24种获批ISO通用名的农药新品种

作者:农药资讯网 2026/3/12 11:31:50
有害生物对农药耐药性的不断发展使作物保护的有效性面临重大挑战,而农药产品注册登记与法规监管的日趋严格导致市场上实际可供选用的农药品类减少。农民和种植者迫切需要获得新型农药来控制有害生物,维持农业和社会经济的可持续发展。2025年,ISO基于申请者提交的英文通用名申请,经相关评审批准公布了24种新农药的英文通用名(表1),涉及杀虫(螨)剂7种、杀菌(线虫)剂10种、除草剂7种。其中,中国创制的新农药

有害生物对农药耐药性的不断发展使作物保护的有效性面临重大挑战,而农药产品注册登记与法规监管的日趋严格导致市场上实际可供选用的农药品类减少。农民和种植者迫切需要获得新型农药来控制有害生物,维持农业和社会经济的可持续发展。2025年,ISO基于申请者提交的英文通用名申请,经相关评审批准公布了24种新农药的英文通用名(表1),涉及杀虫(螨)剂7种、杀菌(线虫)剂10种、除草剂7种。其中,中国创制的新农药17种,包括杀虫(螨)剂溴氰氟苯酰胺、啶蚜胺、氯虫啶、萘异噁唑酰胺、吲哚螨砜和四氟苯烯菊酯,杀菌(线虫)剂氰烯菌胺、噻吡菌酯、硝苯菌酰胺、烯丙唑菌胺和喹菌胺,以及除草剂二甲吡草胺、三氟嘧草酸、氟啶草醚、噁唑磺草酮、氟丙草嗪和苯噁吡草酮,相关产业化开发和中国登记应用多已在开展中;印度创制的新农药1种,即杀线虫剂fenargimine。


表1  2025年ISO批准并公布的24种新农药


同期,ISO还采纳了美国国家标准协会(ANSI)因标准到期撤销的8种农药老品种的英文通用名(表2),涉及杀虫剂2种、杀菌剂1种、除草剂4种及植物生长调节剂1种,其化学结构见图1。相关化合物专利均已到期,作用机制明确且多数已实现商业化应用,其中乙烯利与乳氟禾草灵已在中国完成注册登记并投入使用。


表2  2025年ISO采纳的8种被ANSI撤销的农药老品种


图1  ISO采纳的被ANSI撤销的8种农药老品种的化学结构式


1  杀虫(螨)剂


按化学结构和作用机制分类,2025年新公布的7种杀虫(螨)剂可分为间二酰胺(或间苯二甲酰胺)、吡唑酰胺、双缩脲、介离子嘧啶鎓、异噁唑啉、三氟乙基亚砜和拟除虫菊酯七大类。


1.1  间二酰胺类杀虫剂


溴氰氟苯酰胺是沈阳化工大学创制、广西思钺生物科技有限责任公司开发的新型杀虫剂,也是继溴虫氟苯双酰胺(broflanilide)、环丙氟虫胺(cyproflanilide)、多氟虫双酰胺(piperflanilide)和氟溴虫酰胺(trioxyflanilide)后第5个获ISO英文通用名的间二酰胺类杀虫剂。该杀虫剂可视为用氰甲基替换环丙氟虫胺中环丙甲基或氟溴虫酰胺中甲氧乙基得到。推测溴氰氟苯酰胺的作用机制与环丙氟虫胺和氟溴虫酰胺等类同,均为γ-氨基丁酸门控氯离子通道变构调节剂,通过在靶标害虫体内去N-氰甲基代谢活化发挥作用。室内生测结果表明,溴氰氟苯酰胺0.11.2 mg/L对玉米螟3龄幼虫72 h的杀死率为47.22%83.33%,0.251.5 mg/L对褐飞虱3龄若虫96 h的杀死率为53.33%82.22%,0.010.5 mg/L对甜菜夜蛾3龄幼虫48 h的杀死率为17.50%87.50%,0.011 mg/L对小菜蛾2龄幼虫48 h的杀死率为35.00%90.00%,0.11 mg/L对二化螟2龄幼虫72 h的杀死率为48.89%80.56%,0.21.6 mg/L对黏虫3龄幼虫48 h的杀死率为42.22%84.44%,同时可制成SL、ME、EW、EC、OD、SC、WP和WG单剂或混剂,与新烟碱类杀虫剂、虫螨腈、除虫菊素和拟除虫菊酯类杀虫剂、flupyrimin、昆虫生长抑制剂类杀虫剂(吡丙醚、虱螨脲和除虫脲),以及生物源类杀虫剂(阿维菌素、甲氨基阿维菌素苯甲酸盐、多杀霉素和乙基多杀菌素)混用在室内和田间对靶标害虫防控具有协同增效作用,且可扩充杀虫谱、延缓靶标害虫抗性发展。溴氰氟苯酰胺可能的创制思路和合成路线见图2,合成可共用环丙氟虫胺和氟溴虫酰胺的关键中间体。


图2  溴氰氟苯酰胺的创制思路和合成路线


1.2  吡唑酰胺类杀虫剂


啶蚜胺是青岛清原化合物有限公司开发的新型吡唑-4-酰胺类杀虫剂,可视为由吡啶环和1-丙炔基对嗪虫唑酰胺(dimpropyridaz)的N-取代基上的吡嗪基和乙基分别进行修饰得到,同样为瞬时受体电位通道香草酸亚型(TRPV)通道上游位点抑制剂。据报道,啶蚜胺具有优异的内吸传导性,可快速抑制害虫取食行为而减少病毒传播和作物营养损失、提升农产品产量与品质。室内生测结果表明,啶蚜胺1、10 mg/L对禾谷缢管蚜的5 d杀死率分别达70%、92%,显著优于嗪虫唑酰胺(1 mg/L的5 d杀死率为0),13 mg/L对桃蚜(Myzus persicae)的5 d杀死率为35%55%,2 mg/L对花生蚜的5 d杀死率为40%,且与毒死蜱、氟虫腈、多杀霉素、高效氯氟氰菊酯、吡虫啉、阿维菌素、螺虫乙酯、溴氰虫酰胺、氟啶虫酰胺和噁唑氟虫胺(isoflualanam)等杀虫剂按一定比例混合对桃蚜和花生蚜防控具有显著的协同增效作用。啶蚜胺含有一对外消旋体,可能的创制思路和合成路线见图3,合成可共用嗪虫唑酰胺的关键中间体。


