新型二氢乳清酸脱氢酶(DHODH)抑制剂类除草剂——二甲吡草胺

作者:李祝明 李祝明 2025/8/20 10:52:55
二甲吡草胺(Dimepyrolimet)是2024年由清原农冠开发的新型芳基吡咯烷酮甲酰胺类除草剂。从结构上看其与杜邦公司开发的四氟咯草胺结构类似,不同的是苯环上甲基的替代以及5-氯-1-甲基吡唑基的替代,推测其与四氟咯草胺(该成分虽未登记,但自2024年已由富美实和先正达在国内率先推广)的推广方向一致,即用于防除水稻田禾本科杂草、部分阔叶杂草及莎草科杂草。值得注意的是,其作用机理与喹啉类杀菌剂作

二甲吡草胺(Dimepyrolimet)是2024年由清原农冠开发的新型芳基吡咯烷酮甲酰胺类除草剂。从结构上看其与杜邦公司开发的四氟咯草胺结构类似,不同的是苯环上甲基的替代以及5-氯-1-甲基吡唑基的替代,推测其与四氟咯草胺(该成分虽未登记,但自2024年已由富美实和先正达在国内率先推广)的推广方向一致,即用于防除水稻田禾本科杂草、部分阔叶杂草及莎草科杂草。值得注意的是,其作用机理与喹啉类杀菌剂作用机理一样都为二氢乳清酸脱氢酶(DHODH)抑制剂,而清原农冠在专利″取代的吡咯烷酮类化合物及其制备方法、组合物和应用″中也提及了二甲吡草胺等相关化合物的杀菌活性。

图片

01 产品简介


英文名称:dimepyrolimet

中文名称:二甲吡草胺

化学名称:(3S,4S)-N-(5-氯-1-甲基-1H-吡唑-4-基)-4-(3,5-二甲苯基)-1-甲基-2-氧亚基吡咯烷-3-甲酰胺

分子式:C18H21ClN4O2

相对分子质量:360.842

CAS登录号:3056779-02-0

结构式:

图片

理化性质:原药为淡黄色固体


02 作用机理


推测二甲吡草胺的作用机理与四氟咯草胺一致,属于二氢乳清酸脱氢酶(DHODH)抑制剂。通过竞争DHODH上的泛醌结合位点,抑制杂草体内关键生长分子嘧啶的合成,从而中断正常的细胞功能,使杂草生长发育停滞或阻止幼苗出苗。


03 应用


应用作物:草坪、水稻、甘蔗、大豆、棉花、油葵、马铃薯、果树等。

靶标杂草:稗草、稻稗、千金子、节节菜、泽泻、双穗雀稗等。

研究表明:二甲吡草胺及其组合物对由子囊菌纲、担子菌纲、半知菌纲、卵菌纲等引起的真菌性病害如番茄灰霉病、水稻纹枯病、水稻稻瘟病和苹果轮纹病等具有良好的防治活性(可参考喹啉类如异丁乙氧喹啉、异丙菌喹啉、氟菌喹啉的杀菌谱),还能防治包括鳞翅目害虫(如草地贪夜蛾和粘虫)在内的农业害虫。


04 专利情况


2024年清原农冠在国内申请了基于二甲吡草胺(化合物117)在内的吡咯烷酮类化合物及其制备专利。

专利名称:取代的吡咯烷酮类化合物及其制备方法、组合物和应用

申请号:CN202410220546.1

申请日:2024-02-28

公开号:CN118666811A

当前申请(专利权)人:青岛清原化合物有限公司

摘要:本发明属于农药技术领域,具体涉及一种取代的吡咯烷酮类化合物及其制备方法、组合物和应用。所述取代的吡咯烷酮类化合物,如通式I所示:其中,Q代表未取代或被至少一个R11取代的等;X、Y分别独立地代表氢、烷基、烯基、炔基等;Z代表烷基、烯基、炔基等;W1、W2分别独立地代表O或S;R6代表氢、羟基、卤素等;R7代表氢、卤素等;R8代表氢、烷基、烯基、炔基等。所述化合物不仅对禾本科杂草等具有优异的除草活性,并对作物安全,具有高选择性,而且对番茄灰霉病、水稻纹枯病、苹果轮纹病等不同种类真菌以及对鳞翅目(如草地贪夜蛾、粘虫等)等农业害虫也具有良好的防治活性。


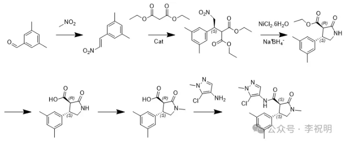
05 合成路线


清原农冠在专利CN118666811A中描述了二甲吡草胺的合成,以3,5-二甲基苯甲醛为起始原料制备,合成路线如下:

图片

注:涉及部分中间体3,5-二甲基苯甲醛(CAS:5779-95-3)、丙二酸二乙酯(CAS:105-53-3)、溴化镍配体(CAS:862910-64-3)、5-氯-1-甲基-1H-吡唑-4-胺(CAS:406189-04-6)


06 复配推介


推测二甲吡草胺前期的推广方向为水稻田杂草的防控,根据不同的施药方式和草项推荐与丙草胺、苯噻酰草胺、莎稗磷、噁草酮、环戊噁草酮、氯氟吡啶酯、氟砜草胺、溴噁草松、环庚草醚、氟溴草醚、呋喃磺草酮、双环磺草酮、噁嗪草酮、双唑草腈、环丙吡草腈等复配。


07 前景展望


二氢乳清酸脱氢酶(DHODH)抑制剂类除草剂是30年来除草剂新作用机理的首次突破,这一独特机制使其对当前主流除草剂(如HPPD、ALS、ACCase抑制剂)产生抗性的杂草具有卓越防效。基于四氟咯草胺前期的推广和应用数据,推测未来二甲吡草胺的推广定位为水稻田抗性禾本科杂草的防控,四氟咯草胺在耙田期土壤喷雾或稗草2叶期茎叶喷雾均表现出近100%的防效,二甲吡草胺在结构优化后,有望进一步拓宽杀草谱,提升对阔叶杂草(如鸭舌草)和莎草的活性,同时控草期会更长,另外未来清原农冠也可利用其在玉米育种方面的优势以及在小麦田现有产品的布局,开发在玉米田的应用,以及在小麦田开发防除看麦娘及野燕麦的配方。制备方面,合成路线需进一步优化,可参考四氟咯草胺的合成。另外推测二甲吡草胺的(3S,4S)构型对活性至关重要,需开发对称催化技术或高效拆分工艺,避免使用昂贵的手性助剂,加速手性合成工艺突破,构建专利壁垒,重点保护高活性异构体制备方法。目前二甲吡草胺和四氟咯草胺都处在开发初期,未来是否能赶超四氟咯草胺,清原农冠还需在合成成本控制、复配体系设计、施药技术适配、海外市场布局等方面下足功夫。

相关推荐