五氟磺草胺及其关键中间体合成工艺全解析, 哪些是规模化生产更优解?

作者:《农药》2023年第11期 2023/12/21 10:48:08
五氟磺草胺(penoxsulam)是由美国陶氏益农公司(现科迪华)研制开发的一种三唑并嘧啶磺酰胺类苗后除草剂,主要用于水稻田。作为一乙酰乳酸合成酶(ALS)抑制剂,其具有低毒、高效、安全等优点。2004年9月24日,五氟磺草胺在美国EPA正式注册登记,2008年在中国登记,在我国登记了98%的原药和2.5%的油悬浮剂(商品名为稻杰®)。目前为止,五氟磺草胺应用范围已经覆盖了全球主要的水稻种植国家或

五氟磺草胺(penoxsulam)是由美国陶氏益农公司(现科迪华)研制开发的一种三唑并嘧啶磺酰胺类苗后除草剂,主要用于水稻田。作为一乙酰乳酸合成酶(ALS)抑制剂,其具有低毒、高效、安全等优点。2004年9月24日,五氟磺草胺在美国EPA正式注册登记,2008年在中国登记,在我国登记了98%的原药和2.5%的油悬浮剂(商品名为稻杰®)。

目前为止,五氟磺草胺应用范围已经覆盖了全球主要的水稻种植国家或地区,具有很好的应用开发前景。但是,美国陶氏益农公司的五氟磺草胺合成路线中使用到部分价格昂贵的原料,造成了五氟磺草胺价格始终居高不下。另外,其合成路线也存在着反应条件苛刻、难度较大、危险性高的问题,阻碍了其大规模产业化的步伐。

本文旨在总结国内外有关五氟磺草胺及其关键中间体2-氨基-5,8-二甲氧基[1,2,4]三唑并[1,5-c]嘧啶的合成研究进展,为寻求技术先进、环境友好、工艺条件温和、生产成本低廉,易于工业化生产的合成工艺提供建议,为五氟磺草胺的规模化生产提供借鉴。

01
Number
  五氟磺草胺的合成工艺


总结文献报道,从起始原料来分,目标物五氟磺草胺主要有5条合成路线,涉及到的关键中间体主要有2-氟-6-三氟甲基苯磺酰氯(1)、2-氨基-5,8-二甲氧基[1,2,4]三唑并[1,5-c]嘧啶(2)和2-(2,2-二氟乙氧基)-6-三氟甲基苯磺酰氯(3)。

1. 以间氟三氟甲苯为原料经中间体(1)合成五氟磺草胺的路线及其优化

1992—2004年美国陶氏益农公司以间氟三氟甲苯为起始原料,在正丁基锂(n-BuLi)和超低温(-78℃)条件下,和二氧化碳发生C-H羧基化反应生成2-氟-6-三氟甲基苯甲酸(4),中间体(4)与氯化亚砜、氨水反应生成相应的苯甲酰胺(5),中间体(5)与NaOH、Cl2发生霍夫曼重排反应生成2-氟-6-三氟甲基苯胺(6),收率为45%。
中间体(6)与亚硝酸钠、SO2和CuCl发生重氮化、磺酰化反应得到中间体2-氟-6-三氟甲基苯磺酰氯(1),收率为58%。中间体(1)在乙腈、吡啶和二甲亚砜中与中间体2-氨基-5,8-二甲氧基[1,2,4]三唑并[1,5-c]嘧啶(2)缩合,得到中间体2-氟-6-三氟甲基-N-(5,8-二甲氧基-[1,2,4]三唑并[1,5-c]嘧啶-2基)苯磺酰胺(7),收率为46%,缩合产物(7)与2,2-二氟乙醇发生醚化反应制备目标物五氟磺草胺,收率为83%(见图2)。
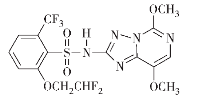
图片