图3  啶蚜胺的创制思路和合成路线


1.3  双缩脲类杀虫剂


Fentiazoluron是由科迪华农科公司创制的含三唑和噻唑酮骨架结构的双缩脲类新型杀虫剂,对鳞翅目害虫具有较高生物活性。在化学骨架结构上,fentiazoluron与茚虫威和氰氟虫腙等缩氨基脲类杀虫剂存在一定的相似性。根据不同测试方式的生测结果可以确定fentiazoluron具有较好的胃毒和触杀作用,尚不清楚其是否具有内吸传导和渗透作用;而根据与多种杀菌剂和其他杀虫剂混用具有协同增效作用推测,fentiazoluron可能具有全新的作用机制。室内生测结果表明,fentiazoluron 50μg/cm2饲喂处理对甜菜夜蛾(Spodoptera exigua)和甘蓝尺蠖(Trichoplusia ni)的57 d杀死率≥50%,200 mg/L喷雾处理桃蚜若虫和无翅成虫的3 d杀死率<80%。Fentiazoluron可能的创制思路和合成路线见图4。


图4  Fentiazoluron的创制思路和合成路线


1.4  介离子嘧啶鎓类杀虫剂


氯虫啶是青岛清原化合物有限公司继噁唑氟虫胺后创制的含介离子嘧啶鎓结构的新烟碱类杀虫剂,可视为对二氯噻吡嘧啶(dicloromezotiaz)的苯环取代基进行修饰而来(或对三氟苯嘧啶的3个芳环分别进行修饰而来),推测其作用机制与二氯噻吡嘧啶和三氟苯嘧啶类同,为烟碱乙酰胆碱受体(nAChR)拮抗剂。据报道,氯虫啶具有一定的内吸传导性、卓越的渗透能力和优异的环境友好特性,可高效防除对传统药剂产生抗性的二化螟和稻纵卷叶螟等鳞翅目害虫。室内生测结果表明,氯虫啶对二化螟3龄幼虫(0.2 mg/L)、草地贪夜蛾2龄幼虫(1 mg/L)、黏虫2龄幼虫(1 mg/L)、斜纹夜蛾2龄幼虫(5 mg/L)和稻飞虱(60 mg/L)的48 h杀死率分别为100%、70%、80%、90%和85%,与乙基多杀菌素、多杀霉素、甲氨基阿维菌素苯甲酸盐、阿维菌素、虱螨脲、虫螨腈、甲氧虫酰肼、高效氯氟氰菊酯、cybenzoxasulfyl、flupyrimin、氯虫苯甲酰胺、溴氰虫酰胺、茚虫威、毒死蜱、吡虫啉、噻虫嗪、敌敌畏、敌百虫、辛硫磷、三唑磷、喹硫磷、乙酰甲胺磷、丁硫克百威和二嗪磷等其他杀虫剂按一定比例混用对草地贪夜蛾、二化螟、黏虫和花生蚜等害虫防控具有协同增效作用。同时,氯虫啶对蜜蜂的急性接触和经口毒性LD50(96 h)均>11μg/蜂,安全性优于三氟苯嘧啶(1μg/蜂的96 h死亡率为90%)。氯虫啶可能的创制思路和合成路线见图5,合成可共用二氯噻吡嘧啶的关键中间体。


图5  氯虫啶的创制思路和合成路线


1.5  异噁唑啉类杀虫剂


萘异噁唑酰胺是继噁唑氟虫胺后又一个英文通用名获ISO批准的异噁唑啉类中国创制杀虫剂,可视为对氟噁唑酰胺(fluxametamide)或阿福拉纳(afoxolaner)进行修饰而得到。推测萘异噁唑酰胺的作用机制与氟噁唑酰胺、氟雷拉纳和阿福拉纳类同,具有多种作用靶标,主要为γ-氨基丁酸门控氯离子通道变构调节剂。室内生测结果表明,萘异噁唑酰胺液管药膜法处理棕榈蓟马成虫的LC50、LC90(48 h)分别为0.0123、0.0705 mg/L,浸虫法处理无翅桃蚜的LC50(48 h)为0.4390 mg/L。萘异噁唑酰胺可能的创制思路和合成路线见图6,合成可采用氟噁唑酰胺的合成路线并共用阿福拉纳的关键中间体。


图6  萘异噁唑酰胺的创制思路和合成路线


1.6  三氟乙基亚砜类杀虫/螨剂


吲哚螨砜是由沈阳化工大学创制并由陕西上格之路生物科学有限公司开发的含异吲哚酮的新型杀虫/螨剂,也是继氟螨双醚(bisulflufen)和苯苄螨胺(bentioflumin)后英文通用名获ISO批准的又一中国创制的三氟乙基亚砜类杀虫/螨剂。该杀虫/螨剂可视为仿照sulfiflumin由苯苄螨胺去氯和环合后氧化得到,推测其作用机制与之相同,为线粒体能量抑制剂。室内生测结果表明,吲哚螨砜及其合成中间体硫醚化合物(图7中化合物M)510 mg/L对朱砂叶螨成螨(72 h)和螨卵(24 h)的杀死率均≥90%。尚不清楚吲哚螨砜的杀虫活性。吲哚螨砜可制成CS、EC、EW、OD、WG、WP、ME、SL、EP、SC、DF、ULV、FS、DP和TB等类型制剂,其可能的创制思路和合成路线见图7,合成可共用sulfiflumin等同类农药的关键中间体。


图7  吲哚螨砜的创制思路和合成路线


1.7  拟除虫菊酯类杀虫剂


四氟苯烯菊酯是江苏扬农化工股份有限公司创制的新型卫生用杀虫剂,作用机制与其他拟除虫菊酯类杀虫剂类同,为钠离子通道抑制剂。室内生测结果(表3)表明,四氟苯烯菊酯外消旋体对蚊、蝇和德国小蠊等卫生害虫的击倒速度和杀虫活性均优于momfluorothrin和四氟醚菊酯(tetramethylfluthrin)。急性经口、经皮和吸入毒性测试结果表明,四氟苯烯菊酯对哺乳动物微毒。四氟苯烯菊酯为(Z)-式的(1R,3R)-对映体,可能的创制思路和合成路线见图8。四氟苯烯菊酯原药中可能还含有(Z)-式的(1S,3S)-对映体、(1S,3R)-对映体、(1R,3R)-对映体,以及(E)-式的(1R,3R)-对映体、(1S,3S)-对映体、(1S,3R)-对映体和(1R,3R)-对映体等7个对映异构体,可利用高效液相色谱对其中的四氟苯烯菊酯及其对映体进行分离和测定。


