27个吡啶类农药研发进展

作者:《农药》2022年第10期 李登奎等 2022/11/4 10:12:35
在早期药物设计中,吡啶作为苯环的电子等排体被频繁使用。因为,吡啶结构不仅具有良好的稳定性,而且通过吡啶替代苯环结构,往往能够使药物分子获得更加出色的生物活性,是新药研发阶段对化合物结构优化的主要设计策略之一。因此,在药物分子设计中,吡啶杂环是一种非常有吸引力的电子等排体结构。研究显示,吡啶较苯环具有一定的碱性,且疏水性较弱(吡啶的logP=0.65,苯环的logP=2.13),可以在一定的情况下增

在早期药物设计中,吡啶作为苯环的电子等排体被频繁使用。因为,吡啶结构不仅具有良好的稳定性,而且通过吡啶替代苯环结构,往往能够使药物分子获得更加出色的生物活性,是新药研发阶段对化合物结构优化的主要设计策略之一。因此,在药物分子设计中,吡啶杂环是一种非常有吸引力的电子等排体结构。


研究显示,吡啶较苯环具有一定的碱性,且疏水性较弱(吡啶的logP=0.65,苯环的logP=2.13),可以在一定的情况下增加化合物的吸收传导性质,提高化合物的生物活性,减少化合物的使用剂量,进一步减少对环境的影响。吡啶上的氮原子含孤对电子,使得吡啶基团能够参与一些特定的氧化还原反应和配位反应,更容易与靶点蛋白质中的氨基酸产生氢键和π-π堆积相互作用,使得含吡啶化合物较苯环化合物更易与靶点蛋白稳定结合,提高化合物的靶点活性,增加化合物的选择性,降低化合物毒理上的风险。


在农药分子设计中,合理引入吡啶基团,可以在一定程度上提高化合物活性、降低环境影响与哺乳动物毒性,开发出符合现代农业需求的绿色农药。在农药的研究发展史上,大量具有吡啶结构的化合物,被开发成为成功的农药品种和极具潜力的活性化合物。本文对2012—2022年ISO公布的含吡啶基团的农药活性成分进行了分析和展望。其中,含吡啶基团的杀虫剂有10个,杀菌剂10个,除草剂3个。


图片

01

含吡啶基团的杀虫剂

目前,杀虫剂发展趋势由有机磷类、氨基甲酸酯类和拟除虫菊酯类,向新烟碱类和双酰胺类杀虫剂转变。新烟碱类和双酰胺类杀虫剂对昆虫体内的作用靶点基本固定,分别为烟碱乙酰胆碱受体(Nicotinic Acetylcholine Receptors,nAChR)和鱼尼丁受体(Ryanodine Receptor,RyR),因此这2类杀虫剂具有高度的选择性杀虫性能,比其他类型杀虫剂更加安全环保。2012—2022年,ISO公布通用名称的含吡啶基团的杀虫剂活性成分包括1个新烟碱类杀虫剂:flupyrimin;4个双酰胺类杀虫剂活性成分:氟氯虫双酰胺(fluchlordiniliprole)、四氯虫酰胺(tetrachlorantraniliprole)、四唑虫酰胺(tetraniliprole)、环溴虫酰胺(cyclaniliprole);5个其他类型的新型杀虫剂:nicofluprole、oxazosulfyl、tyclopyrazoflor、acynonapyr和双丙环虫酯(afidopyropen)。为了能够对含吡啶基团的杀虫剂更直观分析,本文补充了4种2012年之前的杀虫剂活性成分:氟啶虫胺腈(sulfoxaflor,新烟碱类)、氟吡呋喃酮(flupyradifurone,新烟碱类)、氯虫苯甲酰胺(chlorantraniliprole,双酰胺类)和溴氰虫酰胺(cyantraniliprole,双酰胺类)。


1.1  含吡啶基团的新烟碱类杀虫剂


昆虫神经系统相关的靶点蛋白是新型杀虫剂创制的重要靶标,其中烟碱乙酰胆碱受体是昆虫神经系统重要的组成部分。作用于该靶标的新烟碱类杀虫剂,被广泛应用于防治各类害虫。新烟碱类杀虫剂是基于烟碱设计的一类化合物。此类化合物不仅继承了烟碱的高效杀虫活性,而且降低了烟碱杀虫剂在环境中的毒性,随着新烟碱类杀虫剂的不断发展,还能够更好地应对昆虫抗药性发展问题。如今,新烟碱类杀虫剂已经发展到了第3代,含有吡啶结构的代表品种包括:flupyrimin、氟吡呋喃酮(flupyradifurone)、氟啶虫胺腈(sulfoxaflor)(见图1)。