图1  五氟磺草胺的化学结构式

图片
图2  以间氟三氟甲苯为原料经中间体(1)合成五氟磺草胺的路线
该工艺路线是经典的五氟磺草胺合成工艺,但是该工艺中制备中间体(4)时,需使用昂贵且易爆的n-BuLi,存在易燃易爆安全隐患,需要-78℃超低温和无水无氧条件,否则会产成大量异构体,降低反应选择性,生产成本高,工业化生产难度大。同时该工艺路线还存在磺酰化、缩合反应收率低和缩合反应时间长等问题。为了规避以上路线存在的问题,许多研发机构投入大量精力,致力于工艺优化改进。
2016年刘鹏着重对中间体(1)和中间体(2)缩合生成中间体(7)的反应条件、中间体(7)与2,2-二氟乙醇的醚化反应条件进行了优化改进:缩合反应在乙腈、吡啶和二甲亚砜基础上增加TBAI,反应温度由室温升高到回流,反应时间由9d缩短为11h,收率由46%提高到91.6%。醚化反应用无水碳酸钾和DMF替代了NaH和DMET,反应温度从28℃升高到100℃,反应时间由21h缩短为6h,收率提高到84.3%。
2017年王文等针对缩合产物(7)和2,2-二氟乙醇反应生成目标物五氟磺草胺的醚化反应条件进行了优化改进:先将强碱性物质(如金属钠)和2,2-二氟乙醇反应生成碱性较弱的2,2-二氟乙醇钠,2,2-二氟乙醇钠再与中间体(7)反应生成五氟磺草胺。
当强碱性物质分别为钠、叔丁醇钾和氢氧化钾时,收率分别为95%、93.5%和85%。这种工艺改进可以有效地减少在强碱性溶液中直接添加中间体(7)引起的副反应,进而降低杂质含量,提高产品纯度或者减少纯化步骤(无需乙腈重结晶纯化处理,即可得到纯度>98%的五氟磺草胺)。
2013年李映等对上述中间体(1)合成工艺进行了改进,2-氟-6-三氟甲基苯胺(6)的磺酰化反应用氯化亚砜替代二氧化硫,收率由58%提高到了80%。此工艺避免使用二氧化硫,减少了资源浪费和环境污染,反应条件温和可控,操作更安全,对设备要求低,溶剂可回收。
2020年杜友兴等开发了以间氟三氟甲苯为原料、经邻位锂化和磺酰化2步反应″一锅法″合成中间体(1)的工艺(见图3)。该路线原料简单易得,单元反应少,产生″三废″较少,反应总收率为86.8%,但是在锂化反应中依然使用了n-BuLi。
为了避免使用n-BuLi合成中间体(1),研究人员分别开发了以2,3-二氯三氟甲苯、邻三氟甲基苯胺和2-氯-6-三氟甲基苯胺为原料合成(1)的新工艺路线。2013年陈正伟等以2,3-二氯三氟甲苯为原料经氟化钾的氟置换、乙硫醇的烃硫基取代,再经氯气氧化氯代制得中间体(1)(见图4)。

该工艺路线原料易得,避免使用n-BuLi,安全性好,工艺简单,总收率为54%。熊莉莉等在36%浓盐酸和65%浓硝酸介质中经氯气氧化氯代反应制得中间体(1),收率达到90%,但装置腐蚀性较大,酸性废水较多。

图片
图3  以以间氟三氟甲苯为原料″一锅法″合成中间体
图片
图4  以间氟三氟甲苯为原料合成中间体(1)

2015年苗雨等发明了以邻三氟甲基苯胺为原料经过酰化、烷基化、硝化、脱烷基、还原、重氮化氟化、水解、磺酰化反应合成中间体(1)的新路线(见图5)。此工艺路线起始原料成本低廉易得,而且避免了使用n-BuLi的苛刻条件,单元反应简单、容易操作,各步工艺条件都比较温和,三废少,这种合成中间体(1)的方法具有一定的工业化价值。

图片
图5  以邻三氟甲基苯胺为原料合成中间体(1)

2016年于龙等以2-氯-6-三氟甲基苯胺为起始原料,经重氮化、磺酰化和氟取代反应制得中间体(1)(见图6)。该工艺路线新颖,氟代收率高。

图片
图6  以2-氯-6-三氟甲基苯胺为原料合成中间体(1)