表3  四氟苯烯菊酯外消旋体的杀虫活性


图8  四氟苯烯菊酯的创制思路和合成路线


2  杀菌(线虫)剂


按化学结构和作用机制分类,2025年新公布的10种杀菌(线虫)剂可分为氰基丙烯酸(酯)、烟酸、三唑、三氟甲基噁二唑、芳甲酰环丁胺、吡唑酰胺、RNAi、苯丙烯亚胺、甲氧基丙烯酸酯和嘧啶胺(或喹唑啉)十大类。


2.1  氰基丙烯酸(酯)类杀菌剂


氰烯菌胺(开发代号ZJS178)是江苏省农药研究所股份有限公司继氰烯菌酯(phenamacril)后与浙江化工研究院和浙江大学合作开发的又一新型杀菌剂,其可视为对氰烯菌酯进行修饰,将N-乙基-N-甲基氨基引入苯环的同时选择其活性(Z)-式异构体。据报道,氰烯菌胺为肌球蛋白-5(马达蛋白)抑制剂,其作用机制与氰烯菌酯和benzamacril/benzamacril-isobutyl类同。室内生测结果表明,氰烯菌胺0.1250.5 mg/L对小麦赤霉病病原菌或禾谷镰刀菌(Fusarium graminearum)23 d离体抑制率为88.3%99.85%,优于氰烯菌酯(21.1%69.7%);对抗性和敏感小麦假禾谷镰刀菌(Fusarium pseudograminearum)、水稻恶苗病病原菌藤仓镰刀菌(Fusarium fujikuroi)和番茄枯萎病病原菌尖孢镰刀菌(Fusarium oxysporum)的3 d离体抑制毒力EC50为0.0383、0.0323、0.0481、0.0878 mg/L,多优于咯菌腈(18.0490、0.0426、0.0529、0.0683 mg/L)、戊唑醇、叶菌唑、氟唑菌酰羟胺(pydiflumetofen)和氟唑菌苯胺;对西瓜枯萎病和小麦赤霉病的3 d离体抑制毒力EC50为0.0569、0.0399 mg/L,分别优于甲基硫菌灵(西瓜枯萎病0.2224 mg/L)和咪鲜胺(小麦赤霉病0.3191 mg/L);对番茄枯萎病和水稻恶苗病的3 d离体抑制毒力EC50为0.0461、0.6781 mg/L,分别优于嘧菌酯(番茄枯萎病0.8247 mg/L)和吡唑醚菌酯(水稻恶苗病4.9852 mg/L)。氰烯菌胺与上述其他杀菌剂在室内离体条件下混用都具有协同增效作用,而田试结果也表明氰烯菌胺与咯菌腈、戊唑醇、叶菌唑、氟唑菌酰羟胺、氟唑菌苯胺复配浸种或拌种处理对水稻恶苗病和小麦茎基腐病防控具有协同增效作用;与甲基硫菌灵或咪鲜胺锰盐按一定比例混合灌根或喷雾处理对番茄枯萎病或小麦赤霉病防控具有协同增效作用;与嘧菌酯或吡唑醚菌酯按一定比例混合处理对西瓜枯萎病或水稻恶苗病防控具有协同增效作用。将氰烯菌胺与盐酸、硫酸、磺酸、对甲苯磺酸和其他羧酸成盐可显著提高水溶性,制成EC、WP、WG和GR等剂型产品,保持甚至提高对小麦赤霉病的杀菌活性。氰烯菌胺可能的创制思路和合成路线见图9。


图9  氰烯菌胺的创制思路和合成路线


2.2  烟酸类杀菌剂


噻吡菌酯是青岛清原化合物公司创制的首个英文通用名获ISO批准的杀菌剂,可视为用5-甲基噻唑基对aminopyrifen的苯环进行修饰得到。推测噻吡菌酯的作用机制与aminopyrifen类同,为糖基磷脂酰肌醇(GPI)生物合成途径中真菌蛋白GWT-1(GPI锚定的壁转移蛋白1)的抑制剂。室内生测结果表明,噻吡菌酯对小麦赤霉病、油菜菌核病和番茄灰霉病等真菌性病害的抑制活性优于aminopyrifen(表4),100 mg/L噻吡菌酯对水稻白叶枯病和小麦细菌性叶枯病的防效分别为100%、98%。盆栽保护性试验结果表明,200 mg/L噻吡菌酯对黄瓜白粉病和小麦白粉病的10 d防效分别为100%、93%,对黄瓜灰霉病的2 d防效为100%;400 mg/L噻吡菌酯对水稻纹枯病(Rhizoctonia solani和小麦赤霉病的4 d防效分别为60%、89%,对黄瓜炭疽病7 d防效为90%。同时,噻吡菌酯与咯菌腈、吡唑醚菌酯、肟菌酯、嘧菌酯、叶菌唑、丙硫菌唑、苯醚甲环唑、戊唑醇、井冈霉素、异菌脲、代森锰锌、克菌丹、精甲霜灵、氟唑菌酰胺、噻呋酰胺、氟啶胺、乙蒜素、噁霉灵、三氟甲氧威、氨基寡糖素和烯酰吗啉等杀菌剂按一定比例混用分别对玉米茎基腐病、小麦赤霉病、向日葵菌核病、苹果轮纹病、黄瓜炭疽病、小麦纹枯病、棉花黄萎病和黄瓜霜霉病等病害防控具有协同增效作用。噻吡菌酯可能的创制思路和合成路线见图10,合成可共用aminopyrifen的中间体。


表4  噻吡菌酯对病原真菌的菌丝生长抑制活性(4 d)


图10  噻吡菌酯的创制思路和合成路线


2.3  三唑类杀菌剂


Carmeconazole(开发代码KNF-1934)是由日本Kureha Corporation(吴羽株式会社)继种菌唑(ipconzole)和叶菌唑(metconazole)后新开发的三唑类杀菌剂,可视为由苯醚甲环唑的二氧戊环开环修饰得到,推测其作用机制与之相同,为麦角甾醇的生物合成抑制剂。生物活性和药效测试结果表明,carmeconazole 1.255 mg/L对小麦赤霉病(3 d)和小麦散黑穗病(Ustilago nuda,7 d),5 mg/L对小麦网斑病(Pyrenophora teres,3 d)、小麦红色雪腐病(Microdochium nivale,3 d)、小麦叶枯病(Zymoseptoria tritici,14 d)、水稻纹枯病(1 d)、水稻恶苗病(Gibberella fujikuroi,3 d)和菌核病(Sclerotinia sclerotiorum),0.635 mg/L对水稻稻瘟病(Pyricularia oryzaeMagnaporthe oryzae,7 d),0.085 mg/L对小麦立枯病(Gaeumannomyces graminis,3 d)的室内防效均≥80%;100 g/hm2对小麦红锈病(14 d)和黄瓜灰霉病(4 d)的盆栽防效均≥70%;20 g/100 kg种子处理小麦种子对小麦红锈病(11 d)的防效达99%,生长程度(16 d)达100%;90150 g/hm2处理2次对小麦叶枯病的田间防效达92%93%。Carmeconazole可能的创制思路和合成路线见图11,合成可共用苯醚甲环唑的中间体。值得注意的是,carmeconazole中存在一个手性碳原子,同时三氮唑也存在同分异构体,其中日本吴羽株式会社合成专利中报道的三氮唑-1-基和三氮唑-3-基的比例为85∶15和95∶5。


