砜吡草唑专利布局激增200%!中国头部企业开启原药工艺仿制!技术谁家更强?

作者:《世界农药》2025 ,47 (10) 2025/11/4 14:35:17
砜吡草唑(pyroxasulfone)是由日本组合化学工业株式会社和庵原化学工业株式会社共同开发的一种广谱、高效芽前土壤处理剂,可用于防治小麦、玉米、大豆、棉花、向日葵、马铃薯、花生等作物田一年生阔叶杂草和禾本科杂草,用量100~250ga.i./hm2,持效期可达28d,与其它多种除草剂配伍性强,对作物安全,对哺乳动物和大部分环境生物毒性较低。砜吡草唑2011年在澳大利亚率先上市,2012年获得

砜吡草唑(pyroxasulfone)是由日本组合化学工业株式会社和庵原化学工业株式会社共同开发的一种广谱、高效芽前土壤处理剂,可用于防治小麦、玉米、大豆、棉花、向日葵、马铃薯、花生等作物田一年生阔叶杂草和禾本科杂草,用量100250ga.i./hm2,持效期可达28d,与其它多种除草剂配伍性强,对作物安全,对哺乳动物和大部分环境生物毒性较低。

砜吡草唑2011年在澳大利亚率先上市,2012年获得美国EPA批准,2019年在中国获得原药登记。但截至当前,尚未获得欧盟登记。2011-2016年全球复合年增长率达160%以上,并于2016年成功晋级为上亿美元品种,在全球登记并销售砜吡草唑单剂和混剂的跨国公司主要有日本组合化学、富美实(FMC)、巴斯夫(BASF)、拜耳(Bayer)VALENT(住友化学子公司)等。

砜吡草唑通用名为pyroxasulfone,IUPAC化学名称为3-[5-(二氟甲氧基)-1-甲基-3-(三氟甲基)吡唑-4-基甲基磺酰基]-4,5-二氢-5,5-二甲基-1,2-异唑,CAS登录号447399-55-5,分子式C12H14F5N3O4S,相对分子质量391.32

图片

砜吡草唑结构式

砜吡草唑属于异唑啉类除草剂,其作用机理与乙草胺和异丙甲草胺等酰胺类除草剂的作用机理类似,可特定地抑制由植物体内超长链脂肪酸延长合成酶(VLCFAE)催化的很多延长步骤,施用后它被杂草幼根与幼芽吸收,于植物发芽后,阻断顶端分裂。除草剂抗性行动委员会(HRAC)将砜吡草唑列为K3类除草剂,属于细胞分裂抑制剂,通过抑制极长链脂肪酸(VLCFA)合成,进而阻碍分生组织和胚芽鞘的生长。砜吡草唑独特的作用机制使其对禾本科杂草与阔叶杂草均高效,在澳大利亚则是防除抗性黑麦草的首选。

01
组合化学砜吡草唑及其中间体合成工艺在中国的专利布局

组合化学自2002年起在全球30个国家/地区的知识产权机构就砜吡草唑、中间体及其合成工艺提交了专利申请,其中国专利布局见表1

组合化学砜吡草唑及其中间体工艺的中国专利布局

图片

*:由庵原化学工业株式会社变更为组合化学工业株式会社。

截至20258月,组合化学的部分专利已因保护期限届满而失效。如砜吡草唑原药中国专利ZL02804675.7已于202227日到期失效,但其同族专利覆盖美国、欧盟、日本、澳大利亚等主要市场;中间体吡唑衍生物中国专利ZL03819895.9及其分案申请中间体吡唑衍生物的生产方法中国专利ZL200710002002.4已于202387日到期,中间体5-羟基-4-硫甲基吡唑化合物的制备方法中国专利ZL200580010635.9已于2025331日到期。组合化学围绕砜吡草唑,就其制备方法、复配组合物、制剂[7]等布局了多重外围专利,这些专利在不同国家和地区的有效期不同,为砜吡草唑提供了持续的保护。如上述中间体中国专利ZL200580010635.9,在中国已于2025331日到期,但在其他国家和地区仍有效。