2. 以间烷氧基(羟基)三氟甲苯为原料经中间体(3)合成五氟磺草胺的路线及其优化

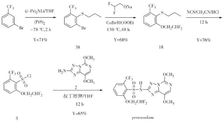
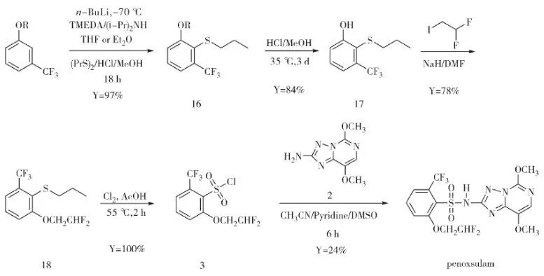
2005—2009年美国陶氏益农公司开发的路线以间烷氧基(羟基)三氟甲苯为起始原料,在超低温(-70℃),在n-BuLi、四甲基乙二胺(TMEDA)、二异丙基胺[(i-Pr)2NH]条件下和二丙基二硫反应得到中间体(16),收率为97%,中间体(16)在盐酸中醚键断裂转化为酚(17),收率为84%,中间体(17)在NaH作用下与2,2-二氟碘乙烷发生醚化反应得到中间体(18),收率为78%,中间体(18)经氯气氧化氯代反应生成中间体2-(2,2-二氟乙氧基)-6-三氟甲基苯磺酰氯(3),收率为100%,中间体(3)与中间体(2)直接缩合得到目标物五氟磺草胺,收率为24%(见图7)。

图片
图7  以间烷氧基(羟基)三氟甲苯为原料经中间体(3)合成五氟磺草胺的路线
该工艺路线的特点主要在于先在苯环上引入二氟乙氧基,再与中间体(2)缩合得到目标物五氟磺草胺。该反应路线相对较短,且生成中间体(3)的反应收率较高。由于仍用到了活性高、易起火爆炸的n-BuLi,反应仍需在超低温下进行,工艺条件依然苛刻。2010年孙智华等采用与上述相似的路线合成五氟磺草胺,仅在缩合反应中使用了催化量的相转移催化剂18-冠-6,使收率提高到90%。
2014年张跃等在五氟磺草胺缩合反应中使用了非亲核性碱或弱亲核性碱,如以二异丙基氨基锂[(i-Pr)2NLi]和THF反应体系替代了吡啶、乙腈和DMSO反应体系,收率提高到91%。此工艺是一种操作简便、反应速率快、生产效率和产物收率均有所提高的新工艺。

2016年袁文蛟等研发了由烷基磺酰氯或苯磺酰氯和2,2-二氟乙醇发生酯化反应生成磺酸酯(19),磺酸酯(19)和间三氟甲基苯酚反应生成中间体(20),在n-BuLi和反应促进剂(六甲基磷酰三胺、五甲基二乙烯三胺、四甲基乙二胺或鹰爪豆碱中的1种或2种以上)作用下,在超低温(-78°C)条件下,中间体(20)和磺酰氯发生磺酰化反应得到中间体(3)(见图8)。

图片
图8  以间三氟甲基苯酚和磺酰氯为原料合成中间体(3)

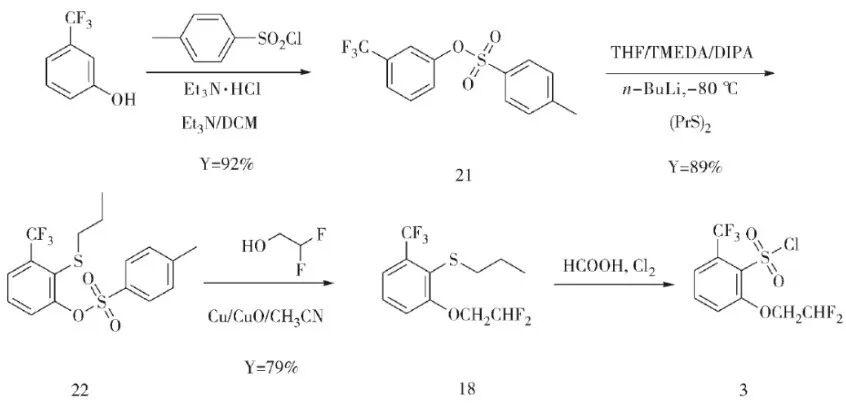
2010—2018年孙智华、王宝军、张跃、陈明珠和徐德锋等分别使用了对甲苯磺酰氯、氯甲酸烯丙酯和二氢呋(吡)喃作为酚羟基保护剂。其中,孙智华等合成中间体(3)的技术优势为对甲苯磺酰基既可作为酚羟基的保护基,生成的磺酸酯基又可作为离去基团,不需要额外脱除该保护基的步骤(见图9)。