图11  Carmeconazole的创制思路和合成路线


2.4  三氟甲基噁二唑类杀菌剂


Cyprometoxazam是继flufenoxadiazam后ISO批准的第2个三氟甲基噁二唑类杀菌剂,可视为对flufenoxadiazam的甲酰胺支链部分进行修饰而来。推测cyprometoxazam的作用机制与flufenoxadiazam类同,为Ⅱ类选择性组蛋白去乙酰化酶(HDAC)抑制剂。研究结果表明,cyprometoxazam 200 mg/L对小麦叶锈病(Puccinia recondita f.sp.tritici)的79 d预防和68 d治疗的防效均≥80%,对亚洲大豆锈病(Phakopsora pachyrhizi)1214 d预防的防效≥80%,对黄瓜炭疽病(Colletotrichum lagenarium)34 d预防的防效≥80%,同时与苯并烯氟菌唑(benzovindiflupyr)、氟唑菌酰胺、氟唑菌酰羟胺、吡噻菌胺、苯醚甲环唑、环丙唑醇、戊唑醇、己唑醇、丙硫菌唑、嘧菌酯、肟菌酯、啶氧菌酯、吡唑醚菌酯、精甲霜灵、苯锈啶、丁苯吗啉、嘧菌环胺、咯菌腈、螺环菌胺、代森锰锌、百菌清、环酰菌胺、咪鲜胺、氟噻唑吡乙酮、双炔酰菌胺、氟啶胺、三乙膦酸铝、抗倒酯、活化酯、草甘膦、2,4-滴和噻虫嗪等农药按一定比例混用对亚洲大豆锈病、葡萄白粉病、黄瓜炭疽病和小麦叶锈病预防具有协同增效作用。Cyprometoxazam的熔点3841℃,可能的创制思路和合成路线见图12,合成可共用flufenoxadiazam的关键中间体。


图12  Cyprometoxazam的创制思路和合成路线


2.5  芳甲酰环丁胺类杀菌/线虫剂


硝苯菌酰胺是继三氟吡啶胺(cyclobutrifluram)后第2个英文通用名获ISO批准的新型芳甲酰环丁胺类杀菌/线虫剂。该中国创制品种可视为由三氟吡啶胺进行结构修饰而来,即由溴替换氯、硝基苯替换三氟甲基吡啶。推测其作用机制与三氟吡啶胺类似,为线粒体呼吸链复合体Ⅱ抑制剂(即琥珀酸脱氢酶抑制剂)。室内生测结果表明,硝苯菌酰胺及其(1S,2S)-对映体对多种植物寄生线虫和植物真菌性病害具有较高的离体生物活性,且对南方根结线虫的杀线虫活性优于三氟吡啶胺(表5);同时与阿维菌素、噻唑膦或氟烯线砜混用对黄瓜南方根结线虫防控具有较好的协同增效作用,与三唑类、甲氧基丙烯酸酯类、吡啶酰胺类、氯腈类、酰胺类、二硝基苯胺类、氰基丙烯酸酯类、二甲酰亚胺类、二硫代氨基甲酸酯类和农用抗生素类等杀菌剂按1∶21∶80混用对番茄灰霉病、小麦赤霉病和茎基腐病、玉米茎基腐病、水稻恶苗病和豇豆枯萎病防控都具有协同增效作用。此外,硝苯菌酰胺还可用于早疫病和土传镰刀菌等病害以及水稻干尖线虫等防控,对作物安全性高且持效期长。硝苯菌酰胺为顺式异构体,其中(1S,2S)-对映体占比80%以上,可能创制思路和合成路线见图13。


表5  硝苯菌酰胺及其(1S,2S)-对映体的生物活性


图13  硝苯菌酰胺的创制思路和合成路线


2.6  吡唑酰胺类杀菌剂


烯丙唑菌胺为中国创制的新型杀菌剂,可视为引入突烯结构对氟唑菌酰羟胺或isoflucypram进行修饰得到,其作用机制与之相同,为琥珀酸脱氢酶泛醌结合位点抑制剂。烯丙唑菌胺10μmol/L对琥珀酸脱氢酶的抑制率>90%,与氰烯菌酯不存在交互抗性。室内生测结果表明,烯丙唑菌胺对小麦白粉病(6.25100 mg/L)和黄瓜白粉病(100 mg/L)的盆栽活体防效≥80%,比氟唑菌酰羟胺、烯肟菌胺和丙硫菌唑更好或与之相当,1.562525 mg/L对马铃薯晚疫病、油菜菌核病、小麦赤霉病和纹枯病、烟草赤星病、番茄早疫病、辣椒疫霉病、西瓜枯萎病和玉米大斑病病原菌菌丝生长的离体抑制率也与氟唑菌酰羟胺大致相当或更好;50200 mg/L对黄瓜白粉病的防效为82%92%,与氟唑菌酰羟胺100 mg/L(92%)和29%吡萘·嘧菌酯SC 100 mg/L(95%)相当;5 mg/L对水稻恶苗病病原菌敏感菌株和抗性菌株的保护和治疗活性均显著优于氰烯菌酯,且保护活性优于治疗活性。进一步的研究表明,烯丙唑菌胺对禾谷镰刀菌和假禾谷镰刀菌菌丝生长的EC50值分别为0.014、0.064 mg/L,与叶菌唑(0.011、0.026 mg/L)相当而明显优于丙硫菌唑(1.795、0.203 mg/L)和氟唑菌酰羟胺(0.030、0.105 mg/L),且与叶菌唑或丙硫菌唑以一定比例混用对上述2种真菌具有协同增效作用;对禾谷镰刀菌和假禾谷镰刀菌孢子萌发的EC50值分别为0.0665、0.1144 mg/L,对应不敌和优于氟唑菌酰羟胺(0.0608、0.1624 mg/L);其制剂10% EC在田间以有效成分剂量150、180 g/hm2施用对小麦赤霉病的平均防效分别为85.79%、91.95%,与20%氟唑菌酰羟胺SC以有效成分剂量150 g/hm2施用的防效(86.73%)相当,而显著优于30%丙硫菌唑OD以有效成分剂量180 g/hm2施用的防效(82.47%),且降低脱氧雪腐镰刀菌烯醇(DON)类真菌毒素的效果明显。此外,烯丙唑菌胺对斑马鱼的LC50(96 h)为1.010 mg/L,安全性优于氟唑菌酰羟胺(0.729 mg/L)。烯丙唑菌胺可能的创制思路和合成路线见图14,合成可共用吡唑酰胺类杀菌剂的关键中间体。


