新型双酰胺类杀虫剂——氟氯虫双酰胺

作者:李祝明 李祝明 2024/7/18 9:55:43
氟氯虫双酰胺(fluchlordiniliprole)是由青岛海利尔2016年自主研发的具有邻甲酰氨基苯甲酰胺结构的新型双酰胺类杀虫剂,氟氯虫双酰胺主要以胃毒为主,对多种鳞翅目、缨翅目害虫及部分刺吸式害虫都有很好的防效,氟氯虫双酰胺从结构上看,可以看成是在氯虫苯甲酰胺的苯环上引入氟和氯而得到,这也使得其对害虫具有更高的灭杀活性。海利尔在剂型、应用及复配方面申请了大量专利,可见氟氯虫双酰胺对于海利尔
氟氯虫双酰胺(fluchlordiniliprole)是由青岛海利尔2016年自主研发的具有邻甲酰氨基苯甲酰胺结构的新型双酰胺类杀虫剂,氟氯虫双酰胺主要以胃毒为主,对多种鳞翅目、缨翅目害虫及部分刺吸式害虫都有很好的防效,氟氯虫双酰胺从结构上看,可以看成是在氯虫苯甲酰胺的苯环上引入氟和氯而得到,这也使得其对害虫具有更高的灭杀活性。海利尔在剂型、应用及复配方面申请了大量专利,可见氟氯虫双酰胺对于海利尔来讲是非常重要的杀虫剂之一,在未来,氟氯虫双酰胺在部分领域有望替代氯虫苯甲酰胺溴氰虫酰胺使用,前景看好。

01
产品简介
英文名称:fluchlordiniliprole
中文名称:氟氯虫酰胺、氟氯虫双酰胺
化学名称:3-溴-1-(3-氯吡啶-2-基)-N-(4,6-二氯-3-氟-2-(甲基氨基甲酰基)苯基)-1H-吡唑-5-甲酰胺
分子式:C17H10BrCl3FN5O2
相对分子质量:521.555
CAS登录号:2129147-03-9
结构式:
图片
三维结构式:
图片

理化性质:原药98%,白色粉末状固体

02
作用机理

与其他双酰胺类杀虫剂一样,氟氯虫双酰胺为鱼尼丁受体调节剂,通过破坏昆虫体内钙离子平衡,从而影响昆虫肌肉调节能力,使其停止取食,最终致死。

03
应用
应用作物:甘蓝、玉米、水稻、棉花、瓜类、花生、豆类、苹果和荔枝等作物
杀虫谱:草地贪夜蛾、玉米二点委夜蛾、玉米螟、水稻二化螟、稻纵卷叶螟、甜菜夜蛾、斜纹夜蛾、菜青虫、小菜蛾、棉铃虫、瓜绢螟,豆荚螟、苹果树卷叶蛾、食心虫、荔枝蒂蛀虫。另外,对缨翅目蓟马(如蓟马、兰花蓟马、烟蓟马、棕榈蓟马等)也有较高的防治活性。对蚜虫也有效。
研究结果表明,氟氯虫双酰胺以0.25 mg/L处理时对小菜蛾和甜菜夜蛾2~3 d的杀死率达到100%,以4 mg/L处理时对蚜虫2~3 d的杀死率在90%以上。同时,氟氯虫双酰胺对小菜蛾(0.025 mg/L)和二化螟(4 mg/L)的杀死率分别为90%和100%,均优于相同浓度下氯虫苯甲酰胺和溴氰虫酰胺。
可开发剂型:30%氟氯虫双酰胺WP、20%氟氯虫双酰胺SC、60%氟氯虫双酰胺WDG、10氟氯虫双酰胺EW
04
合成路线

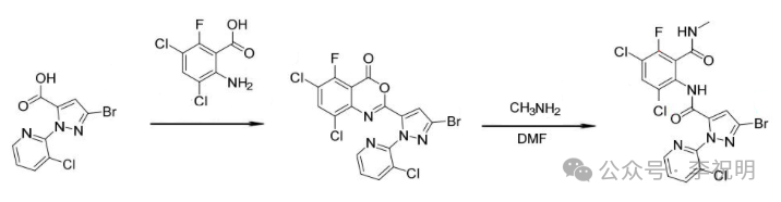
参考其他双酰胺合成路线,海利尔在专利名称为“取代吡唑酰胺类化合物及其应用”的专利(CN106977494A)中报道了氟氯氰虫酰胺的合成路线。即以K酸(1-(3-氯-2-吡啶基)-3-溴-1H-吡唑-5-羧酸)为起始原料与邻氨基苯甲酸类化合物进行缩合反应生成目标化合物氟氯虫双酰胺,合成路线如下:

图片


05
前景展望

氟氯虫双酰胺国内已进入登记阶段,估计今年上市,笔者了解目前奥迪斯市场生测的20%氟氯虫双酰胺·甲氧虫酰肼(8%的氟氯虫双酰胺+12%甲氧虫酰肼)SC在水稻、大豆等大田区也都表现出良好的预期效果,从抗性和杀虫速度方面考虑,在推广中建议复配触杀速效型杀虫剂使用。

从专利看,海利尔针对氟氯虫双酰胺在地下颗粒剂和种子处理剂市场都有布局,并且在2021年申请了用于提高植物繁殖活性的用途,进一步拓宽了氟氯虫双酰胺的应用范围。
从合成路线看,其合成成本可能高于同为自主创新杀虫剂的四氯虫酰胺氯氟氰虫酰胺,但通过开发新产品混剂和多元化的营销方式以及海利尔健全渠道的加持下,这并不影响氟氯虫双酰胺未来成为防治鳞翅目害虫市场的佼佼者。
相关推荐