图片
图9  以间三氟甲基苯酚为原料对甲苯磺酰氯保护合成中间体(3)
陈明珠等以间三氟甲基苯酚为原料,用3,4-二氢吡喃作为酚羟基保护剂,通过醚化、取代、水解″一锅法″得到2-丙硫基-3-三氟甲基苯酚,总产率达74.6%。徐德锋等研发出通过3,4-二氢吡喃保护酚羟基,酚保护物在n-BuLi和-65°C条件下,与硫磺反应,然后依次与浓盐酸、碘/醇、对甲苯磺酸二氟乙醇磺酸酯、氯化试剂反应制得中间体(3)的路线。该工艺路线使用了硫磺,避免了二丙基二硫和危险性高的氯化试剂氯气,但还是使用了n-BuLi。
为了避免使用n-BuLi的超低温条件,曹巍、姜友法等开发了中间体2-(2,2-二氟乙氧基)-6-三氟甲基苯磺酰氯(3)的新合成路线。

2014年曹巍等以2-氯-1-硝基-3-三氟甲基苯为原料,经硫醚化、氟代、醚化和氯气氧化氯代反应制得中间体(3)(见图10)。该工艺避免使用易燃易爆的n-BuLi,工艺过程简单,反应条件温和,总收率67%,但是初始原料需要定制。

图片
图10  以2-氯-1-硝基-3-三氟甲基苯为原料合成中间体(3)

2019年姜友法等以2-三氟甲基-4-硝基溴苯为原料,经溴代、还原、重氮化分解、硫醚化、醚化和氯气氧化氯代反应制得中间体(3)(见图11)。该工艺路线反应条件相对温和,总收率65%,但工艺步骤长,其中2个溴代产物需要置换,成本比较高。

图片
图11  以2-三氟甲基-4-硝基溴苯为原料合成中间体(3)

3. 以2-三氟甲基-4-硝基苯胺为原料经2-溴-6-三氟甲基苯磺酰氯合成五氟磺草胺的反应路线

2013年张大永等以价格相对低廉、易得的2-三氟甲基-4-硝基苯胺为起始原料,通过溴代、还原、氨基保护、重氮磺酰化、氨基脱保护、脱氨基、氯化得到2-溴-6-三氟甲基苯磺酰氯(35),再与中间体(2)发生缩合反应得到缩合产物(36),中间体(36)在碘化亚铜、8-羟基喹啉和磷酸钾的催化作用下,与2,2-二氟乙醇发生醚化反应生成目标物五氟磺草胺(见图12)。

图片
图12  以2-三氟甲基-4-硝基苯胺为原料合成五氟磺草胺的路线

该工艺路线各步反应转化率高,避免使用n-BuLi,工艺安全,反应条件温和,后处理简便易行,成本有所降低。但是,工艺涉及反应和分离步骤多,操作繁琐,且包括2次废水量较大的重氮化反应。