化合物、中间体工艺专利到期并不意味着市场的自由竞争,相反,组合化学通过中间体、晶型、工艺、复配组合物、制剂等多维度外围专利,将垄断期延长,形成“二次专利壁垒”。

砜吡草唑从化学结构上看,是由二氢异唑环和甲基吡唑环通过磺酰基甲基(-SO2CH2-)连接而成,目前砜吡草唑及其中间体的合成工艺研究也主要围绕异唑中间体的合成、吡唑中间体的合成、硫醚中间体的合成、硫醚中间体的氧化4个部分进行,但都存在生产难度大、总收率较低等问题。

02
中国企业在砜吡草唑及其中间体合成技术的专利申请

2.1 专利申请发展趋势

砜吡草唑及其中间体合成工艺中国专利申请的发展趋势如图2所示。图2中砜吡草唑及其中间体合成工艺中国专利申请情况表明,2020年之后国内企业才开始针对砜吡草唑相关技术提出专利申请,2020-2022年,专利申请量保持平稳,随着砜吡草唑原药专利以及中间体工艺专利的到期,申请量剧增,20232024年专利申请量均超过2022年的2倍以上,且未统计20232025年申请但尚未公开的专利。

图片

砜吡草唑及其中间体合成工艺的中国专利申请情况

2.2 申请人申请专利量排名

在上述84件专利中,31件授权专利处于有效期(2),其中,山东润博生物科技有限公司12件,凯莱英(包括吉林凯莱英医药化学有限公司和天津凯莱英医药科技发展有限公司) 5件,潍坊新绿化工有限公司、江苏七洲绿色化工股份有限公司各2件,安徽久易农业股份有限公司、绍兴贝斯美化工股份有限公司、江苏中旗科技股份有限公司、江苏省农用激素工程技术研究中心有限公司、大连九信精细化工有限公司、山东潍坊润丰化工有限公司、定远众邦生物工程有限公司、启农生物科技(北京)有限公司、衢州凯沃化工有限公司和安道麦阿甘有限公司等10家各1件;8件专利申请被驳回,其余45件目前处于实质审查阶段,技术内容主要涉及砜吡草唑及其中间体的合成工艺。

31件授权专利中:14件涉及砜吡草唑中间体的制备方法,19件涉及砜吡草唑的合成工艺,主要针对砜吡草唑及其中间体的环合、氯化、氧化等反应过程的收率和纯度不理想,三废多,后处理难度大等问题进行工艺优化,实现了砜吡草唑及其中间体的纯度和制备收率提升。

砜吡草唑及其中间体制备工艺有效的中国专利

图片

03
中国企业砜吡草唑及其中间体合成工艺技术分析

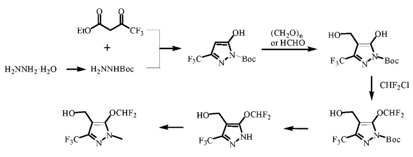
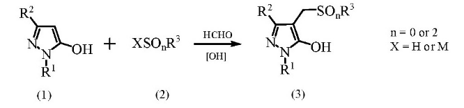
组合化学在砜吡草唑中间体5-羟基-4-硫甲基吡唑化合物的制备方法中国专利ZL200580010635.9中公开了使用通式(1)表示的吡唑化合物与通式(2)表示的硫化物在碱和甲醛的存在下反应来制备通式(3)表示的5-羟基-4-硫甲基吡唑化合物,该专利工艺路线如图3所示。

