麦、大麦、蔬菜、豆类以及油菜等;氟唑菌苯胺还可用于木材防腐。
作用谱:可以防治种传、土传的担子菌和子囊菌病害,包括但不限于有丝核菌(Rhizoctonia spp.) 和黑粉菌 (Ustilago spp.) 等引起的马铃薯黑痣病、小麦纹枯病、水稻纹枯病、油菜菌核病、小麦散黑穗病、小麦腥黑穗病等,对水稻纹枯病和稻曲病也具有一定的防效。
常见剂型:22.4 %氟唑菌苯胺种子处理悬浮剂;代表产品:阿马士。花生根腐病:22.4%氟唑菌苯胺种子处理悬浮剂在25~34mL/12.5kg种子制剂用药量下,对花生种子进行处理,苗后30天对花生根腐病的防效为88.7%~97.9%,保苗效果明显,收获时花生产量增加显著。小麦纹枯病:22.4%氟唑菌苯胺种子处理悬浮剂(制剂用量40~100mL/100 kg 种子)对小麦纹枯病有较好的防治效果,小麦拔节期调查,防效为84.72%~91.28%,具有一定的增产作用,对小麦的出苗和麦苗的株高、分蘖数量等无显著影响。水稻恶苗病: 24%氟唑菌苯胺种子处理悬浮剂以制剂用药量30mL/3kg水稻种子进行拌种,对水稻恶苗病的防效在90%以上。氟唑菌苯胺对水稻表现出较好的生长促进作用,幼苗白根数、分蘖数较多、茎基宽较宽,水稻地上、地下鲜重增加显著。水稻纹枯病:22%氟唑菌苯胺种子处理悬浮剂在制剂用药量830~1250毫升/100千克种子剂量下,加适量水混匀后,进行拌种,待种子均匀着药后阴干,再浸种,催芽,播种,可有效防治水稻纹枯病。马铃薯黑痣病:22.4%氟唑菌苯胺种子处理悬浮剂在制剂用药量8~12毫升/100千克种薯剂量下,加适量水混匀后,进行种薯包衣,待种子均匀着药后,在阴凉处阴干后播种,可有效防治马铃薯黑痣病。同时可加快马铃薯出苗,健壮植株、增强作物抵御不良环境影响的能力,从而增加马铃薯产量,提高马铃薯品质(促进马铃薯外观上表皮完整、大小和性状适当)。玉米丝黑穗病:22.4%氟唑菌苯胺种子处理悬浮剂在制剂用药量200-300毫升/100千克种子剂量下,加适量水混匀后,进行拌种,待种子均匀着药后,在阴凉处阴干后播种,可有效防治玉米丝黑穗病。1、应用及杀菌谱广:可用于多种作物防治担子菌门真菌和子囊菌门真菌引起的土传或种传病害,例如马铃薯黑痣病、小麦纹枯病、水稻纹枯病、小麦散黑穗病、小麦腥黑穗病、玉米小斑病等病害。2、兼具内吸、预防和治疗作用,持效期长:氟唑菌苯胺的主要作用是抑制病原菌的呼吸作用,阻止其产生能量,最终导致病原菌死亡。它具有内吸、预防和治疗的作用,种子处理后,药剂经渗透进入发芽的种子,通过幼株的木质部传导至整个植物,从而高水准地保护生长的幼苗。3、作用机理独特,对环境友好:氟唑菌苯胺是琥珀酸脱氢酶(SDH)抑制剂,主要作用于呼吸链电子传递复合体II,阻断能量代谢。它对环境友好,可以广泛用于农作物和生态环境保护。4、使用方便,低剂量下即可广泛防治:氟唑菌苯胺可以种子处理使用,也可以土壤施用或沟施。其低剂量下即可广泛防治担子菌和子囊菌等病原菌引起的病害。5、复配性好:作为一个种子处理剂,氟唑菌苯胺可以与肟菌酯、噻虫胺、丙硫菌唑、甲霜灵、吡虫啉等杀虫、杀菌剂进行复配。截止目前仅登记拜耳股份公司95%氟唑菌苯胺原药和22.4%氟唑菌苯胺种子处理悬浮剂。登记对象为马铃薯黑痣病、小麦纹枯病、玉米丝黑穗病。氟唑菌苯胺目前主要在英国、美国、加拿大、澳大利亚等国家登记并上市,主要开发进程如下:2011年,氟唑菌苯胺首先在英国取得登记,这也是氟唑菌苯胺的全球首个登记,商品名Emesto Prime.2012年,以氟唑菌苯胺为有效成分的7个产品获得美国登记:2个氟唑菌苯胺单剂产品;3个杀菌剂复配产品,;还有2个杀菌/杀虫剂复配产品,作为马铃薯、苜蓿(紫花苜蓿)、蔬菜、谷物和油菜的种子处理剂"”。同年,EverGol获得美国登记,并计划在2013年种植季节上市,拜耳公司还将上市马铃薯种块处理剂以及多个种子处理剂,用于棉花、小麦、油菜等。