图14  烯丙唑菌胺的创制思路和合成路线


2.7  RNAi类杀菌剂


Erysichrona是继ledprona和vadescana后英文通用名获ISO批准的第3个RNAi类农药,也是首个获批的RNAi类杀菌剂,由美国绿灯生物科技公司(GreenLight Biosciences,Inc.)与美国农业部合作开发。该杀菌剂通过特异性干扰ES43双链RNA,抑制真菌体内麦角固醇生物合成所必需的细胞色素P450羊毛甾醇-14α-脱甲基酶(Cyp51)的基因表达,从而控制葡萄白粉病(Erysiphe necatorUncinula necator)。叶片圆盘试验和qRT-PCR分析结果表明,外源性erysichrona处理可使ES43(或Cyp51)基因沉默,6 d转录量降低70%。温室和田间试验结果还表明,erysichrona按剂量6.25100 g/hm2每周1次或2次对葡萄白粉病的防效与商业化生物杀菌剂Regalia/Double Nickel(有效成分剂量252、333 g/hm2)和Luna Experience/Pristine(有效成分剂量470 g/hm2/1.68×1013 CFU/hm2)大致相当。Erysichrona包含正义链和反义链,相关碱基序列见图15。


图15  Erysichrona的dsRNA子序列的碱基序列(5'-3'方向)


2.8  苯丙烯亚胺类杀线虫剂


Fenargimine是由反式肉桂醛与L-精氨酸直接缩合得到的含苯丙烯亚胺结构的席夫碱类杀线虫剂,也是继pioxaniliprole后第2个英文通用名获ISO批准的印度创制农药。推测fenargimine的杀线虫机制与反式肉桂醛相似,通过抑制烟碱乙酰胆碱受体、γ-氨基丁酸门控氯离子通道受体和谷氨酸门控氯离子等多靶标位点作用来快速改变线虫运动能力并抑制其卵孵化。研究结果表明,fenargimine具有优异的化合物稳定性,可制成GR、WG、WP、SC、DS和WS等类型制剂,500 mg/L处理对根结线虫(Meloidogyne spp.)2龄幼虫的离体防效≥70%。Fenargimine为(S,E,E)-式异构体,可能创制思路和合成路线见图16。


图16  Fenargimine的创制思路和合成路线


2.9  甲氧基丙烯酸酯类杀菌剂


Metcyclofenstrobin是先正达作物保护公司开发的又一新型甲氧基丙烯酸酯类杀菌剂,可视为用环己烷基对bifemetstrobin上的苯环进行替换修饰得到。推测metcyclofenstrobin的作用机制与bifemetstrobin等其他甲氧基丙烯酸酯类杀菌剂类同,为呼吸链线粒体复合物Ⅲ细胞色素bc1(泛醇氧化酶)外侧Qo位点(cyt b基因)抑制剂。室内生测结果表明,metcyclofenstrobin对小麦叶锈病8 d预防和治疗的防效≥80%(尤其在20200 mg/L时8 d治疗的防效≥90%);对亚洲大豆锈病12 d预防的防效≥70%,对黄瓜炭疽病3 d预防的防效≥70%。Metcyclofenstrobin按一定比例与草甘膦、2,4-滴,以及铜制剂、二硫代氨基甲酸酯类、三唑类、喹啉类、甲氧基丙烯酸酯类和芳基酰胺类等杀菌剂混用对花生褐斑病56 d治疗的防效>80%,且与flufenoxadiazam和吡啶菌酰胺(florylpicoxamid)混用对该病害的防控具有显著的协同增效作用;与氯腈类、三唑类、甲氧基丙烯酸酯类和芳基酰胺类等杀菌剂混用对小麦壳针孢叶枯病(Septoria tritici)3 d治疗的防效>80%,且与百菌清、丙环唑、己唑醇、环丙唑醇、咯菌腈、灭菌丹、quinofumelin、ipflufenoquin和吡啶菌酰胺等混用对该病害的防控具有显著的协同增效作用;与草甘膦、2,4-滴,以及铜制剂、二硫代氨基甲酸酯类、三唑类、喹啉类、甲氧基丙烯酸酯类和芳基酰胺类等杀菌剂混用对大豆斑枯病(Septoria glycines)3 d治疗的防效>80%,且与百菌清、丁苯吗啉、苯锈啶、多效唑、粉唑醇、环丙唑醇、戊唑醇、咯菌腈、灭菌丹、氟吡菌酰胺、苯并烯氟菌唑、吡唑萘菌胺、氟唑菌酰胺、ipflufenoquin、flufenoxadiazam和吡啶菌酰胺等混用对该病害的防控具有显著的协同增效作用;与草甘膦、2,4-滴,以及铜制剂、二硫代氨基甲酸酯类、三唑类、喹啉类、甲氧基丙烯酸酯类和芳基酰胺类等杀菌剂混用对黄瓜炭疽病3 d预防的防效≥80%,且与百菌清、代森锰锌、灭菌丹、丙硫菌唑、苯并烯氟菌唑、氯氟醚菌唑、ipflufenoquin、aminopyrifen和吡啶菌酰胺等混用对该病害的防控具有显著的协同增效作用;与甲氧基丙烯酸酯类和芳基酰胺类杀菌剂混用对靶斑病(Corynespora cassiicola的防控具有显著的协同增效作用;与丁苯吗啉、苯锈啶、代森锰锌、百菌清、灭菌丹、肟菌酯、嘧菌酯、metyltetraprole、吡唑醚菌酯、氟唑菌酰羟胺、丙硫菌唑、苯醚甲环唑和环丙唑醇等混用对亚洲大豆锈病的防控具有显著的协同增效作用。Metcyclofenstrobin为(Z)-式异构体,熔点131132℃,可能创制思路和合成路线见图17,合成可共用bifemetstrobin的中间体。