图片

3 ZL200580010635.9工艺路线

该方法不使用特殊的反应装置或昂贵的催化剂,解决了现有技术中步骤繁琐或生成有毒副产物的问题,且操作简便,仅通过单一工序即可以良好收率获得式(3)化合物。该专利说明书参考例1~例7提供了5-羟基-1-甲基-3-三氟甲基吡唑、3-乙氧基羰基-5-羟基-1-甲基吡唑等式(1)化合物的合成,参考例8~例9提供了[5,5-二甲基-(4,5-二羟基异唑-3-)]硫甲脒盐酸盐等式(2)化合物的合成,实施例1~例16使用参考例化合物,以及甲硫醇钠、苯硫酚、对甲苯亚磺酸钠等式(2)化合物制备5-羟基-1-甲基-4-甲基硫甲基-3-三氟甲基吡唑、[(5-羟基-1-甲基-3-三氟甲基吡唑-4-)-甲硫基]苯等式(3)化合物的具体过程,收率72.7%89.3%2023911日,联化科技(德州)有限公司向该专利发起无效挑战,国家知识产权局于2024315日作出专利权维持有效的决定(565648),该专利已于2025331日届满失效。

针对砜吡草唑及其中间体合成工艺,国内研究单位主要有山东润博生物科技有限公司(润丰公司的子公司)、凯莱英公司(包括天津凯莱英医药科技发展有限公司、吉林凯莱英医药化学有限公司和天津凯莱英生物科技发展有限公司)、潍坊新绿化工有限公司、江苏七洲绿色化工股份有限公司等,上述公司的大部分专利申请已经获得授权,湖北泰盛化工有限公司提交的9件专利申请,主要涉及砜吡草唑中间体的制备工艺,目前处于实质审查中。

3.1 山东润博生物科技有限公司专利申请布局

山东润博生物科技有限公司自2020年先后提交了19件有关砜吡草唑及其中间体合成工艺的专利申请(3),其中,12件已获授权,主要包括2种砜吡草唑合成路线。

图片

山东润博申请的砜吡草唑及其中间体合成工艺专利


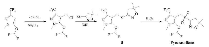
砜吡草唑的合成通常由关键中间体B:3-(5-二氟甲氧基-1-甲基-3-三氟甲基-1H-吡唑-4--甲硫基)-5,5-二甲基-4,5-二氢异唑经一步氧化得到,该中间体B由异唑环和吡唑环2部分组成,山东润博的其中一种砜吡草唑合成路线即围绕该中间体B的合成进行,如图4~图5所示。

图片

山东润博基于中间体AB合成砜吡草唑工艺路线

ZL202010488656.83-X5,5-二甲基-4,5-二氢异唑为原料与硫代乙酸钾反应得到S-(5,5-二甲基-4,5-二氢异唑-3-)硫代乙酸酯;ZL202010488649.8以上述中间体替代5,5-二甲基-4,5-二氢异唑硫脒盐酸盐作为原料与1-甲基-3-(三氟甲基)-1H-吡唑-5-醇和甲醛在碱性环境下反应得到4-(5,5-二甲基-4,5-二氢异唑-3--硫甲基)-2-甲基-5-三氟甲基-1H-吡唑-3-(中间体A),该反应条件温和,不需要特殊的催化剂、高温高压,也不会产生难以处理的氨氮废水,中间体A与二氟一氯甲烷气体反应得到中间体B,再经双氧水氧化得到砜吡草唑,收率达81%以上。ZL202010489058.2ZL202010488649.8的基础上改进了该中间体A的制备工艺,以更为绿色的多聚甲醛替代易致畸的甲醛水溶剂,与1-甲基-3-(三氟甲基)-1H-吡唑-5-醇、环仲胺和5,5-二甲基-3-巯基-4,5-二氢异唑在酸性环境下发生mannich反应得到,并将该中间体A与二氟一氯甲烷气体反应得到中间体B,再经双氧水氧化得到砜吡草唑(4)

图片

山东润博基于中间体B合成砜吡草唑工艺路线

CN202311710515.6调整了烷基化的反应顺序,先以1-甲基-3-(三氟甲基)-1H-吡唑-5-醇为原料与二氟一氯甲烷气体进行烷基化反应,然后在硫酸、三聚甲醛和氯化亚砜的存在下发生氯甲基化反应,之后与二氢异唑中间体化合物发生缩合反应得到中间体B,经双氧水氧化得到砜吡草唑(5)

