新型双酰胺类杀虫剂——多氟虫二酰胺

作者:李祝明 李祝明 2024/7/26 8:53:00
多氟虫二酰胺(piperflanilide)是江苏扬农子公司沈阳中化2019年继环丙氟虫二酰胺之后我国自主开发的又一间二酰胺类杀虫剂。ISO通用名于2023年11月28日获得国际标准化组织农药通用名技术委员会(ISO/TC81)临时批准,今年5月28日获正式批准。至此我国在双酰胺类γ-氨基丁酸调节剂赛道又添一利器,同时也为鳞翅目害虫的防治提供了一种新的解决方案。多氟虫二酰胺与环丙氟虫二酰胺、溴虫氟

多氟虫二酰胺(piperflanilide)是江苏扬农子公司沈阳中化2019年环丙氟虫二酰胺之后我国自主开发的又一间二酰胺类杀虫剂。ISO通用名于2023年11月28日获得国际标准化组织农药通用名技术委员会(ISO/TC81)临时批准,今年5月28日获正式批准。至此我国在双酰胺类γ-氨基丁酸调节剂赛道又添一利器,同时也为鳞翅目害虫的防治提供了一种新的解决方案。多氟虫二酰胺与环丙氟虫二酰胺溴虫氟苯双酰胺相比,其活性更高、杀虫谱更广,对缨翅目害虫西花蓟马和螨虫的杀灭性更强。

01
产品简介
英文名称:piperflanilide(P)
中文名称:多氟虫二酰胺/多氟虫双酰胺
化学名称:N-(3-{[2-溴-6-(二氟甲氧基)-4-(1,1,1,2,3,3,3-七氟丙基-2-基)苯基]氨基甲酰基}-2-氟苯基)-2,2-二氟-N-甲基-2H-1,3-苯并二氧杂戊环-5-甲酰胺
分子式:C26H13BrF12N2O5
相对分子质量:741.285
CAS登录号:2615135-05-0
结构式:
图片
三维结构式:
图片

理化性质:原药为白色固体。

02
作用机理

多氟虫二酰胺可视为对溴虫氟苯双酰胺(broflanilide)两端苯环的取代基进行修饰得到。所以推测多氟虫二酰胺和溴虫氟苯双酰胺、环丙氟虫胺、氟苯碘虫二酰胺同属于γ-氨基丁酸(GABA)门控氯离子通道别构调节剂。别构抑制GABA激活的氯离子通道,从而引起过度兴奋和惊厥,导致最终死亡。GABA是昆虫神经兴奋传导中主要的抑制性神经递质。

03
应用
应用作物:水稻、玉米、棉花、大豆、果树、蔬菜等作物。
靶标害虫: 棉铃虫、二化螟、稻纵卷叶螟、玉米螟、粘虫、甜菜夜蛾、小菜蛾、草地贪夜蛾、苹果小卷叶蛾等鳞翅目害虫;天牛、跳甲、马铃薯甲虫、叩甲等鞘翅目害虫;西花蓟马、棉蓟马、苜蓿蓟马和豆黄蓟马等缨翅目害虫;桃蚜、叶蝉和飞虱等同翅目害虫;玉米长蝽、番茄盲蝽和稻臭椿等半翅目害虫;蝇和蚊等双翅目害虫二斑叶螨、朱砂叶螨、苹果全爪螨、柑橘全爪螨等叶螨科及瘿螨科、跗线螨科等螨虫。‍
生物活性筛选试验结果表明,多氟虫二酰胺10mg/L处理对黏虫3龄幼虫(3 d)、小菜蛾2龄幼虫(3 d)和西花蓟马若虫(3 d)的致死率均在90%以上,且其对西花蓟马的生物活性与乙基多杀菌素相当而优于溴氰虫酰胺。

04
合成路线
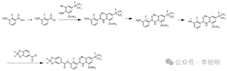
路线一:以2-氟-3-硝基苯甲酸为起始原料,经氯化得到酰氯,然后与2-溴-6- 二氟甲氧基-4-七氟异丙基苯胺(可参考专利US8853440B2和US9839216B2制备)反应制得N-(2-溴-6-二氟甲氧基-4-七氟异丙基苯基)-2-氟-3-硝基苯甲酰胺,经四步反应制得最终产物多氟虫二酰胺。‍‍‍‍合成路线如下:
图片
图片
其他路线:考虑到收率问题,在路线一的基础上调整步骤顺序先进行水解,然后卤化后经取代/胺解或缩合反应制备多氟虫二酰胺。反应式如下:‍‍‍‍‍‍‍‍‍‍‍‍‍‍‍
图片
05
前景展望
可预见多氟虫二酰胺会成为继溴虫氟苯双酰胺环丙氟虫二酰胺之后国内上市的第三个间二酰胺类杀虫剂,与前两者相比,多氟虫二酰胺的优势明显,其活性更高,杀虫谱更广,不但对鳞翅目、缨翅目害虫有很好的防效,对同翅目的飞虱、半翅目的椿象以及各类螨虫都有较好的防效。当然合成路线上还有更多可以商榷和优化的细节。多氟虫双酰胺上市后,有望解决我国重大虫害绿色防控药剂缺乏的突出问题,为抗性害虫的有效防治和国家农药减施增效战略提供高效支撑。
相关推荐