2012 年,氟唑菌苯胺产品在加拿大上市,用作马铃薯种块处理剂,商品名Titan Emesto。Titan Emesto是新杀菌剂复配制剂Emesto Silver和杀虫剂Titan(噻虫胺600g/L)的合装产品,用于防治种传丝核菌病、立枯病、茎腐病和银腐病,也可防治一些虫害和降低金针虫的密度。2012年底,澳大利亚农药与兽药管理局(APVMA)批准种子处理杀菌剂产品EverGol Prime登记,用于小麦和大麦作物,抑制丝核菌引起的根腐病以及控制或抑制黑穗病。
加拿大登记的氟唑菌苯胺产品
2018年,组合化学登记了四元复配的杀虫/杀菌剂Full-throttle Box GR(溴氰虫酰胺+三氟苯嘧啶+异噻菌胺+氟唑菌苯胺)。另外,拜耳在日本登记了5.5%颗粒剂(1.5%四唑虫酰胺+2%异噻菌胺+2%氟唑菌苯胺),用于水稻,防治稻水象甲、稻负泥虫、二化螟、稻纵卷叶螟、稻弄蝶、稻螟蛉、黑尾叶蝉等;拜耳还在日本登记了8.5%颗粒剂(1.5%四唑虫酰胺+2%异噻菌胺+2%氟唑菌苯胺+3%吡蚜酮),用于水稻,防治稻水象甲、稻负泥虫、二化螟、稻纵卷叶螟、稻弄蝶、稻螟蛉、黑尾叶蝉、稻飞虱等。
吡啶菌胺+氟唑菌苯胺:1)对多种作物的多种病害都有较高的活性,并且具有增效作用、具有用药量小等特点增效作用明显,不是各组分活性简单的叠加,药效大幅提高;2)防治药效突出,持效期长,抗性风险小;3)有效成分的田间用量下降,降低了生产和使用成本,减少农药残留和环境污染;4)由不同作用机制的有效成分组成,作用位点增加,有利于克服和延缓病害抗药性的产生。
丙硫菌唑+氟唑菌苯胺+新烟碱类(噻虫胺、噻虫嗪):同时防治植物病害和虫害,各活性成分作用机理不同,复配后起到明显的协同增效作用,能够延长药剂的持效期,延缓病原菌及害虫抗性产生和发展,对作物安全,对环境友好。
氟唑菌苯胺+噁霉灵:兼具治疗和保护作用,杀菌效果好,可以减少用药次数、降低用药成本,且杀菌效果不是各组分活性的简单叠加,而是具有显著的增效作用,并且可以减缓抗性的产生,对作物安全性好。
氟唑菌苯胺+氟嘧菌酯+溴氰虫酰胺/氯虫苯甲酰胺:用于种子处理或者根部处理,防治马铃薯黑痣病、玉米丝黑穗病、棉花立枯病、花生立枯病、辣椒根腐病等真菌性种传病害和土传病害上的用途;同时防治金针虫、蛴螬、蝼蛄、根部蛆虫等地下害虫上的用途;叶面喷雾则可以有效防治各种作物上发生的白粉病、炭疽病、黑星病、早疫病、白腐病、叶霉病等真菌性病害,兼治鳞翅目幼虫。
氟唑菌苯胺+吡唑醚菌酯/肟菌酯+氟噻唑吡乙酮:该组合具有明显的增效作用,可以降低农药使用量,对环境友好安全。
氟唑菌苯胺+异丙噻菌胺:对于防治葱链格孢菌浸染引起的洋葱紫斑病具有明显的协同效果。
氟唑菌苯胺+氟菌唑/咪鲜胺/咪鲜胺锰盐/咪唑菌酮/甲基硫菌灵/多菌灵/氰霜唑:对多种作物上的多种病害都有较高活性,并具有明显的增效作用,扩大了杀菌谱。
氟唑菌苯胺+三唑类(戊唑醇、己唑醇、氟环唑、环唑醇、丙环唑、苯醚甲环唑、戊菌唑或氟硅唑):对多种作物上的多种病害都有较高活性,并具有明显的增效作用,扩大了杀菌谱。并具有用药量小、耐雨水冲刷,增效明显的特点。
氟唑菌苯胺+中生菌素/四霉素:防治农作物上的黄瓜枯萎病和辣椒炭疽病效果优秀,持效期长,对农作物安全。
氟唑菌苯胺+乙嘧酚或其盐/霜霉威或其盐/霜脲氰/缬霉威:对多种作物上的多种病害都有较高活性,并具有明显的增效作用,扩大了杀菌谱。并具有用药量小、耐雨水冲刷,增效明显的特点。
