值得重点开发的杀螨剂产品之——灭螨醌

作者:李祝明 2024/1/18 14:44:56
灭螨醌(acequinocyl)是由杜邦公司(现科迪华)1975年研发的萘醌类触杀型(兼具胃毒)杀螨杀线虫剂,后杜邦公司将权益转给Agro-Kanesho公司,由于其低毒、安全、高效的特性和独特的作用机理,在国外被广泛用于果树和蔬菜,特别是柑橘和苹果防治柑橘全抓螨,叶螨、瘦螨等螨类,同时对蚜虫和线虫也十分有效。杜邦针对该成分在中国并未申请专利,在其他国家专利期早在1987年已届满,随着近几年国内杀

灭螨醌(acequinocyl)是由杜邦公司(现科迪华)1975年研发的萘醌类触杀型(兼具胃毒)杀螨杀线虫剂,后杜邦公司将权益转给Agro-Kanesho公司,由于其低毒、安全、高效的特性和独特的作用机理,在国外被广泛用于果树和蔬菜,特别是柑橘和苹果防治柑橘全抓螨,叶螨、瘦螨等螨类,同时对蚜虫和线虫也十分有效。

杜邦针对该成分在中国并未申请专利,在其他国家专利期早在1987年已届满,随着近几年国内杀螨剂市场的增速发展,灭螨醌又成为一个在国内比较受关注的成分,目前该成分在国内主要由浙江永农生物主导开发,浙江永农围绕其中间体“指甲花醌”申请了多项合成专利,近日由其开发的制剂15%灭螨醌EW(商标:法保®)已进入田间药效试验阶段,预计2024年将推向市场。

图片

产品简介

-LI-ZHUMING-

英文名称:acequinocyl

中文名称:灭螨醌
其他名称:亞醌蟎、AKD 2023、DPX 3792、Piton、Kanemite、Shuttle
化学名称:(3-十二烷基-1,4-二氧亚基萘-2-基) 乙酸酯
分子式:C24H32O4
相对分子质量:384.509
CAS登录号:57960-19-7
结构式:
图片
三维结构式:
图片
理化性质:纯品为黄色粉末,熔点59.6℃。蒸气压5.1×10-2Pa (40℃)。相对密度1.15(25℃)。分配系数KowlgP〉6.2 (25℃)。Henry常数9.7X10-2 Pa?m3/mol。水中溶解度(20℃) 6.69μg/L;其他溶剂中溶解度(g/L,20℃):正己烷44、甲苯450、二氯甲烷620、酮220、甲醇7.8、DMF190.乙酸乙酯290、异丙醇29、乙腈28、DMSO 25、辛醇31、乙醇23、二甲苯730。稳定性:在200℃时分解。水解DT50(暗处)74d (pH = 4,25℃),5(pH=7,25℃), 76min (pH=9, 25℃)。水中光解DT5014min (pH=5, 25℃)。
毒性:急性经口LD50:大鼠〉5000mg/kg,小鼠gt;5000mg/kg。大鼠急性经皮LD50 2000mg/kg。大鼠吸入LC50〉0.84mg/L。对兔眼睛和皮肤有轻微刺激性。对豚鼠无皮肤致敏。NOEL值:大鼠9.0mg/(kg ? d),小鼠2.7mg/(kg·d),狗5mg/(kg·d)。无生殖毒性(大鼠),无发育影响(大鼠,兔),无致癌(大鼠,小鼠),无致突变性(Ames试DNA修复与染色体实验)。

图片

作用机理

-LI-ZHUMING-

灭螨醌是一种萘醌衍生物,属于触杀型杀螨剂,同时具有胃毒作用。在螨虫体内,灭螨醌会水解成2-十二烷基-3-羟基-1,4-萘醌,并能够与线粒体中的电子转移通道上的Qo位点相结合,从而抑制电子传递。这种抑制作用会导致螨虫的能量代谢受到干扰,最终导致其死亡。

