新型扁桃酰胺类杀菌剂——双炔酰菌胺

作者: 李祝明 2023/12/6 10:04:28
双炔酰菌胺是1999年由先正达作物保护公司 Syngenta Crop Protection AG发现,2005年F. Huggenberger等报道的新型酰胺类杀菌剂,对由卵菌纲病原菌引起的(葡萄霜霉病、马铃薯和番茄的晚疫病、瓜类霜霉病等)病害有较好的防效,对处于萌发阶段的孢子具有较高的活性且可抑制菌丝生长和孢子的形成。2007年,双炔酰菌胺在奥地利、韩国首获登记,其国内的化合物专利保护期已于2

双炔酰菌胺是1999年由先正达作物保护公司 Syngenta Crop Protection AG发现,2005年F. Huggenberger等报道的新型酰胺类杀菌剂,对由卵菌纲病原菌引起的(葡萄霜霉病、马铃薯和番茄的晚疫病、瓜类霜霉病等)病害有较好的防效,对处于萌发阶段的孢子具有较高的活性且可抑制菌丝生长和孢子的形成。

2007年,双炔酰菌胺在奥地利、韩国首获登记,其国内的化合物专利保护期已于2021年5月14日期满。

1.


产品简介

图片

英文名称:mandipropamid
中文名称:双炔酰菌胺
其他名称:曼普胺。Pergado、Revus
化学名称:2-(4-氯苯基)-N-[2-(3-甲氧基-4-丙-2-炔氧基苯基)乙基]-2-丙-2-炔氧基乙酰胺
分子式:C23H22ClNO4
相对分子质量:411.878
登录号CAS:374726-62-2
结构式:
图片
三维结构式:
图片
理化性质:浅肤色粉末,熔点为96.4~97.3℃,蒸气压≤9.4×10-4 mPa(25℃),lgPow=3.2,相对密度1.24(22℃),溶解度:水4.2mg/L(25℃),正己烷0.042,正辛醇4.8,甲苯29,甲醇66,乙酸乙酯120,丙酮300,二氯甲烷400(g/L,25℃),稳定性:pH4~9不发生水解。

2.


作用机理

图片

双炔酰菌胺为抑制磷脂的生物合成,对绝大数由卵菌引起的叶部和果实病害均有很好的抑制作用。对处于萌发阶段的孢子具有较高的活性,并可抑制菌丝成长和孢子形成。可以通过叶片被迅速吸收,并停留在叶表蜡质层中,对叶片起一定的保护作用。国际杀菌剂抗性行动委员会FRA 40,H5,CAA-杀菌剂组。

3.


应用范围

图片

应用:对绝大数由卵菌引起的叶部和果实病害均有很好的防效。对以下但不限于黄瓜霜霉病、荔枝霜霉病、辣椒疫病、番茄晚疫病、马铃薯晚疫病等。
常见剂型:23.4%双炔酰菌胺SC
代表产品:瑞凡、瑞至、傲卓、傲亮
应用技术:防治辣椒疫病、西瓜疫病、马铃薯晚疫病用23.4%悬浮剂1500~2500倍(或每亩30~45毫升),在病害发生前或发生初期及时喷药,病害发生严重时可以和其他药剂混配喷药,如与精甲霜灵、恶霜灵、代森锰锌、或霜霉威等混配,能有很好的增效作用。

4.


产品特点

图片

(1)双炔酰菌胺为新型卵菌纲病害杀菌剂,是一种高效防治各种作物上霜霉病和晚疫病的杀菌剂,对病菌具有预防、治疗和降低病菌繁殖数量3大特点。它具有稳定、持久的预防保护作用,比以前的杀菌剂有效期长5~7 d,可大大减少喷药次数,减轻劳动强度。
(2)对霜霉属和疫霉属等卵菌纲致病真菌均有较好的活性,对西瓜疫病、辣椒疫病、马铃薯晚疫病等有特效。
(3)杀菌活性高,抗性风险小。对马铃薯晚疫病的防效,明显优于氰霜唑、氟啶胺、代森锰锌等药剂,马铃薯晚疫病菌中未发现稳定的抗性分离菌株。
(4)具有预防、治疗及抗产孢活性,极好的预防活性,极低浓度下仍能表现很好的活性。
(5)双炔酰菌胺喷施到作物表面以后,可以在1.5 h后迅速渗透到叶片表面的蜡质层和叶肉细胞内,并可以进行跨层传导,渗透到叶片背面,大大提高了药剂的保护效果。由于很多药剂已渗透到蜡质层,所以抗耐雨水冲刷能力极好。因此,田间持效时间长。

5.


