仓储杀虫剂——甲基嘧啶磷

作者:磊子侃农药 2022/7/5 10:29:41
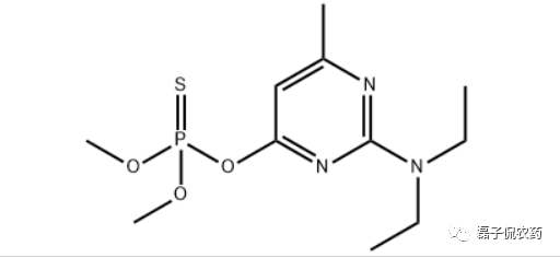
甲基嘧啶磷是 1974 年 ICI 公司开发的一种广谱、速效有机磷杀虫、杀螨剂 ,化学名称为O-(2-二乙基氨基-6-甲基-4-嘧啶基)O , O-二甲基硫逐磷酸酯。 甲基嘧啶磷是胆碱酯酶抑制剂,具有触杀和熏蒸作用。它能渗透到叶面组织 ,有叶面传导作用, 广泛用于防治仓库、粮仓、畜舍、庭院及工业厂房内的害虫与螨。特别是

甲基嘧啶磷是 1974 年 ICI 公司开发的一种广谱、速效有机磷杀虫、杀螨剂 ,化学名称为O-(2-二乙基氨基-6-甲基-4-嘧啶基)O , O-二甲基硫逐磷酸酯。

 

图片


甲基嘧啶磷是胆碱酯酶抑制剂,具有触杀和熏蒸作用。它能渗透到叶面组织 ,有叶面传导作用, 广泛用于防治仓库、粮仓、畜舍、庭院及工业厂房内的害虫与螨。特别是防治西红柿、黄瓜、辣椒、茄子等蔬菜中的白蝇、蓟马科害虫、粉蚧科的蚧壳虫、蚜虫和螨有良好的效果, 药效持久。目前甲基嘧啶磷最重要的作用是仓储害虫的防治。


理化性质
2022


甲基嘧啶磷的分子式为 C11H20N3PS , 分子量 305. 3 ,工业品的熔点为 15 —17 ℃, 相对密度 1. 17 (20 ℃)、1. 157(30 ℃), 折光率(n20D )1. 527 , 蒸气压 15M Pa(30 ℃), 在水中的溶解度为 8. 6mg /L(pH = 7. 3),能溶于大多数有机溶剂如乙醇、丙酮、卤代烷 ; 能被强酸和碱水解。


毒 性
2022


雌性大鼠急性经口LD50为2050mg/kg,雄小鼠为1180mg/kg,雄兔为1150~2300mg/kg,雌豚鼠为1000~2000mg/kg;兔急性经皮LD50>2000mg/kg。对皮肤和眼睛无刺激作用。大鼠90d喂饲试验无作用剂量为8mg/kg饲料,相当于每天0.4mg/kg。动物试验未见致癌、致畸、致突变作用。三代繁殖试验未见异常。鲤鱼LC50为1.6mg/L(24h)、1.4mg/L(48h)。


作用机理
2022


甲基嘧啶磷和其他有机磷类一样,都是乙酰胆碱酯酶抑制剂。具有触杀、胃毒、熏蒸和一定的内吸作用,其杀虫作用原理是通过引起储粮害虫体内乙酰胆碱蓄积,使胆碱能神经持续冲动而死亡,同时由于其具有残效期长的特点,因此也具备持续防护的效果。


靶标虫害
2022


甲基嘧啶磷具有胃毒和熏蒸作用。对于储粮甲虫、象鼻虫、米象、锯谷盗、拟锯谷盗、谷蠹、粉斑螟、蛾类和螨类均有良好的药效。也可防治仓库害虫、家庭及公共卫生害虫(蚊、蝇)。


使用方法
2022


1.普通喷施


将甲基嘧啶磷乳油按比例进行稀释,利用分步施药的方法在储粮仓房空间及粮堆表层喷雾施药,可覆盖不同生长发育阶段的储粮害虫,提高灭虫效率并具备持续性防护的作用。


2.雾化施药


使用雾化机将甲基嘧啶磷乳油按照比例稀释后,采用环流或者不环流的方法进行熏蒸。


国内登记情况
2022


国内只有三个企业有甲基嘧啶磷的原药登记,登记含量均为90% TC。其中湖南海利是目前唯一还在生产的企业。

 

图片


另外卫生方面的也是甲基嘧啶磷的登记方向,全国共有12个甲基嘧啶磷在卫生用药上的登记, 主要是防治室内蚊蝇。复配制剂与高效氯氰菊酯复配。

 

图片


50%或55%的乳油登记用于仓储害虫的防治

 

图片


湖南海利具有全国唯一一个甲基嘧啶磷在储量害虫防治方面的复配,与溴氰菊酯复配:

 

合成工艺
2022


甲基嘧啶磷的合成分三步:


先将二乙胺加硝酸生成二乙胺硝酸盐;再与石灰氮反应生成硝酸二乙胍 ;


然后与乙酰乙酸乙酯在碱存在下合环生成羟基嘧啶;


最后和 O , O-二甲基硫代磷酰氯反应合成甲基嘧啶磷原油。


图片


其重要中间体O , O-二甲基硫代磷酰氯(甲基氯化物)和毒死蜱的中间体O,O-二乙基硫代磷酰氯(乙基氯化物)结构相似,可用类似方法合成。


图片

(乙基氯化物)


总 结
2022


甲基嘧啶磷是目前最高效,经济的仓储杀虫剂之一。 随着熏蒸磷化氢类型的杀虫剂使用量减少, 甲基嘧啶磷是为数不多的仍然可以使用,杀虫效果良好且残留低的仓储杀虫剂。随着化学农药在仓储害虫防治方面使用量减少和害虫抗药性的增加, 其与溴氰菊酯复配,甚至与多杀菌素的复配可能会成为未来市场的主流。


相关推荐