4. 以2-氟-6-三氟甲基苯胺为原料经中间体(3)合成五氟磺草胺的反应路线

2013年周金枝和刘东卫开发了通过2-氟-6-三氟甲基苯胺经醚化、磺酰化得中间体(3),再与中间体(2)发生缩合反应得到目标物五氟磺草胺的路线(见图13)。

这种先醚化工艺操作简单,安全性高,生产效率和产率有所提高,但是初始原料2-氟-6-三氟甲基苯胺市场化程度不高,自行制备难度大。

5. 以间溴三氟甲苯为原料经中间体(3)合成五氟磺草胺的反应路线

2019—2020年郑战江等和黄帅帅研发出以价格低廉的间溴三氟甲苯为起始原料,通过硫醚化反应、醚化、磺酰化反应制备中间体(3),再与中间体(2)缩合得到目标物五氟磺草胺的新路线,但反应依然需要超低温(见图14)。

图片
图13  以2-氟-6-三氟甲基苯胺为原料合成中间体(3)合成五氟磺草胺的路线

2013年周金枝对上述硫脲路线进行了优化改进,在甲氧基乙酸甲酯、甲酸甲酯和硫脲环合后,先将巯基烷基化生成中间体(44),再常法闭环,最后异构化成中间体(2)(见图16)。此工艺改进的特点是采用硫脲合成嘧啶环时,引入氨基钠/THF反应体系,收率明显提高;用氯甲烷使巯基甲基化,多步反应收率都在80%以上,反应操作简单,中间体(2)总收率显著提高,此路线依然使用毒性较大的溴氰。

图片
图14  以间溴三氟甲苯为原料经中间体(3)合成五氟磺草胺的路线
图片
图15  中间体(2)的合成路线1
图片
图16  中间体(2)的合成路线2
图片
图17  中间体(2)的合成路线3
图片
图18  中间体(2)的合成路线4
2015—2019年何凤元、牛巍等在环合成嘧啶的过程中用价廉易得尿素代替硫脲合成中间体(2),但仍使用毒性较大的溴氰。

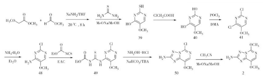
2013年博特(美国陶氏益农公司)用尿素代替硫脲闭环合成了2,4-二氯-5-甲氧基嘧啶(41),2,4-二氯-5-甲氧基嘧啶(41)与氨发生氨基取代反应得到中间体(48),中间体(48)经与异硫氰基碳酸乙基酯、盐酸羟胺和甲醇钠反应得到中间体(2)(见图17)。此工艺路线使用价廉易得尿素,规避了毒性较大的溴氰,但中间体(2)总收率有待提高。

02
Number
  结论


以间氟三氟甲苯为原料经中间体(1)、以间烷氧基(羟基)三氟甲苯为原料经中间体(3)和以间溴三氟甲苯为原料经中间体(3)合成五氟磺草胺的3条路线均需超低温条件,工业化难度较大。
以2-三氟甲基-4-硝基苯胺为原料经2-溴-6-三氟甲基苯磺酰氯合成五氟磺草胺的路线涉及反应和分离步骤多。以2-氟-6-三氟甲基苯胺为原料经中间体(3)合成五氟磺草胺的路线初始原料市场化程度不高,自行制备难度大。
从原材料成本、单元操作难易程度、生产过程安全性、三废处理等方面综合分析,关于五氟磺草胺的合成路线笔者提出如下建议:
1. 以2,3-二氯三氟甲苯为原料经氟置换、烃硫基取代,再经氯气氧化氯代制得中间体2-氟-6-三氟甲基苯磺酰氯(1);
2. 以邻三氟甲基苯胺为原料经过酰化、烷基化、硝化、脱烷基、还原、重氮化氟化、水解、磺酰化反应合成中间体(1)的路线,若找到合适的优化方法,减少步骤、提高产率,也不失为一个较好的选择;

3. 以甲氧基乙酸甲酯、甲酸甲酯和硫脲为起始原料,经缩合、环合、羟基化及氯化反应制备出2,4-二氯-5-甲氧基嘧啶,再与氨水、异硫氰基碳酸乙基酯、羟胺(或者肼)等反应制得中间体2-氨基-5,8-二甲氧基[1,2,4]三唑并[1,5-c]嘧啶(2)的路线(见图18)较为理想;4)中间体(1)和中间体(2)在乙腈、吡啶、二甲亚砜和TBAI体系中缩合,最后与2,2-二氟乙醇钠醚化得到五氟磺草胺。



相关推荐