克百威即将全面退出中国市场,带来的思考有哪些?

作者:李祝明 2023/9/20 14:04:32
2023年9月7日,农业农村部办公厅关于征求对氧乐果等4种高毒农药采取禁用管理措施意见函发布,意见规定自2023年12月1日起,发证机关撤销氧乐果、克百威、灭多威、涕灭威制剂产品的登记,禁止生产,已经合法生产的可以在质量保证期内销售和使用,自2025年12月1日起禁止销售和使用;仅保留原药生产企业的原药生产出口,实施封闭运行监管。 意见的发布可能预示着自上世纪70年代上市在中国应用半个多

2023年9月7日,农业农村部办公厅关于征求对氧乐果等4种高毒农药采取禁用管理措施意见函发布,意见规定自2023年12月1日起,发证机关撤销氧乐果、克百威、灭多威、涕灭威制剂产品的登记,禁止生产,已经合法生产的可以在质量保证期内销售和使用,自2025年12月1日起禁止销售和使用;仅保留原药生产企业的原药生产出口,实施封闭运行监管。

 意见的发布可能预示着自上世纪70年代上市在中国应用半个多世纪的克百威将从此告别中国农业市场。


克百威是由FMC和拜耳公司共同开发的一种氨基甲酸酯类杀螨、杀虫、杀线虫剂。具有内吸、触杀、胃毒作用,并有一定的杀卵作用,持效期较长,一般在土壤中半衰期为30~60d。之前常用于水稻田防治稻螟、稻飞虱、稻蓟马、稻叶蝉、稻瘿蚊;棉田防治棉蚜、棉蓟马、地老虎及线虫;烟草苗床和本田可防治烟草夜蛾、烟蚜、烟草根结线虫、烟草潜叶蛾及地下害虫;甘蔗田可防治蔗螟、金针虫、甘蔗绵蚜、甘蔗蓟马及甘蔗线虫等;大豆和花生田可防治大豆蚜、大豆潜秆蝇及大豆孢囊线虫,花生蚜、斜纹夜蛾及根结线虫。现在主要用于绿化树木、园林等非作物领域防治地老虎、蚜虫、天牛、粉蚧虫、果蝇、透翅蛾、茎蜂、和根土蝽等。


产品简介


中文名:克百威。

英文名:Carbofuran

别名:呋喃丹、虫螨威、大扶农

化学名称:2,3-二氢-2,2-二甲基苯并呋喃-7-基-N-甲基氨基甲酸酯

化学式:C12H15NO3

分子量:221.252CAS

登录号:1563-66-2

代表产品:3%克百威GR


作用机理


克百威为乙酰胆碱酯酶抑制剂,但与其他氨基甲酸酯类杀虫剂不同的是,它与胆碱酯酶的结合不可逆,因此毒性高。克百威能被植物根系吸收,并能输送到植株各器官,以叶部积累较多,特别是叶缘,在果实中含量较少,当害虫咀嚼和刺吸带毒植物的叶汁或咬食带毒组织时,害虫体内乙酰胆碱酯酶受到抑制,引起害虫神经中毒死亡。在土壤中半衰期为30~60d。克百威应用这么多年,仍显有抗性报道。


应用


应用:非作物领域园林,绿化植物,观赏植物等


注意克百威已禁止在蔬菜、果树、茶叶和中草药材上使用;


杀虫谱:克百威可用于防止土壤内及地面上的300多种害虫和线虫。包括但不限于稻螟、稻飞虱、稻蓟马、稻叶蝉、稻瘿蚊、水稻潜叶蝇、稻水象甲、稻摇蚊、棉蚜、棉蓟马、地老虎、干尖线虫、烟草夜蛾、烟蚜、烟草根结线虫、烟草潜叶蛾、蝼蛄、烟草夜蛾、大豆蚜、大豆根潜蝇及大豆胞囊线虫、跳甲、象甲、蓟马等。


登记情况


目前登记有效期内的有35家,其中原药7家,制剂主要以3%颗粒剂为主。


图片

图片

图片



合成工艺


克百威原药合成,以呋喃酚为起始原料,主要有三种方法,具体如下:


方法1:异氰酸甲酯法(以下简称MIC法)呋喃酚同MIC在催化剂存在下进行反应。反应式如下:


图片

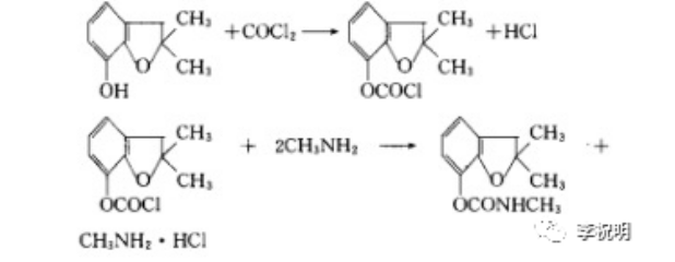
方法2:氯代甲酸酯法呋喃酚先同光气在催化剂存在下进行反应,得氯甲酸呋喃酚酯后加一甲胺进行胺解。反应式如下:


图片


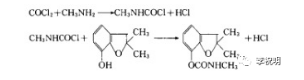
方法3:甲氨基甲酰氯法(以下简称MCC法)光气同一甲胺于300℃下在T形管内反应,得MCC 后再同呋喃酚反应。反应式如下:


图片


对比三种方法,方法1的优点是产品收率高(98%,以呋喃酚计,下同),质量好,生产周期短,无污水,可连续化生产,缺点是一次性投资大,设备要求高,MIC 毒性大,产品颜色稍差。方法2的优点是产品含量高,颜色白,一次性投资较小,缺点是产品收率低(90~92%),生产周期长,污水量大,操作安全性要求高。而对比方法3,其优点产品收率高(≥97%),质量好,颜色白,一次性投资小,设备及材料易得,操作安全方便,污水量稍大些。综合分析,从原料易得、工艺简单、成本低、易于工业化、投资小、操作安全方便等方面考虑,MCC法更适合工业化合成克百威。


对克百威退出市场的思考


克百威是一种广谱、高效、低残留的杀虫剂,广泛应用于农业领域。然而,近年来克百威被逐步淘汰,并基本确定将在2025年底全面退出中国市场。对于这一重大改变,将对我国农业产生一定的影响。尽管有其他杀虫剂可以替代克百威,但它们并不都具有克百威的广谱、高效的特性。因此,农业部门需要寻找合适的替代品,这可能需要时间和资源的投入。此外,克百威退出市场可能会导致一些虫害难以控制,对于农民来说,可能会增加他们的劳动强度和农业投入成本。但从长远来看,这可能是农业可持续发展的必要步骤,也是环境友好型农业发展的必然趋势。相信通过推广环保农业理念、研发新型生物农药、提升农业服务水平和扶持有机农业发展等措施,我们可以缓解克百威等高毒农药退出市场带来的负面影响,实现农业可持续发展。


相关推荐