氟唑菌苯胺与甲氧基丙烯酸酯类(嘧菌酯、醚菌酯、醚菌胺、肟醚菌胺、苯氧菌胺、唑菌酯):对危害农业生产的多种病害具有增效作用,减少了农药用药量,降低了农药在作物上的残留量,减轻了环境污染,对人畜安全,环境相容性好,病害不易产生抗药性。
氟唑菌苯胺+噻呋酰胺:对作物真菌性病害有更高的防治效果,两药剂之间存在明显增效作用;可减少用药量,有效降低生态破坏和环境污染,并能提高作物产量和质量。
氟唑菌苯胺+丁香菌酯:兼具治疗和保护作用,杀菌效果好,可以减少用药次数、降低用药成本,且杀菌效果不是各组分活性的简单叠加,而是具有显著的增效作用,并且可以减缓抗性的产生,对作物安全性好。
氟唑菌苯胺+硫代氨基甲酸酯类(代森锰锌、代森联、代森锌):对多种作物上的多种病害都有较高活性,并具有明显的增效作用,扩大了杀菌谱。并具有用药量小、耐雨水冲刷,增效明显的特点。
氟唑菌苯胺+啶菌胺/氟啶酰菌胺/噻唑菌胺/氟啶胺:对多种作物上的多种病害都有较高活性,并具有明显的增效作用,扩大了杀菌谱。并具有用药量小、耐雨水冲刷,增效明显的特点。
氟唑菌苯胺+咯菌腈:具有杀菌杀虫谱广,速效好,持效期的特点。
叶菌唑+氟唑菌苯胺:具有杀菌活性高,同时延缓病原物抗药性的产生和发展,且减少生产实际中防治用药量,经济、高效、安全、环保。对镰刀菌引起的多种作物病害有更高的防治效果,对小麦赤霉病防治效果尤为显著。
氟唑菌苯胺+氯氟醚菌唑:对作物上的病害有较高的活性,并具有明显的增效作用,降低用药量增效明显的特点。
氟唑菌苯胺+啶酰菌胺:对作物真菌性病害有更高的防治效果,两药剂之间存在明显增效作用;可减少用药量,有效降低生态破坏和环境污染,并能提高作物产量和质量。
氟唑菌苯胺+酰胺类(噻酰菌胺、苯酰菌胺、吡噻菌胺、环丙酰菌胺):对多种作物上的多种病害都有较高活性,并具有明显的增效作用,扩大了杀菌谱。
氰烯菌酯+氟唑菌苯胺:对小麦赤霉病等作物真菌性病害有较好的防治效果,可延缓病菌对单一药剂的抗药性。
宁南霉素+氟唑菌苯胺:用于防治油菜菌核病,协同增效作用明显,防效显著高于单用宁南霉素和氟唑菌苯胺的防效,从而降低农药使用量,延缓病害产生抗药性,且持效期长,对环境友好。
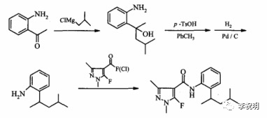
2-氨基苯乙酮与氯化异丁基镁发生格氏反应,再经脱水、加氢制得中间体2-(1,3-二甲基丁基)苯胺,3步收率78%(以2-氨基苯乙酮计)。该中间体与另一中间体5-氟-1,3-二甲基-1H-吡唑-4-甲酰氟在缚酸剂 2,6-二甲基吡啶存在下反应,得到含量较高的氟唑菌苯胺,收率为88%[以2-(1,3-二甲基丁基)苯胺计]5。以 5-氟-1,3-二甲基-1H-吡唑-4-甲酰氯为中间体合成氟唑菌苯胺的报道收率不高,但改变缚酸剂,也许可提高收率。路线1和路线2均以2-氨基苯乙酮、氯化异丁基镁为原料。路线2先发生酰胺化反应,再进行格氏反应、脱水、加氢反应,氟唑菌苯胺的收率约70%(以2-氨基苯乙酮计)[8,但5-氟-1,3-二甲基-1H-吡唑 -4-甲酰氟(氯)的单耗用量较路线1大,成本较高。根据路线3也可合成氟唑菌苯胺,但无论是产物收率还是含量都较路线1和路线2低。综上,从原料成本等因素考虑,路线1更适合工业化生产。种传、土传病害危害大、防治困难,选择种子处理剂是防治该类病害的核心手段。氟唑菌苯胺作为种子处理剂的后起之秀,凭借其优异的防效,迅速占领市场,后来居上的趋势十分突出,已经成为种菌唑、咯菌腈等常见种子处理产品的替代品。另外,氟唑菌苯胺和肟菌酯、丙硫菌唑等高效杀菌剂混配喷雾使用防治有关作物病害,也正处于高频率研发之中。氟唑菌苯胺用于种子处理的优势突出,用于喷雾使用的地位也即将得以显现,随着氟唑菌苯胺化合物专利到期,作为种子处理剂市场的佼佼者,它必将激发众多公司的登记热情,从而进一步拓展应用领域,提升其市场地位。