SDHI类杀菌剂——苯并烯氟菌唑

作者:农博生物 2022/9/29 11:12:29
苯并烯氟菌唑(benzovindiflupyr,商品名:Solatenol,试验代号SYN545192)是先正达开发的吡唑酰胺类杀菌剂,是琥珀酸脱氢酶抑制剂(SDHI)。该杀菌剂广谱、高效,持效期长,叶面喷雾或土壤处理可防治多种作物、草坪和花卉的叶面病害和土壤病害。其与甲氧基丙烯酸酯类及三唑类杀菌剂无交互抗性,可以和多种杀菌剂复配使用。2013年首先在玻利维亚和巴拉圭上市,现已相继在欧盟,阿根廷、

苯并烯氟菌唑(benzovindiflupyr,商品名:Solatenol,试验代号SYN545192)是先正达开发的吡唑酰胺类杀菌剂,是琥珀酸脱氢酶抑制剂(SDHI)。该杀菌剂广谱、高效,持效期长,叶面喷雾或土壤处理可防治多种作物、草坪和花卉的叶面病害和土壤病害。其与甲氧基丙烯酸酯类及三唑类杀菌剂无交互抗性,可以和多种杀菌剂复配使用。2013年首先在玻利维亚和巴拉圭上市,现已相继在欧盟,阿根廷、巴西、美国、加拿大、法国、英国和新西兰等国家获得登记和上市。

图片

苯并烯氟菌唑的结构式


作用机理

苯并烯氟菌唑是广谱叶用杀菌剂,是琥珀酸脱氢酶抑制剂,作用于病原菌线粒体呼吸电子传递链上的蛋白复合体Ⅱ,即琥珀酸脱氢酶(succinate dehydrogenase,SDH)或琥珀酸-泛醌还原酶(succinate ubiquinone reductase,SQR),影响病原菌的呼吸链电子传递系统,阻碍其能量代谢,抑制病原菌的生长,导致其死亡,从而达到防治病害的目的。


应用

苯并烯氟菌唑广谱、高效,持效期长,具有优异的内吸传导性,能紧密结合植物蜡质层,缓慢渗透到植物组织中,通过干扰真菌细胞的正常呼吸过程来作用于靶标病原菌,抑制病原菌的生长,可抑制孢子萌发、菌丝生长和孢子形成。叶面喷雾或土壤处理,防治大豆、谷物、玉米、棉花、特种作物、草坪、观赏植物等的叶面病害和土壤病原菌。其对大豆上的亚洲大豆锈病(Phakopsora pachyrhizi ),小麦上由壳针抱菌( Septoria spp.)引起的病害(如叶枯病等)、白粉病、锈病、全蚀病、基腐病,花生黑斑病,玉米小斑病、灰霉病等均有很好的防效。


由于SDHI类杀菌剂作用位点单一,抗性发展水平较高,因此,国际杀菌剂抗性行动委员会(FRAC)建议,将该类杀菌剂与其他不同作用机理的杀菌剂复配或轮换使用。苯并烯氟菌唑适配性好,可与多种杀菌剂复配,如嘧菌酯、丙环唑、苯醚甲环唑、丙硫菌唑、啶氧菌酯、环丙唑醇等。复配产品的开发不仅扩大了防治谱,而且更有助于抗性管理。


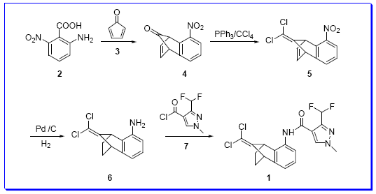
合成路线

以2-氨基-6-硝基苯甲酸为起始原料,经环加成,烯烃化,加氢还原,缩合四步反应合成苯并烯氟菌唑,如下图所示。该工艺路线更加清洁,高效,可行,具有较好的工业化应用前景。

图片


登记情况

2013年,苯并烯氟菌唑首先在玻利维亚和巴拉圭上市。随后在巴西、阿根廷、美国、加拿大、墨西哥、乌拉圭、欧盟、英国、澳大利亚、中国、新西兰等国家登记。


中国登记:截至目前,国内只有2个登记证,具体如下:

图片


美国登记:截至目前,EPA共批准登记了11个苯并烯氟菌唑产品,包括1个原药、2个单剂、8个复配产品;主要与嘧菌酯、丙环唑、苯醚甲环唑、嘧菌酯+丙环唑等复配。制剂产品涉及的剂型有:乳油、水分散粒剂、可溶液剂、悬乳剂。


加拿大登记:2015年,苯并烯氟菌唑在加拿大登记获得登记以来,现有12个苯并烯氟菌唑产品,包括1个原药、6个单剂、5个复配产品,主要与嘧菌酯、丙环唑、苯醚甲环唑。制剂产品涉及的剂型有:乳油、水分散粒剂、可溶液剂。


欧盟登记:2016年3月2日,苯并烯氟菌唑在欧盟正式登记,有效期至2023年3月2日。

图片


澳大利亚登记:2019年,苯并烯氟菌唑在苯并烯氟菌唑取得登记,随后又获得40.0g/l苯并烯氟菌唑+250.0g/l丙环唑EC。

图片


巴西登记:巴西在苯并烯氟菌唑的全球市场中发挥了举足轻重的作用。巴西登记了苯并烯氟菌唑+嘧菌酯,苯并烯氟菌唑+啶氧菌酯,苯并烯氟菌唑+丙硫菌唑等。


其他国家:2013年,苯并烯氟菌唑在玻利维亚和巴拉圭上市。这是苯并烯氣菌唑最先上市的2个国家。2019年,先正达在阿根廷登记了苯并烯氟菌唑+丙环唑。


化合物专利

2003年,先正达公司申请了关于苯并烯氟菌唑的化合物专利,包括PCT专利、欧洲专利、美国专利、中国专利等,这些专利将于2023年10月到期。


市场前景

苯并烯氟菌唑自2013年上市以来,其多个产品己在多个国家登记。其复配产品Elatus(苯并烯氟菌唑+嘧菌酯)在巴西上市后,在亚洲大豆锈病的防治中发挥重要作用。基于苯并烯氟菌唑优异的产品性能以及在巴西市场的强势增长,先正达将其年峰值销售潜能从5.0亿美元提升至10.0亿美元。2023年10月,苯并烯氟菌唑在许多国家的化合物专利到期,该产品将会受到更多公司的关注,苯并烯氟菌唑有可能在未来将会以更快的速度发展,成为先正达SDHI全球杀菌剂市场重要一员。



参考文献:

1)新型杀菌剂苯并烯氟菌唑合成研究,尹凯,世界农药
2)苯并烯氟菌唑-先正达继嘧菌酯之后的第二大杀菌剂,柏亚罗,农药资讯网


相关推荐