 

图片

图1  含吡啶基团的新烟碱类杀虫剂


通过对图1中新烟碱类农药的分子结构分析可知:吡啶基团中的N原子容易与nAChR形成氢键相互作用,而且其分子结构末端通常是带有负电的硝基或腈基等共轭基团,通过与昆虫的nAChR选择性结合,表现出稳定的结合作用。


Flupyrimin是由日本明治制果药业株式会社开发的作用于烟碱乙酰胆碱受体的杀虫剂,2017年6月获得ISO通用名称。作为烟碱乙酰胆碱受体拮抗剂,其识别方式不同于其他烟碱类杀虫剂,因此具有独特的生物活性。同时,flupyrimin可有效防治鳞翅目、半翅目、缨翅目、双翅目等农业害虫,被广泛用于农业和卫生杀虫剂领域。该杀虫剂对哺乳动物、鱼类和藻类等非靶标生物毒性较低,对传粉昆虫相对安全,对蜜蜂的安全性优于吡虫啉、氟吡呋喃酮、三氟苯嘧啶和氟啶虫胺腈等烟碱乙酰胆碱受体杀虫剂。


氟吡呋喃酮是由德国拜耳公司研发公布的一种烟碱类杀虫剂,2011年6月获得ISO通用名。氟吡呋喃酮是烟碱乙酰胆碱受体激动剂,作用于受体蛋白,诱导去极化离子流,使得神经系统处于亢奋、紊乱、失调状态,最终使昆虫中枢神经系统崩溃而死亡。氟吡呋喃酮对蜜蜂低毒,对生态环境友好,在植保领域应用广泛。氟吡呋喃酮的适用作物众多,防治谱广,可用于大豆(种子处理)、棉花、蔬菜、咖啡、果树以及其他大田作物等。该杀虫剂主要用于高选择性的防治刺吸式口器害虫,如蚜虫、粉虱、木虱、叶蝉、介壳虫、甲虫、潜叶蝇、粉蚧、软蚧、柑橘木虱、象甲和蓟马等,对包括幼虫和成虫在内的所有生长期害虫皆有效。


氟啶虫胺腈是由美国陶氏益农公司(现科迪华)开发的亚砜亚胺类杀虫剂,2008年9月获得ISO通用名。氟啶虫胺腈作用于昆虫体内的烟碱乙酰胆碱受体亚基之间位点,使乙酰胆碱无法与乙酰胆碱受体相结合,进而阻断昆虫中枢神经系统正常传导,造成害虫出现麻痹而死亡。氟啶虫胺腈广谱、高效、速效、持效期长,具有胃毒和触杀作用,并有内吸传导活性,对多种刺吸式口器害虫有效,如盲蝽、介壳虫、飞虱、粉虱等农业害虫;适用于棉花、花卉,以及甘蓝、柑橘等蔬菜和果树作物。氟啶虫胺腈与其他刺吸式口器害虫防治药剂(如部分新烟碱类杀虫剂)相比,活性更优,且与包括吡虫啉在内的新烟碱类杀虫剂无交互抗性。


1.2  含吡啶基团的双酰胺类杀虫剂


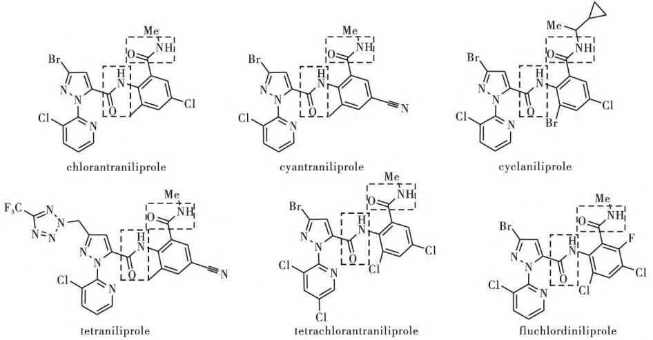
双酰胺类化合物是一类具有特定靶点活性的新型杀虫剂。这类杀虫剂普遍具有高效、广谱的杀虫活性,以及良好的安全性和环境友好性。概述了6种已经上市的含吡啶基团双酰胺类杀虫剂活性成分(见图2):氯虫苯甲酰胺(chlorantraniliprole)、溴氰虫酰胺(cyantraniliprole)、环溴虫酰胺(cyclaniliprole)、四唑虫酰胺(tetraniliprole)、四氯虫酰胺(tetrachlorantraniliprole)、氟氯虫双酰胺(fluchlordiniliprole)。这6种化合物的骨架结构相似,但在苯环、吡啶基团和吡唑基团上具有不同的取代基团,导致其表现出不同的生物活性。上述化合物的作用靶点均为昆虫的鱼尼丁受体(Ryanodine Receptor,RyR)。这些活性化合物被昆虫吸收进体内,与鱼尼丁受体作用,通过破坏昆虫体内钙离子平衡,从而影响昆虫肌肉调节能力,使其停止取食,最终致死。


