西北农林科技大学区域发展与循环农业团队在土壤碳循环领域取得新进展

作者:西北农林科大 2024/7/29 13:48:38
近日,西北农林科技大学区域发展与循环农业团队在土壤碳循环领域取得新进展。研究成果以“Thermal sensitivity of soil microbial carbon use efficiency across forest biomes”为题发表于Nature Communications。任成杰教授为论文第一作者,杨改河教授、韦革宏教授以及东北林业大学周正虎教授为论文共同通讯作者。碳利用效

近日,西北农林科技大学区域发展与循环农业团队在土壤碳循环领域取得新进展。研究成果以“Thermal sensitivity of soil microbial carbon use efficiency across forest biomes”为题发表于Nature Communications任成杰教授为论文第一作者,杨改河教授、韦革宏教授以及东北林业大学周正虎教授为论文共同通讯作者。


图片

碳利用效率(CUE)是土壤微生物组的关键生理生态性状,其平衡土壤有机碳的形成(微生物源有机碳)和释放。将微生物CUE整合到地球系统模型中可以显著提高模型对土壤碳循环过程的模拟精度。然而,微生物CUE如何响应与适应气候变化尚不清楚,微生物CUE如何调控土壤有机碳周转亟待解决。以上问题严重限制了我们对土壤有机碳-气候变化反馈的理解。

基于此,本研究利用18O同位素示踪技术量化了中国南北样带典型森林土壤5、10、15、20、25、30℃下的微生物CUE。结合宏基因组和核磁共振技术,利用结构方程模型挖掘气候、土壤属性、底物质量、微生物群落结构和功能对大尺度森林土壤微生物CUE及其温度敏感性的驱动机制,并进一步解析微生物CUE对土壤有机碳-气候变化反馈的调控机理。

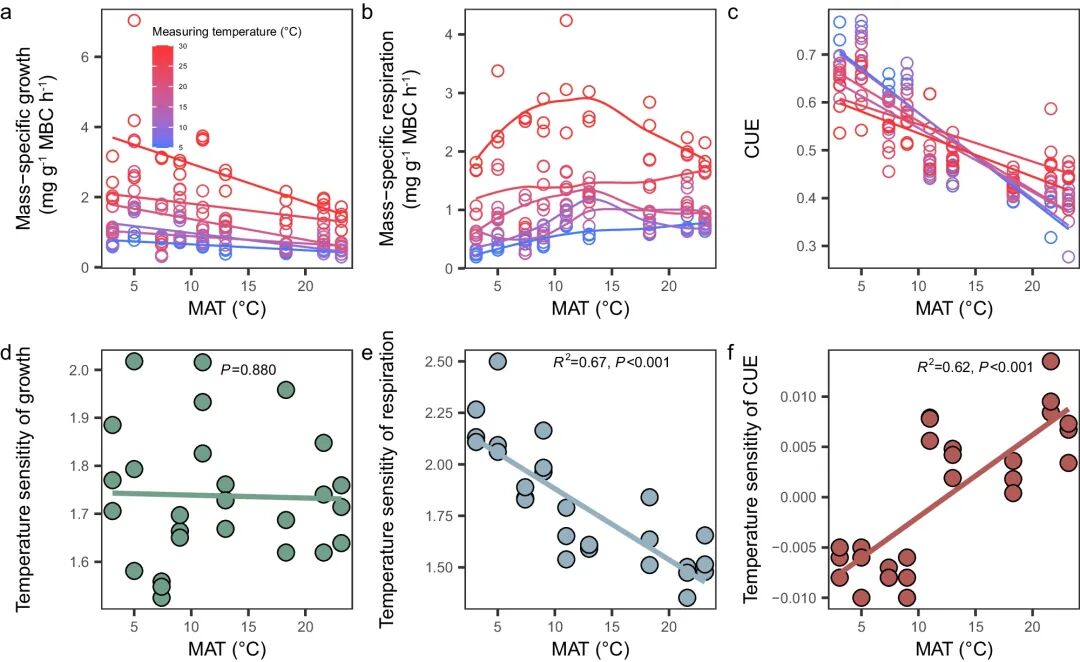
结果发现:首次在大尺度上证明土壤微生物CUE对温度变化的线性响应。气候是影响土壤微生物CUE及其温度敏感性(微生物CUE与测量温度之间线性关系的斜率)的主要因素。即微生物CUE随年平均气温升高降低,而微生物CUE的温度敏感性随年平均气温升高增加。温带森林土壤微生物CUE的负温度敏感性和热带/亚热带森林的正温度敏感性表明微生物CUE在其长期适应的温度下达到最佳。研究修正了理论和模型研究中CUE的温度敏感性为负值的假设,研究结果可以提高了现有微生物模型对土壤有机碳循环的预测精度。

图片
图1:土壤微生物CUE及其温度敏感性的气候依赖性

气候还通过改变土壤属性、底物质量、微生物群落结构和功能调控微生物CUE及其温度敏感性。研究发现,土壤微生物利用低质量有机碳却具有高的微生物CUE,这是因为微生物通过调整群落结构和功能基因适应底物质量的变化。真菌比细菌更适应低温条件,且具有较高的CUE。因此,温带森林土壤中高的真菌细菌比增加了微生物CUE。随着温度升高,微生物代谢将由真菌主导转变为细菌主导。这一转变中,富营养细菌利用高纬度森林低质量有机碳将具有较低的CUE,进一步导致负的微生物CUE温度敏感性,反之,会导致热带/亚热带森林的正的微生物CUE温度敏感性。

图片
图2:土壤微生物CUE及其温度敏感性的关键驱动因子

相同温度条件下,温带森林土壤微生物对有机碳的同化吸收能力要高于热带/亚热带森林。此外,当温度低于24°C时,增温将加剧碳的排放,表现为正反馈;当温度超过24°C,增温降低了碳的排放速率,表现为负反馈。总之,土壤微生物CUE的可塑性及其温度敏感性改变了土壤有机碳对气候变暖的反馈:气候适应性微生物群落在相应的有利气候条件下可以通过提高CUE来有效的降低其对土壤有机碳的分解释放。这一发现有助于研发“因地制宜”的“碳中和”微生物菌株以提高土壤碳汇功能。

图片
图3:土壤微生物CUE调控土壤有机碳-气候变化反馈

研究得到了国家重点研发计划项目和国家自然科学基金等项目资助。这是本年度该研究团队围绕土壤碳循环领域在Nature Communications发表的第二篇文章,上一篇文章题目为Global turnover of soil mineral-associated and particulate organic carbon,上一次研究首次构建了土壤矿物结合有机碳和颗粒有机碳储量和周转的全球图谱,并研发了包含两种功能组分的土壤碳循环新模型,为提升土壤有机碳储量,助力“碳中和”提供重要科学依据。

相关推荐