图17  Metcyclofenstrobin的创制思路和合成路线


2.10  嘧啶胺(或喹唑啉)类杀菌剂


喹菌胺(开发代号SYP-34773)是沈阳中化农药化工研发有限公司基于diflumetorim利用中间体衍生化法发现并由江苏扬农化工股份有限公司开发的新型杀菌剂,其保留了metyltetraprole和吡唑醚菌酯结构中的[1-(4-氯苯基)-1H-吡唑-3-氧基]片段以及喹螨醚(fenazaquin)的喹唑啉部分。喹菌胺为线粒体呼吸电子传递链复合物Ⅰ(泛醌氧化还原酶,NADH)抑制剂,其作用机制与diflumetorim和喹螨醚类同。对于稻瘟病,喹菌胺与diflumetorim存在交互抗性,但与稻瘟灵、多菌灵、氟啶胺、嘧菌酯和咪鲜胺之间不存在交叉抗性,细胞色素P450的3种基因MoCYP1-1MoCYP1-2MoCYP1-3对其抗性起重要作用;对于荔枝疫霉菌(Phytophthora litchii),喹菌胺与diflumetorim、苯酰菌胺(zoxamide)、烯酰吗啉、嘧菌酯、氟噻唑吡乙酮(oxathiapiprolin)、氟啶胺、唑嘧菌胺(ametoctradin)和氰霜唑之间不存在交叉抗性。室内生测结果表明,喹菌胺25 mg/L对黄瓜灰霉病菌的离体抑制率>80%(1 d),6.25、25 mg/L对黄瓜霜霉病菌的活体保护防效分别为>80%、96%(1 d),25、100 mg/L对黄瓜炭疽病菌的活体保护防效分别为>80%、100%(1 d),400 mg/L对小麦白粉病菌的活体保护防效>80%(1 d)。进一步的研究结果还表明,喹菌胺可抑制担子菌门、子囊菌门、接合菌门和卵菌门类等多种病原真菌的菌丝生长,10 mg/L对丝孢堆黑粉菌(Sporisorium reilianum)和致病疫霉菌(Phytophthora infestans)的抑制率达100%;喹菌胺对菌丝生长阶段的小麦散黑穗病菌、致病疫霉菌和稻瘟病的EC50分别为0.1185(7 d)、0.2030(7 d)、0.0800(5 d)mg/L,对游离孢子释放和囊孢萌发阶段致病疫霉菌的EC50分别为0.6672、15.3648 mg/L,其在菌丝生长阶段的生物活性最高;在菌丝生长、孢子生成、孢子萌发、游动孢子释放和囊孢萌发阶段,喹菌胺对荔枝疫霉菌的EC50(5 d)分别为0.108、2.042、1.798、0.443、2.685 mg/L。田间试验结果表明,喹菌胺150600 g/hm2施用对水稻稻瘟病的防效均>90%,优于40%稻瘟灵EC(有效成分剂量300600 g/hm2);10%喹菌胺SC按有效成分剂量100、200 mg/L对马铃薯晚疫病的平均防效分别为55.30%、69.55%,优于10%氰霜唑SC(有效成分剂量100 mg/L)、20%氟吗啉WP(有效成分剂量200 mg/L)和50%氟啶胺SC(有效成分剂量200 mg/L),但不如80%代森锰锌WP(有效成分剂量1,000 mg/L);10%喹菌胺SC按有效成分剂量100、200 mg/L对番茄晚疫病的平均防效分别为74.07%、81.48%,优于10%氰霜唑SC(有效成分剂量100 mg/L)和20%氟吗啉WP(有效成分剂量200 mg/L)。喹菌胺的熔点为176.4℃,化学结构及可能的创制思路和合成路线见图18,合成可共用喹螨醚和metyltetraprole或吡唑醚菌酯的中间体。


图18  喹菌胺的创制思路和合成路线


3  除草剂


按化学结构和作用机制分类,2025年新公布的7种除草剂可归为吡咯酮酰胺、N-芳基酰亚胺、苯氧基吡啶、嘧啶羧酸和苯甲酰吡唑等五大类。


3.1  吡咯酮酰胺类除草剂


二甲吡草胺是青岛清原化合物公司创制的具有杀菌作用的新型除草剂,可视为对四氟咯草胺(tetflupyrolimet)的2个苯环同时进行修饰得到。推测该除草剂的作用机制与四氟咯草胺类同,为二氢乳清酸脱氢酶(DHODH)抑制剂。据报道,二甲吡草胺主要用作水稻田封闭除草剂,具有适用性广(适用于多种耕作方式)和持效期长等优点。室内生测普筛结果表明,二甲吡草胺120 g/hm2苗前封闭处理稗草、稻稗、马唐和千金子的防效达100%(15 d),同时对淮稻安全、对稻稗的除草活性优于同剂量的外消旋体;二甲吡草胺400 mg/L处理水稻纹枯病和苹果轮纹病的防效分别为66%、55%(4 d)。同时,二甲吡草胺与多种选择性和非选择性除草剂混用对靶标杂草防控均具有不同程度的增效作用。二甲吡草胺的可能的创制思路和合成路线见图19,合成可共用四氟咯草胺的中间体。


图19  二甲吡草胺的创制思路和合成路线


3.2  N-芳基酰亚胺类除草剂


Fendioxypyracil和氟丙草嗪属于N-芳基酰亚胺类新型除草剂。Fendioxypyracil由巴斯夫欧洲公司开发,可视为将epyrifenacil中的苯环和吡啶环位置互换得到。推测fendioxypyracil的作用机制与epyrifenacil类同,为原卟啉原氧化酶(PPO)抑制剂。室内生测结果表明,fendioxypyracil 16 g/hm2苗前处理对反枝苋(Amaranthus retroflexus)、藜(Chenopodium album)、稗草(Echinocloa crus-galli)和狗尾草(Setaria viridis)的防效≥85%(1428 d),24 g/hm2苗前处理对苋属杂草Amaranthus tamariscinus敏感种群和含△G210突变的原卟啉原氧化酶抑制剂类抗性1和2型种群的防效达87%~100%(1428 d)。Fendioxypyracil对Amaranthus tamariscinus杂草敏感种群的防效不高于抗性种群或与之相当但都优于唑啶草酮(azafenidin),同时对原卟啉原氧化酶中Arg128Met、Arg128Gly、Arg128His、Arg128Ile、Arg128Lys和Gly399Ala单位点或多位点突变的杂草也有效,说明其对原卟啉原氧化酶的作用方式可能与现有的除草剂不同。巴斯夫欧洲公司等开发了fendioxypyracil与精草铵膦、草甘膦或2,4-滴等除草剂混用产品并申请了多个专利。Fendioxypyracil可能的创制思路和合成路线见图20,合成可共用epyrifenacil的中间体。