ZL202110267253.5ZL202110735536.8为同日申请,在碱性条件下1-甲基-3-(三氟甲基)-1H-吡唑-5-醇、甲醛水溶液、与5,5-二甲基-4,5-二氢异唑硫脒盐酸盐在水中进行缩合反应,再与氟利昂烷基化得到中间体B,或者由(5-二氟甲氧基-1-甲基-3-三氟甲基-1H-吡唑-4-)甲硫醇和3--5,5-二甲基-4,5-二氢异唑在碱、联苯类单膦配体、钯催化剂Pd2(dba)2作用下反应得到中间体B。上述2种方法的反应条件温和,反应选择性高,中间体B收率达80%以上,纯度达87%以上。

通过中间体B合成砜吡草唑的工艺路线中,中间体:S-(5,5-二甲基-4,5-二氢异唑-3-)硫代乙酸乙酯为油状物,会使得其纯化效率降低,且在制备中间体B的过程中通入二氟一氯甲烷气体,一方面,相对于液体或固体试剂而言,气体投料的精确计量和投放在工业放大生产中更具挑战性。另一方面,二氟一氯甲烷是一种强效温室气体,使用二氟一氯甲烷需要满足复杂的环保法规要求,包括排放报告、泄露监测计划等,会大大增加企业的合规成本和行政管理负担。工业化应用过程中,如果出现泄露会对大气环境造成显著影响,且随着全球环保政策的日趋严格,其获取可能会越来越困难,价格也可能因配额减少而上涨,从长远来看不利于生产工艺的稳定性和经济性。

ZL202111640577.5以廉价的水合肼替代剧毒品甲基肼为原料,与Boc酸酐反应生成叔丁氧羰基肼,高温下与三氟乙酰乙酸乙酯发生环合反应得到中间产物,再在碱的存在下与多聚甲醛或甲醛进行羟甲基化、二氟甲氧基化反应,脱Boc保护之后再进行N-甲基化得到砜吡草唑中间体5-(二氟甲氧基-3-三氟甲基-1H-吡唑-4-)-甲醇(6)

图片

山东润博砜吡草唑吡唑中间体合成路线

山东润博的第二种砜吡草唑合成路线则是通过一步缩合反应制得砜吡草唑,如图7所示。ZL202211637223.X利用(5-二氟甲氧基-1-甲基-3-三氟甲基-1H-吡唑-4-)甲磺酸钠与3--5,5-二甲基-4,5-二氢异唑直接一步反应得到砜吡草唑,反应步骤少、速度快,砜吡草唑的收率和纯度最高可达90%以上,且合成过程三废少,环保性好,适合工业化应用。CN202411634402.7在上述路线的基础上调整了官能团反应,以3-位取代的5,5-二甲基-4,5-二氢异唑为原料,在甲酸盐和镍催化剂(镍盐如二氯化镍和/或二溴化镍与膦配体如DPPEDPPP/DPPB的组合)存在下与SO2发生偶联反应得到5,5-二甲基-4,5-二氢异唑-3-硫代乙酸盐,再与5-二氟甲氧基-1-甲基-3-三氟甲基4-(X-CH2)-1H-吡唑一步反应得到砜吡草唑,上述2种合成工艺都规避了现有技术中采用双氧水氧化合成砜吡草唑的专利路线,提升了该氧化反应的安全性。

图片

山东润博基于一步缩合反应制备砜吡草唑工艺路线

CN202411634012.X以中间体B为原料,在空气中、在Fe()催化剂如九水合硝酸铁、硝酸铁、醋酸铁、氯化铁、硫酸铁和/或溴化铁的存在下,在溶剂如乙酸、氯乙酸、三氟乙酸、二氟乙酸和/或丙酸中发生氧化反应得到砜吡草唑,反应选择性高,收率93%以上,纯度可达98%以上,该路线有效规避了组合化学中国专利申请CN202080003718.X[8](该专利申请已被驳回,目前处于复审阶段,其同族专利在澳大利亚、日本、欧洲等已获得授权)所采用的包含钨催化剂、钼催化剂和铌催化剂在内的金属催化剂和双氧水的存在下发生氧化反应得到砜吡草唑的工艺路线。