图片

图2  含吡啶基团的双酰胺类杀虫剂


图2所示杀虫剂结构式中,其结构通常含有吡啶和吡唑杂环基团,以及1个苯环基团和2个酰胺基团。其中,吡啶基团和吡唑基团中的3个N原子与RyR受体可形成氢键作用;同时,酰胺基团中的N原子易质子化,从而增加了与RyR受体的静电吸引;苯环不仅链接2个酰胺基团,并且还被一些中性基团和负电性基团所取代,提升了化合物的疏水性能和静电吸引能力。


其中氯虫苯甲酰胺是美国杜邦公司开发的鱼尼丁受体作用剂类杀虫剂,2006年9月获得ISO通用名称。氯虫苯甲酰胺是一种广谱杀虫剂,可用于防治鳞翅目的夜蛾科、螟蛾科、卷叶蛾科、粉蛾科、蛀果蛾科、菜蛾科、麦蛾科、细蛾科等多种害虫,杀虫效果优异;同时,对部分鞘翅目、半翅目和双翅目虫害也有较好防效。


继氯虫苯甲酰胺之后,美国杜邦公司成功开发鱼尼丁受体杀虫剂——溴氰虫酰胺,2008年9月获得ISO通用名称。溴氰虫酰胺和氯虫苯甲酰胺在结构上高度相似,只是苯环上的氯(Cl)换成了氰基(CN),却使溴氰虫酰胺更高效,活性谱更广,对环境安全。溴氰虫酰胺被视为氯虫苯甲酰胺的完美补充,适用作物更广泛,既能防治咀嚼式口器害虫,又能防治刺吸式口器害虫,包括鳞翅目、半翅目和鞘翅目害虫。


环溴虫酰胺是日本石原产业公司研发的双酰胺类杀虫剂,2013年4月获得ISO通用名。环溴虫酰胺主要作用于鱼尼丁受体变构体,具有广谱的杀虫活性,可用于大豆、棉花、马铃薯、蔬菜、茶树和果树等众多作物,对鳞翅目、鞘翅目、双翅目、缨翅目和同翅目等农业害虫有良好的防治效果。


四唑虫酰胺是德国拜耳公司研发的一种双酰胺类杀虫剂,2014年4月获得ISO通用名。四唑虫酰胺可用于玉米、水稻、马铃薯等大田作物以及蔬菜和果树等作物,对鳞翅目、鞘翅目、双翅目的农业害虫有良好的防治效果。


四氯虫酰胺是沈阳中化农药化工研发有限公司开发的一类双酰胺类杀虫剂,也是我国首个具有自主知识产权的双酰胺类杀虫剂产品,在2018年3月获得ISO通用名。四氯虫酰胺作为昆虫鱼尼丁受体激活剂,对二化螟、稻纵卷叶螟、小菜蛾、菜青虫等农业害虫有良好的防治效果,用于水稻和蔬菜作物。


氟氯虫双酰胺是海利尔药业集团股份有限公司开发的一类双酰胺类化合物,2021年6月获得ISO通用名称。氟氯虫双酰胺具有广谱的杀虫活性。在较低的剂量下,对二化螟、小菜蛾、甜菜夜蛾、蚜虫等农业害虫具有良好的防治效果。



