5年后专利到期的新型脲嘧啶类除草剂——氟嘧硫草酯
            
            
                
                        作者:辉胜农药登记代理 
                    2024/4/3 10:04:56
                
             
            
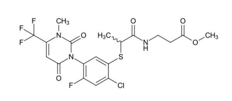
                氟嘧硫草酯是由福阿母韩农株式会社、韩国化学技术研究院等联合研发的新型脲嘧啶类非选择性除草剂,可用于大豆、油菜、水稻、玉米、小麦等作物田,也能用于果园和非耕地,防除阔叶杂草和禾本科杂草,下面让我们一起了解这一有效成分!一、产品简介中文通用名称:氟嘧硫草酯英文通用名称:tiafenacil开发代号:DCC-3825化学名称:3-[(2RS)-2-({2-氯-5-[3,6-二氢-3-甲基-2,6-二氧代
            
            
                氟嘧硫草酯是由福阿母韩农株式会社、韩国化学技术研究院等联合研发的新型脲嘧啶类非选择性除草剂,可用于大豆、油菜、水稻、玉米、小麦等作物田,也能用于果园和非耕地,防除阔叶杂草和禾本科杂草,下面让我们一起了解这一有效成分!化学名称:3-[(2RS)-2-({2-氯-5-[3,6-二氢-3-甲基-2,6-二氧代-4-(三氟甲基)嘧啶-1(2H)-基]-4-氟苯基}硫代)丙酰胺基]丙酸甲酯作用机理:氟嘧硫草酯为新型原卟啉原氧化酶(PPO)抑制剂类除草剂。以植物细胞的叶绿素为作用点,通过抑制叶绿素生物合成过程中的原卟啉原氧化酶而发挥作用。氟嘧硫草酯抑制杂草中叶绿素的形成,产生活性氧,从而破坏细胞,表现出除草活性。氟嘧硫草酯已在美国、加拿大、巴西等多个国家和地区登记上市。(2)国内登记情况
经中国农药信息网查询,截止日前,我国暂无氟嘧硫草酯登记。氟嘧硫草酯尚处于专利保护期内,2009年韩国化学技术研究院、东部高科技株式会社申请了基于氟嘧硫草酯的化合物专利,包括PCT专利WO2010038953、欧洲专利EP2343284、美国专利US2011224083等。系列专利已在约30个国家获得授权。这些专利都将于2029年期满。中国专利:CN102203071B(ZL200980142137.8),申请于2009年9月24日,将于2029年9月23日期满。