3.2 凯莱英公司专利申请布局

凯莱英公司的研发重点目前集中于以醚或硫醚中间体为原料氧化制备砜吡草唑的工艺条件的优化,如催化剂种类和性能的优化、连续化反应的系统和方法等。ZL202410671219.8的连续化合成方法虽然实现了砜吡草唑收率和纯度的提升,但催化剂钨酸钠在连续流体系中可能存在回收和循环利用困难,不利于资源节约,使用过量的双氧水进行氧化反应,反应后续需用还原剂亚硫酸钠淬灭,这会导致体系中副产盐种类增加,使得后续纯化流程繁琐,增加了工艺复杂性和环保压力。ZL202411760663.3在连续光化学反应器中进行硫醚化合物连续氧化反应制备砜吡草唑。光的引入使反应时间大幅缩短,提高了砜吡草唑的生产效率;采用连续化的反应器有助于精准控制氧化反应的温度,从本质上降低物料及反应的危险性,有效解决了批次反应放热量大、工艺风险高的难题。但引入光照系统可能会导致设备结构复杂、维护成本高,且当实验室级别的连续流光反应器放大至工业规模时,光源稳定性等问题可能放大,副反应控制难度也随之增大。

ZL202510123724.3的催化剂在实验室规模下可能表现出高活性和选择性,但其制备复杂性、稳定性不足、副反应风险高、环保压力大等问题,仍可能成为其工业化推广的主要障碍。ZL202510123722.4提供了用于双氧水氧化硫醚化合物制备砜吡草唑的钛基催化剂,可以提高反应速率,更多的反应活性位点有利于反应中硫醚高效稳定的氧化成砜,原料转化率可达到100%,实现了砜吡草唑的连续化生产。但该钛基体系更适合“高端、低产能”路线;若要替代现有钨酸钠/双氧水间歇工艺,仍需在载体工程、钛固定化技术及长周期验证上继续投入。ZL202510842365.7提供了用于制备砜吡草唑的硫醚氧化步骤的催化剂的制备方法,通过特定的顺序和条件将硒源、路易斯酸和有机碱配体源在溶剂热条件下反应形成特定结构的无机-有机杂化的亚硒酸盐催化剂,该催化剂可以调高反应的选择性(97%以上),原料转化率达100%CN202411917435.2公开了采用Baeyer-Villiger单加氧酶作为催化剂催化氧化硫醚或亚砜类化合物生产砜吡草唑,避免了强氧化剂双氧水以及有毒催化剂钨酸盐金属等的使用,极大降低了砜吡草唑合成过程中的安全隐患。但酶对温度敏感,温控窗口窄,易失活,对工业冷却系统可能要求较高。


03
小结

通过分析砜吡草唑及其中间体合成技术的中国专利申请布局,一方面表明国内砜吡草唑产业已从专利空白期进入高密度布局期,对砜吡草唑及其中间体合成技术的研发已取得一定成效,山东润博、凯莱英、潍坊新绿、湖北泰盛等企业把砜吡草唑制备路线拆成“硫醚-氧化-吡唑-异唑”4段,专利地雷几乎织密到每一个中间体的制备工艺。

另一方面,目前国内企业对于砜吡草唑及其中间体合成工艺的改进大部分还处于实验室、小试阶段,而适用于大规模工业化生产的制备工艺,从研发阶段到实际生产阶段,针对实际生产中发现的缺陷不断优化调整反应条件和操作细节,是需要长期技术积累的过程。

合成工艺类专利通常存在易侵权、难举证、维权困难的弊端,国内企业应当对上述技术积累过程进行归纳总结,及时梳理发掘发明点,通过制定有效的专利策略保护技术成果,进而从外企布下的严密的专利保护网中突出重围,把握主动权,在激烈的市场竞争中胜出。

相关推荐