1.3  含吡啶基团的其他新型杀虫剂


图3中,双丙环虫酯(afidopyropen)是日本明治制果药业株式会社与北里研究所共同研发的生物源衍生物杀虫剂,2012年3月获得ISO通用名。目前,巴斯夫公司已获得了全球市场的双丙环虫酯原药开发和销售专有权。双丙环虫酯属于pyropene类杀虫剂,它通过调控昆虫香草酸瞬时受体通道复合物,导致昆虫对重心、平衡、声音、位置和运动等失去感应,干扰昆虫进食,导致昆虫饥饿死亡,对成虫和幼虫均有效。双丙环虫酯能够有效防治刺吸式口器害虫和吮吸式口器害虫;同时,可降低因昆虫介体传播的病毒病和细菌性病害。双丙环虫酯适用于经济作物、大田作物和观赏植物等,可采用叶面处理、种子处理和土壤处理。该品种对环境友好,无交互抗性,对蚯蚓、天敌和传粉昆虫等有益生物安全,符合现代害虫抗性管理和生物综合防治的发展要求。由于双丙环虫酯具有独特的pyropene化学结构和新颖的作用机理,被归类为杀虫剂作用机制分类中第9D组的第1个成员。


图片

图3  含吡啶基团的其他新型杀虫剂


Oxazosulfyl是由日本住友化学株式会社开发的首个含乙磺酰基吡啶片段的新型苯并噁唑类杀虫剂,2017年11月获得ISO通用名称。如图3所示,oxazosulfyl的结构特征在于其芳基乙基砜部分,表现出广谱杀虫活性,主要应用于防控水稻病虫害。尽管其具体作用机制并未被报道,该化合物仍具有被开发成一类全新机制杀虫剂的巨大潜力。


Tyclopyrazoflor是陶氏益农公司研发的吡啶基吡唑类杀虫剂,现由科迪华开发,2017年7月获得ISO通用名称。该杀虫剂主要用于防治棕榈象甲、棉粉虱等害虫;同时,对观赏植物、茄科植物、瓜类、柿子椒上的蚜虫、粉虱也有较好的防效。如图3所示,其结构还含有吡唑结构片段。


Acynonapyr是日本曹达株式会社开发的具有氮杂双环骨架的新颖杀螨剂,2017年3月获得ISO通用名称。其作用于谷氨酸受体,干扰害螨的神经传递,导致害螨行动失调,最终杀灭螨虫。它对叶螨和全爪螨有一定选择性,对果树、蔬菜以及茶树等作物害螨具有良好的防效。


Nicofluprole是德国拜耳公司研发公布的一种新型苯基吡唑烟酰胺类含氟杀虫剂,对昆虫GABA受体具有选择性拮抗活性,具有较强的触杀作用。2022年3月获得ISO通用名称。如图3所示,其结构借鉴了氟虫腈和双酰胺类杀虫剂的吡唑结构片段;不仅如此,该结构式中含有七氟异丙基片段,提高了分子的脂溶性。


图片

02

含吡啶基团的杀菌剂

当前市场中的明星杀菌剂主要包括以下3类:琥珀酸脱氢酶抑制剂(Succinate dehydrogenase inhibitor,SDHI),脱甲基抑制剂(Demethylation inhibitors,DMI),线粒体电子传递链复合物Ⅲ抑制剂——醌外抑制剂(Quinoneoutside inhibitor,QoI)和醌内抑制剂(Quinoneinside inhibitor,QiI)。从2012年至今,ISO公布了10个含吡啶基团的杀菌剂活性成分,包括1个SDHI类杀菌剂pyrapropoyne,1个DMI类杀菌剂啶菌噁唑(pyrisoxazole),1个QoI类杀菌剂氯啶菌酯(triclopyricarb),2个QiI类杀菌剂florylpicoxamid、fenpicoxamid;还包括3个作用机理未见报道的杀菌剂fluoxytioconazole、metarylpicoxamid、cyclobutrifluram,2个作用机理独特的杀菌剂aminopyrifen、四唑吡氨酯(picarbutrazox)(见图4)。


图片

图4  含吡啶基团的杀菌剂


2.1  含吡啶基团的SDHI类杀菌剂


Pyrapropoyne是日产化学株式会社开发的吡唑酰胺类杀菌剂,2017年9月获得ISO通用名称。从化学结构分析,该化合物可能为SDHI类杀菌剂。该杀菌剂主要用于蔬菜、葡萄、梨果、核果等作物,防治由子囊菌引起的病害,对由灰葡萄孢菌引起的园艺植物灰霉病,以及草莓果腐病均具有良好的防治效果。


2.2  含吡啶基团的DMI类杀菌剂


啶菌噁唑(pyrisoxazole)是沈阳中化农药化工研发有限公司与美国罗门哈斯公司(现科迪华)共同研发公布的一种新型噁唑类杀菌剂,2012年5月获得ISO通用名称。啶菌噁唑从作用机理上属于DMI类杀菌剂,通过抑制真菌的细胞膜固醇的生物合成,达到杀菌效果。主要用于防治番茄灰霉病、番茄叶霉病、黄瓜灰霉病、苹果斑点落叶病、葡萄白腐病、花生褐斑病等病害。