图片

应用

-LI-ZHUMING-

适用作物:用于柑橘、苹果、梨、桃、櫻桃、甜瓜、黄瓜、茶、观赏性植物、蔬菜。
防治对象:柑橘全爪螨、叶螨、瘦螨、茶黄螨、苹果红蜘蛛;对多种螨的卵、幼虫、若虫有效。
开发剂型:15%灭螨醌SC、15%灭螨醌EW
应用技术:果树200-1000g/hm2,蔬菜150-450g/hm2;除了部分草莓和玫瑰外其他无药害报道,不能与强碱性农药混配。

图片

登记情况

-LI-ZHUMING-

国内无登记
美国:
在20世纪60年代,美国化学公司American Cyanamid Company登记灭螨醌,商品名:Kanemite®‍‍
日本:
1970年日本三共公司推出灭螨醌产品,商品名:Shuttle®
1975年由日本住友化学株式会社推出灭螨醌产品,商品名:Piton®
澳大利亚:
2020年由爱利思达在澳大利亚推出杀螨剂Kanemite(含有活性成分灭螨醌)

图片

合成路线

-LI-ZHUMING-

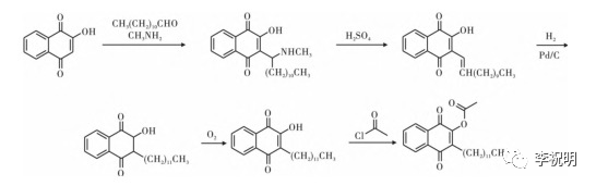
灭螨醌的合成:
以2-羟基-1,4-萘醌(指甲花醌)、甲胺、正十二醛、乙酰氯为起始原料,经缩合、脱胺、氢化、氧化、酯化反应得灭螨醌。其合成路线如下:
图片

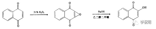
2-羟基-1,4-萘醌的合成:
1,4萘醌用31%双氧水环氧化后,在醇-醚混合溶剂中进行碱性水解得到2-羟基-1,4萘醌;两步收率82%;反应式如下:
图片

图片

未来复配推介

-LI-ZHUMING-

灭螨醌+四螨嗪、三唑锡、苯丁锡、氟螨嗪、溴螨酯:对危害农业生产的多种害螨具有增效作用,减少了农药用药量,降低了农药在作物上的留残量,减轻了环境污染,对人畜安全,环境相容性好,害螨不易产生抗药性。
灭螨醌+乙螨唑:本发明的杀螨组合物对危害植食性螨类有良好的防治效果,对各类具有抗性的螨防治效果尤为显著。
灭螨醌+螺螨酯、嘧螨酯、唑螨酯、丁氟螨酯可防治多种害螨,并具有明显的增效作用,并且可减少农药用药量,降低农药在作物上的残留量,减轻环境污染。
灭螨醌+吡螨胺、噻螨酮、喹螨醚、苄螨醚:可防治多种害螨,并具有明显的增效作用,并且可减少农药用药量,降低农药在作物上的残留量,减轻环境污染。
灭螨醌+哒螨灵、炔螨特、联苯肼酯:可防治多种害螨,并具有明显的增效作用,扩大了杀螨谱,并且可减少农药用药量,降低农药在作物上的残留量,减轻环境污染。
灭螨醌+阿维菌素、伊维菌素、甲氨基阿维菌素苯甲酸盐、弥拜菌素:该杀螨组合充分利用有效组分的各自作用机理,使得两种组分协同作用,从而使该杀螨剂能有效的延缓或克服害螨的抗药性。
灭螨醌+腈吡螨酯作为防治柑橘红蜘蛛的农药残留浓度低且毒性组分用量少的农药组合。

图片

总结

-LI-ZHUMING-

灭螨醌是一个早已经过专利期的老产品,它生物活性高,作用机理特殊,对环境安全,多年来一直是重点开发的杀螨剂产品之一,但在国内的应用推广并不多,希望在永农等优秀企业的努力下,灭螨醌能早日实现工业国产化,填补我国杀螨剂市场萘醌类化合物的空白。


相关推荐