图20  Fendioxypyracil的创制思路和合成路线


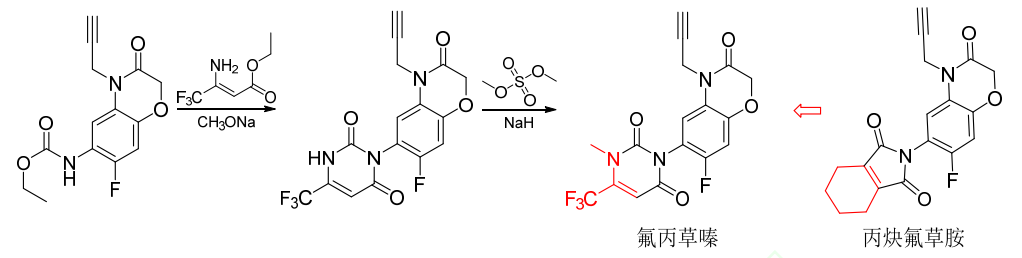
氟丙草嗪是汽巴-嘉基公司研发的化合物(化合物专利已过期),由辽宁先达农业科技有限公司及其关联公司山东先达农化股份有限公司和沈阳万菱生物技术有限公司将其作为除草剂新品种进行开发,开发代号CDH22117。氟丙草嗪可视为用嘧啶二酮对丙炔氟草胺(flumioxazin)的环己烯二甲酰亚胺进行修饰得到,为PPO抑制剂,其作用机制与丙炔氟草胺和epyrifenacil类同。室内生测普筛结果表明,氟丙草嗪1040 g/hm2苗前土壤处理(21 d)和苗后23叶期茎叶喷雾处理(28 d)对稗草、马唐(Digitaria adscendens)、具芒碎米莎草(Cyperus microiria)、龙葵(Solanum nigrum)、纤毛牛膝菊(Galinsoga ciliate)和焊菜(Rorippa indica)的防效均>90%。增效试验结果表明,氟丙草嗪与包含PPO抑制剂在内的除草剂混用对温室和田间的稗草、狗尾草、苘麻、异型莎草、看麦娘和播娘蒿等多种杂草防控均有协同增效作用。氟丙草嗪可能的创制思路和合成路线见图21,合成可共用丙炔氟草胺的中间体。选用合适的溶剂,通过超声挥发、(缓慢或快速)加热降温或溶剂-反溶剂进行结晶纯化可得到氟丙草嗪原药的单斜晶型A和B,其含量更高、稳定性更高、更容易磨细、生物活性或药效更好,用于制成的SC、OD、WP和WG制剂的理化性能和药效性能更佳。


图21  氟丙草嗪的创制思路和合成路线


3.3  苯氧基吡啶类除草剂


氟啶草醚是青岛清原化合物公司创制的又一新型除草剂,可视为对吡氟酰草胺(diflufenican)等吡啶上的基团进行修饰得到。推测氟啶草醚的作用机制与吡氟酰草胺类同,为八氢番茄红素去饱和酶(PDS)抑制剂。室内生测结果表明,氟啶草醚按有效成分剂量15 g/hm2苗前处理对播娘蒿、婆婆纳、龙葵、马唐、狗尾草和反枝苋等杂草的防效达100%(21 d),并对玉米、大豆和棉花安全;相同剂量处理对千金子、马唐、鸭舌草(磺酰脲类抗性种群)和碎米莎草(磺酰脲类抗性种群)的防效也达100%(15 d)。同时,氟啶草醚与包括氟砜草胺(flusulfinam)、氟氯氨草酯(fluchloraminopyr-tefuryl)、氟草啶(flufenoximacil)、溴噁草松(broclozone)、氟溴草醚(cinflubrolin)、四氟咯草胺、苯嘧草唑(isoxafenacil)和氟嘧硫草酯(tiafenacil)在内的多种选择性和非选择性除草剂混用对靶标杂草防控均具有不同程度的增效作用。氟啶草醚可能的创制思路和合成路线见图22,合成可共用吡氟酰草胺、flufenican和氟吡酰草胺(picolinafen)等吡啶类除草剂的中间体。


图22  氟啶草醚的创制思路和合成路线


3.4  嘧啶羧酸类除草剂


三氟嘧草酸(酯)是青岛清原化合物公司创制的选择性类除草剂,三氟嘧草酯可视为用嘧啶基对氟氯吡啶酯(halauxifen-methyl)和氯氟吡啶酯(florpyrauxifen-benzyl)上的吡啶基进行替换后进一步进行修饰得到。推测三氟嘧草酸(酯)的作用机制与氟氯吡啶酯和氯氟吡啶酯类同,为激素合成模拟剂。室内生测结果表明,三氟嘧草酯按剂量30 g/hm2在23叶期处理对禾本科杂草婆婆纳的防效达100%(21 d),且对玉米、小麦、水稻、油菜、白菜和萝卜安全。同时,三氟嘧草酯与包括双唑草酮(bipyrazone)、环吡氟草酮(cypyrafluone)、苯唑氟草酮(fenpyrazone)、三唑磺草酮(tripyrasulfone)、氟砜草胺(flusulfinam)、溴噁草松(broclozone)、氟溴草醚(cinflubrolin)、氟氯吡啶酯和氯氟吡啶酯等在内的多种选择性除草剂混用对单子叶和双子叶杂草防控均具有不同程度的增效作用。三氟嘧草酸(酯)可能的创制思路和合成路线见图23。


图23  三氟嘧草酸(酯)的创制思路和合成路线


3.5  苯甲酰吡唑类除草剂


噁唑磺草酮和苯噁吡草酮是继双唑草酮(bipyrazone)、环吡氟草酮(cypyrafluone)、苯唑氟草酮(fenpyrazone)、吡唑喹草酯(pyraquinate)和三唑磺草酮(tripyrasulfone)后英文通用名获ISO批准的中国创制的2种新型苯甲酰吡唑类除草剂,可分别视为对三唑磺草酮的3个吡唑环和苯唑草酮(topramazone)的羟基(或tolpyralate苯环上的醚基)进行修饰得到,推测其也属于对羟基苯基丙酮酸双加氧酶(4-HPPD)抑制剂。据开发专利报道,低剂量的噁唑磺草酮对稗草、马唐和苘麻等杂草具有很好的除草效果,同时对作物较为安全,但尚未见其具体的试验数据。室内生测结果表明,苯噁吡草酮对禾本科、阔叶和莎草科杂草的防效优于苯唑草酮或与之相当(表6),且抗雨水冲刷性能(药后0.5 h下雨不影响药效)优于苯唑草酮,高剂量120 g/hm2对常规玉米、甜玉米和糯玉米安全。进一步的研究还表明,苯噁吡草酮与N-芳基酰亚胺类除草剂epyrifenacil按1∶2020∶1对田间多种杂草防控具有显著的增效作用。