2.3  含吡啶基团的QoI类和QiI类杀菌剂


Florylpicoxamid是陶氏益农公司开发一种吡啶酰胺类杀菌剂,2017年11月获得ISO通用名称。该化合物属于QiI类杀菌剂,作用于真菌的线粒体电子传递链复合物Ⅲ Qi泛醌(即辅酶Q)键合位点,抑制线粒体呼吸作用,从而达到灭菌效果。其具有广谱杀菌活性,对壳针孢属、葡萄孢属、链核盘菌属、链格孢属等真菌都具有良好的杀菌效果,可用于谷物、葡萄、果树、坚果、蔬菜等作物,防治白粉病、炭疽病、斑点病等病害。


Fenpicoxamid是陶氏益农公司和明治制果公司共同研发公布的一种吡啶酰胺类杀菌剂,2016年8月获得ISO通用名称。该杀菌剂从作用机理上属于QiI类杀菌剂,作用于真菌的线粒体电子传递链复合物Ⅲ Qi泛醌键合位点,抑制线粒体呼吸作用来发挥杀菌活性。可用于谷物、香蕉以及观赏植物等作物,防治锈病、壳针孢菌引起的病害。该化合物是由天然化合物UK-2A通过发酵衍生而来,因此拥有良好的毒理学特性,对环境友好,对非靶标生物安全性高。


氯啶菌酯(triclopyricarb)是沈阳中化农药化工研发有限公司开发的甲氧基氨基甲酸酯类杀菌剂,2012年5月获得ISO通用名称。氯啶菌酯属于QoI类杀菌剂,作用于线粒体电子传递链复合物Ⅲ外侧的Qo泛醌,通过阻断细胞色素b和细胞色素c之间电子转移,抑制线粒体呼吸作用,从而灭杀真菌。氯啶菌酯具有广谱杀菌活性,对稻瘟病、水稻纹枯病、稻曲病、小麦白粉病和赤霉病等具有良好的防治效果。


2.4  含吡啶基团的其他类型杀菌剂


Fluoxytioconazole和metarylpicoxamid均为科迪华所开发的杀菌剂。其中fluoxytioconazole属于三唑类杀菌剂,于2021年3月获得ISO通用名称;metarylpicoxamid为吡啶酰胺类杀菌剂,于2021年3月获得ISO通用名称。其他信息暂未见报道。


Cyclobutrifluram是由先正达公司研发公布的一种新烟酰胺类杀菌剂,具有独特的环丁烷结构,2020年1月获得ISO通用名称。该化合物为SDHI类杀菌剂,具有广谱杀菌活性,同时具有杀线虫活性,对危害黄瓜、番茄、玉米和甜菜等作物的根结线虫,以及甜菜孢囊线虫和玉米短体线虫等,均有良好的防治效果,可用于土壤处理或种子处理。


Aminopyrifen是由日本住友化学公司开发的吡啶类杀菌剂,2017年4月获得ISO通用名。该化合物具有二苯醚结构,其杀菌机理新颖,通过抑制酰基转移酶(GWT-1)的活性,从而影响内质网膜上糖基磷脂酰肌醇(glycosylphosphatidylinositol,GPI)的生物合成,使真菌繁殖终止。Aminopyrifen对灰葡萄孢在内的多种真菌病原表现出极强的抗菌活性,对多种果蔬作物白粉病和灰霉病表现出良好的防护效果。


四唑吡氨酯(picarbutrazox)是日本大水墨公司(现日本曹达公司)研发公布的一种氨基甲酸酯类杀菌剂,2013年8月获得ISO通用名称。四唑吡氨酯结构见图4,具有独特的四唑化学结构片段。该化合物属于四唑肟类杀菌剂,通过抑制病菌细胞膜的形成、抑制菌丝生长和孢子萌发,减少孢子囊形成和游动孢子的数量。四唑吡氨酯对盘梗霉属、腐霉属、霜霉属、假霜霉属和疫霉属等卵菌纲病原菌有良好的灭杀效果,可用于叶面喷施防治黄瓜、甜瓜、西瓜、小番茄、莴苣属作物、西兰花、甘蓝、大白菜、洋葱、日本萝卜、水稻、菠菜、马铃薯、番茄、葫芦、绿叶作物、草坪病害,也可用于玉米和大豆种子处理。四唑吡氨酯对人畜安全,对环境友好,对处理作物无药害。