登记情况

图片

国内登记情况
经中国农药信息网查询,截止日前,双炔酰菌胺在我国共登记6个产品,其中1个原药和5个制剂,详情见下表。
图片
国外登记情况

2007年,双炔酰菌胺在奥地利、韩国首获登记;用于防治马铃薯、番茄、葡萄藤和蔬菜上的病害。
2008年在美国获得登记;250g/L双炔酰菌胺,用于防治蔬菜和葡萄霜霉病。和250g/L双炔酰菌胺+250g/L苯醚甲环唑,用于马铃薯和西红柿晚疫病和早疫病的防治。
2008年加拿大也批准了先正达的杀菌剂Revus(双炔酰菌胺250g/L),用于防治蔬菜和葡萄的卵菌纲病害。
2014年,英国上市登记用于马铃薯作物。
双炔酰菌胺还在绝大多数欧洲市场以及澳大利亚、日本、巴西、智利和哥伦比亚等国上市。

6.


未来可复配推荐

图片


双炔酰菌胺+甲霜灵/精甲霜灵:主要用于防治卵菌目病害,如霜霉病、疫病、白锈病、根腐病、茎腐病、绵腐病、果腐病等, 对蔬菜及果树的霜霉病、疫病有特效。
双炔酰菌胺+霜霉威/霜霉威盐酸盐:主要用于防治卵菌目病害,如霜霉病、疫病等。
双炔酰菌胺+乙嘧酚:对卵菌纲真菌如疫霉菌、霜霉菌、假霜霉菌、腐霉菌以及根肿菌纲的芸苔根肿菌具有很高的生物活性。

双炔酰菌胺+二硫代氨基甲酸盐类(丙森锌、代森联、代森锌):可预防多种病害,如:果树、小麦、马铃薯、番茄、葡萄、蔬菜以及花卉和水稻等, 防治卵菌纲真菌如疫霉菌、霜霉菌、假霜霉菌、腐霉菌以及根肿菌纲的 芸苔根肿菌引起的植物病害。对霜霉病、疫病有特效。

烯酰吗啉+双炔酰菌胺:对卵菌纲真菌如疫霉菌、霜霉菌、假霜霉菌、腐霉菌以及根肿菌纲的芸苔根肿菌具有很高的生物活性。对蔬菜及果树的霜霉病、疫病有特效。
双炔酰菌胺+啶氧菌酯对葡萄黑痘病、葡萄霜霉病、西瓜蔓枯病、西瓜疫病等病害有明显的增效作用。
双炔酰菌胺+噁唑菌酮:对葡萄霜霉病、马铃薯晚疫病等病害有明显的增效作用。
吲唑磺菌胺+双炔酰菌胺:可有效防治蔬菜、葡萄、荔枝、瓜类的霜霉病和疫病等病害。
双炔酰菌胺+氟噻唑吡乙酮:用于防治由葡萄生单轴霉菌引起的葡萄霜霉病,防效显著且持效期长,能够有效减缓病原菌抗药性产生和发展,对环境友好。
氟吡菌胺/缬霉威+双炔酰菌胺:主要用于防治黄瓜、番茄、葡萄、草莓、豌豆、韭菜、等作物灰霉病、枯萎病、霜霉病以及果树黑星病、斑点落叶病,对番茄晚疫病、黄瓜炭疽病、白粉病叶有优异的防治效果。

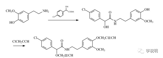
7.


合成路线

图片

双炔酰菌胺的合成主要涉及两个中间体的合成,即中间体4-羟基-3-甲氧基苯乙胺和2-(4-氯苯基)-2-羟基-N-[2-(4-羟基-3-甲氧基苯基)-乙基]乙酰胺的合成。
中间体1的合成:首先4-羟基-3-甲氧基氯苄与氰化钠反应得到4-羟基-3-甲氧基苯乙腈,再加氢得到中间体4-羟基-3-甲氧基苯乙胺,反应式如下:
图片
中间体2的合成:对4-氯苯乙酸经溴化得到2-(4-氯苯基)-2-溴乙酸,2-(4-氯苯基)-2-溴乙酸在碱性条件下,水解得到中间体2-(4-苯基)-2-羟基乙酸,4-羟基-3-甲氧基苯乙胺与2-(4-苯基)-2-羟基乙酸回流带水进行酰化反应2-(4-氯苯基)-2-羟基-N-[2-(4-羟基-3-甲氧基苯基)-乙基]乙酰胺,反应式如下:
图片
双炔酰菌胺的合成:在相转移催化下与丙炔基溴反应得到目的产物双炔酰菌胺,反应式如下:
图片

8.


前景展望

图片

双炔酰菌胺为具有新化学结构,并对植物卵菌类病害具有很高防效的新颖杀菌剂。该药剂不仅活性高,且具有很强的耐雨性以及良好的持效性。自上市以来,双炔酰菌胺一直是先正达的销售增长点,值得注意的是虽然双炔酰菌胺在市场上受到广泛认可,但其被国际杀菌剂抗性行动委员会定义为FRA 40,H5,CAA-杀菌剂组,与其他CAA组的杀菌剂如:苯乙烯酸氨基化合物(烯酰吗啉、氟吗啉),缬氨酸氨基甲酸盐化合物(异丙菌胺、苯噻菌胺、异苯噻菌胺)存在交互抗性,在推广过程中应注意复配交替使用,通过复配等手段以保持其市场竞争力。


相关推荐