表6  苯噁吡草酮对靶标杂草的抑制中剂量


噁唑磺草酮和苯噁吡草酮可能的创制思路和合成路线见图24、图25。噁唑磺草酮合成可共用三唑磺草酮的关键中间体,苯噁吡草酮则可直接由苯唑草酮一步合成。


图24  噁唑磺草酮的创制思路和合成路线


图25  苯噁吡草酮的创制思路和合成路线


4  总结与展望


农药新品种的持续研究、登记、上市与推广,为农民和种植者防治有害生物提供了更为丰富的工具,有助于缓解有害生物耐药性增强和农药登记监管趋严的双重压力,对实现农药减量增效和保护生物多样性具有重要意义,更为保障粮食安全、推动农业及社会经济的可持续发展奠定了坚实基础。农药新品种的商业化涉及研发生产投入、应用技术攻关、田间药效评估、登记注册及应用推广等多个环节,而向ISO申请并获取国际英文通用名,既是将具有潜在开发价值的新农药品种推向国际市场的关键步骤,也是农药规范化管理的重要环节。


结合我们既往的总结报道统计(图26),1998—2025年间,316种农药新品种英文通用名先后获ISO批准,其中中国本土创制品种67种,占比21.5%;印度本土创制品种2种,占比0.6%。从年度获批数量变化趋势来看,全球新农药获批数量呈逐年下降态势,而中国获批数量则持续攀升。2025年是ISO/TC 81秘书处正式落户中国后首年,中国本土创制农药获批17种,占当年全球获批总数的70.8%,创历史新高。值得关注的是,全球新农药获批数量在1999、2006、2012、2017、2021及2025年达到17种及以上的峰值,且峰值年份的间隔周期从7年逐步缩短至4年。


图26  1998—2025年ISO公布的农药新品种数量及其趋势


基于2025年ISO批准并公开的24种新农药的创制特征与开发规律分析,可以得出以下结论:


(1)新农药多源于现有先导化合物的结构修饰,作用机制与靶标谱具有延续性,生物活性相当或更优,且可共用关键合成中间体,如苯噁吡草酮可通过苯唑草酮直接醚化制备、fenargimine可由肉桂醛和L-精氨酸一步合成。


(2)立体异构农药仍是研发热点,氰烯菌胺、啶蚜胺、fentiazoluron、萘异噁唑酰胺、吲哚螨砜、四氟苯烯菊酯、carmeconazole、硝苯菌酰胺、fenargimine、metcyclofenstrobin、二甲吡草胺和苯噁吡草酮等12个新农药涉及立体异构体,其中氰烯菌胺、fentiazoluron、四氟苯烯菊酯和metcyclofenstrobin为(Z)-式异构体,二甲吡草胺和fenargimine分别为(3S,4S)-对映体和(S,E,E)-对映体,硝苯菌酰胺则以(1S,2S)-对映体占优势。


(3)协同增效研究成为创新开发和知识产权保护的重要领域,啶蚜胺、氯虫啶、氰烯菌胺、噻吡菌酯、硝苯菌酰胺、cyprometoxazam、metcyclofenstrobin、二甲吡草胺、氟丙草嗪、氟啶草醚和三氟嘧草酸(酯)等11个新农药均披露了与其他农药混用时的配比和增效效果。


(4)低毒化和性能强化等成为差异筛选的重要考量,如氯虫啶在提升二化螟活性的同时降低了蜜蜂毒性,四氟苯烯菊酯兼具高击倒活性和低毒性,苯噁吡草酮在提高除草活性的同时增强了耐雨水冲刷性。


(5)细分靶标防控产品与全新作用机制品种构成新农药研发热点,其中吲哚螨砜、四氟苯烯菊酯、硝苯菌酰胺和fenargimine分别针对螨虫、卫生害虫、线虫等细分领域,而fentiazoluron则可能具备全新的作用机制。


(6)新农药的成酯成盐策略呈现显著创新,如与氟氯吡啶酯和氯氟吡啶酯成甲酯或苄酯不同,三氟嘧草酸成甲氧乙基酯,氰烯菌胺则与多种有机酸成盐以提升水溶性与药效。


(7)开环闭环、芳环替换、基团桥接和羟基保护等结构修饰策略已成为新农药创制的可行策略,carmeconazole、metcyclofenstrobin、fendioxypyracil、喹菌胺和苯噁吡草酮等品种的创制实践为相应策略应用提供了参考。


(8)深度筛选和挖掘过期专利中的已知化合物,对其新应用、路线、晶型、单剂或复配制剂等进行2次开发,并构建针对性知识产权保护壁垒,是极具潜力的研发方向,有望实现商业化突破。


(9)从通用名获批与专利申请的时间差看,中国与印度本土企业的研发转化周期显著短于国际同行,展现出独特的效率优势。


(10)RNAi农药研发热度不减,印度农药创制持续发力,分别催生出了erysichrona和fenargimine 2款新品。


(11)中国医药企业跨界参与新农药创制,凭借技术积累与资源整合能力,逐步成为全球研发体系的重要新兴力量。


为推动农药新品种的产业化和商业化落地及对农业与社会经济发展的支撑作用,未来可重点从以下4方面开展工作:


第一,强化原药与制剂研发,通过合成路线优化、生产工艺改进和配方升级等措施,实现产品品质提升与生产成本降低。


第二,加大创制投入与理论方法创新,拓展新作用靶标与先导化合物资源,引入人工智能辅助设计技术,研发具备全新结构、机制新颖的绿色农药品种,契合法规要求与可持续发展需求。


第三,加强抗药性监测与机制研究,通过综合防治、药剂轮换和增效剂混用等措施,构建科学的抗性管理体系,实现减量增效目标。


第四,完善配套应用技术研发,开展系统性田间试验与示范推广,强化技术培训与宣传,充分发掘新品种的应用优势,使其成为破解农业种植痛点、促进作物提质增产与农民增收的核心工具。

相关推荐