图片

03

含吡啶基团的除草剂

2012年至今,ISO公布通用名称的含吡啶基团的除草剂活性物质包含3个品种:1个PPO抑制剂epyrifenacil,2个合成激素氟氯吡啶酯(halauxifen-methyl)、氯氟吡啶酯(florpyrauxifen-benzyl)。


Epyrifenacil是日本住友化学公司研发公布一种脲嘧啶类除草剂,于2020年3月获得ISO通用名。其作用机理为原卟啉原氧化酶(PPO)抑制剂。在小鼠代谢试验中,能够在小鼠体内快速分解代谢,对哺乳动物毒性较低。


氟氯吡啶酯(halauxifen-methyl)和氯氟吡啶酯(florpyrauxifen-benzyl)是陶氏益农公司(现科迪华)研发公布的2种合成激素类除草剂,分别是halauxifen(2012年11月获ISO通用名)和florpyauxifen(2016年4月获ISO通用名)的酯化衍生物(见图5)。由图5可以看出:氯氟吡啶酯和氟氯吡啶酯化学结构非常相似,都属于吡啶甲酸类衍生物,该类衍生物对AFB5蛋白有选择性结合能力,通过模拟天然植物生长激素作用,引起对植物特定生长素调节基因的过度刺激,干扰敏感植物的多个生理过程,从而导致植物生长异常而死亡。


图片

图5  含吡啶基团的除草剂

氟氯吡啶酯是陶氏益农(现科迪华)开发的第一个芳基吡啶甲酸酯类化合物,其与受体结合的方式独特,靶标位点不同于其他该类除草剂,且与位点间的亲和力更强,可以与AFB5靶点结合稳定,因此该类化合物具有极高的除草活性。氟氯吡啶酯和氯氟吡啶酯具有广谱除草性能,对阔叶杂草和恶性杂草、抗性杂草、禾本科杂草和莎草等田间杂草除草效果明显。可用于小麦、大麦、燕麦、黑麦、黑小麦、大豆、芸苔属植物等。特别的是,氯氟吡啶酯因为对水稻植株具有独特的选择性,在水稻植株内能被快速代谢,所以在稻田除草中被广泛推广。


图片

04

结论与展望

通过对近些年来ISO公布通用名称的含吡啶基团农药以及活性化合物信息进行分析,吡啶类化合物在农业杀虫剂、杀菌剂以及除草剂领域仍占有较大比重。吡啶基团作为骨架结构官能团或者修饰官能团,在新型农药创制方面具有重要的应用潜力和价值。但在前期的基础研究中,大量吡啶类活性化合物的活性与毒性规律尚缺乏更加深入的机制研究。例如,吡啶基团在农药活性分子中带来的活性差异是源于受体配体的结合强弱,还是来自于吸收传导的优势,大多数相关文献并无进一步的深入研究报道,尤其是受体与配体结合的微观作用方式,尚缺乏深入的研究数据,还需广大农药科研人员进行进一步的研究,总结出吡啶基团活性差异的规律,为新农药研发提供更多的设计理论依据。特别需要指出的是,随着大数据、人工智能和机器学习技术发展,新型安全高效的吡啶杂环药物发现与研发过程将会被更加高效的推动。同时,在产业开发中,吡啶类化合物的衍生与普通苯环相比具有较大的难度,在吡啶环上特定位点的活性官能团衍生方法依旧具有很大的研究价值,有助于提供更加丰富多样的吡啶衍生物,为生物活性研究拓展出更加多样性分子片段;也有助于降低吡啶类化合物的开发成本,促进吡啶类活性化合物的产业应用。


如上所述,不管在老药改良,还是新药研发领域,吡啶类衍生物都是值得农药研究者关注的重点。可以预见的是,含吡啶基团的化合物和吡啶类化合物开发,因其优秀的生物活性、高效性、高选择性以及安全性,仍将是未来新农药开发的热点方向。

来源:《农药》2022年第10期

作者:李登奎1,2,郑乾成3,李志愿4,谢勇5,张立新6,赵利康1,杨莹1,刘佳1,那日松1(1.河南农业大学植物保护学院;2.河南省鄢陵县植保植检站;3.江苏仁明生物科技有限公司;4.黄河科技学院工学部;5.海利尔药业集团股份有限公司;6.沈阳化工大学)



相关推荐