瑞雪苹果花在黄土高原地区抗春季霜冻的研究

作者:落叶果树 2023/12/7 10:59:11
瑞雪苹果花抗冻性研究瑞雪是西北农林科技大学以秦富1号、粉红女士做亲本杂交选育的优质晚熟黄绿色苹果,于2019年通过国家林业和草原局林木品种审定委员会审定,近年来受到种植者和消费者的广泛喜爱,目前正在黄土高原产区迅速推广。近年来,随着全球气候变化加剧,区域性春季霜冻灾害发生的概率显著提高。霜冻已经成为影响西北黄土高原苹果产业稳定发展的重要因素,研究黄土高原花期霜冻对瑞雪苹果可能产生的影响,对该品种的

图片

瑞雪苹果花抗冻性研究

瑞雪是西北农林科技大学以秦富1号、粉红女士做亲本杂交选育的优质晚熟黄绿色苹果,于2019年通过国家林业和草原局林木品种审定委员会审定,近年来受到种植者和消费者的广泛喜爱,目前正在黄土高原产区迅速推广。

近年来,随着全球气候变化加剧,区域性春季霜冻灾害发生的概率显著提高。霜冻已经成为影响西北黄土高原苹果产业稳定发展的重要因素,研究黄土高原花期霜冻对瑞雪苹果可能产生的影响,对该品种的规范引种、合理布局以及科学栽培具有重要意义。

图片
图片

 试验材料与方法

气温监测与分析

试验于2018年4月至2020年4月在西北农林科技大学白水苹果试验示范站(东经109°32′49″,北纬35°12′27″)及西北农林科技大学甘肃庆城苹果试验示范站(东经107°54′56″, 北纬36°0′13″)进行。两地海拔分别为829 m、1 285 m。温湿度记录仪(杭州路格,L92-1)的探头固定在行间离地面2 m高处,数据记录间隔为10 min。

对监测的春季霜冻天气过程中的气温进行分析,从降温前当日最高温度开始,到当次霜冻期间气温恢复到最高为止,将霜冻天气过程分为降温、低温维持以及回温阶段,对降温、回温阶段进行回归分析,拟合出降温、回温方程,记录降温期间的最低温度及持续时间等参数,最终构建出可用于室内模拟霜冻的控制条件。

图片

低温处理

试验材料为5年生瑞雪苹果,基砧为新疆野苹果,中间砧为M26。2021年春季采集瑞雪苹果花序(带1 cm左右枝,剪口蜡封,避免失水)在高低温湿热测试箱中进行模拟霜冻处理,检验模拟霜冻条件对瑞雪苹果中心花和边花的伤害能力以及不同花朵的抗冻性。用于试验的花在开放之前提前筛选并标记,要求花朵在进行处理前开放时间为10~12 h。每种花在进行处理时每次重复至少选用15朵,重复3次。霜冻处理结束后,统计花柱受冻褐变的情况,认为发生花柱褐变的花为受冻花,冻害程度按以下公式计算:

R=n/N×100

R为中心花或边花受冻花柱的比例(%);

n为受冻花柱的总数目,N为处理花柱总数目。

数据处理

采用Excel 2019数据预处理,采用Origin 9.1进行作图及回归曲线拟合。

图片
图片

结果与分析

大田霜冻天气的温度变化规律

2018年春季,白水示范站发生1次霜冻(4月6~7日)、庆城示范站发生2次霜冻(4月5~6日、4月6~7日),2020年春季白水示范站发生1次霜冻(4月23~24日)。下图显示了霜冻过程中气温的变化情况。4次花期霜冻发生时的气温变化具有较为明显的规律性。其中,白水2018年4月6~7日霜冻(图a)与庆城2018年4月6~7日霜冻(图c)温度变化规律相似,而白水2020年4月23~24日霜冻(图b)与庆城2018年4月5~6日霜冻(图d)温度变化规律相似。为便于分析,本研究将白水2018年4月6~7日霜冻与庆城2018年4月6~7日霜冻温度变化定为Ⅰ型,将庆城2018年4月5~6日霜冻与白水2020年4月23~24日霜冻温度变化定为Ⅱ型。

对于Ⅰ型(图a,图c),24 h内气温的变化可以划分为降温和回温2个阶段。降温过程主要发生在夜间到清晨。回温过程发生在早晨到当天下午。

图片

田间霜冻发生过程中温度的变化

注:a白水2018年4月6~7日霜冻;b白水2020年4月23~24日霜冻;c庆城2018年4月6~7日霜冻;d庆城2018年4月5~6日霜冻。气温的监测从霜冻前的最高气温开始到霜冻后最高气温结束。a气温记录时间间隔为1 h,b、c、d时间记录间隔为10 min。下同。各图第一个记录点所代表的时刻:a 4月6日17∶00;b 4月23日16∶41;c 4月6日16∶50;d 4月5日16∶10. 

对于Ⅱ型(图b,图d),24 h内气温的变化可以划分为预降温、降温和回温3个阶段。Ⅱ型的预降温发生在傍晚到夜间,降温阶段主要发生在夜间到次日清晨,降温阶段起始温度平均值为5.47 ℃,最低温度平均值为-1.38 ℃。回温阶段发生在次日早晨到下午。

田间霜冻天气降温速度

对田间霜冻降温阶段气温的变化与时间进行回归分析发现,4次霜冻降温过程的降温速度都比较均匀,且比较接近,如下图。降温阶段气温随时间的变化可以用线性模型进行拟合。

根据拟合的线性方程斜率可以算出,Ⅰ型(图a,图c)的降温速度分别为1.13 ℃/h,1.25 ℃/h,平均值为1.19 ℃/h;Ⅱ型(图b,图d)的降温速度为2.18 ℃/h和0.91 ℃/h,平均值为1.55 ℃/h。Ⅰ型的降温速度略小于Ⅱ型的降温速度。 

图片

田间霜冻天气降温过程气温与时间的回归分析

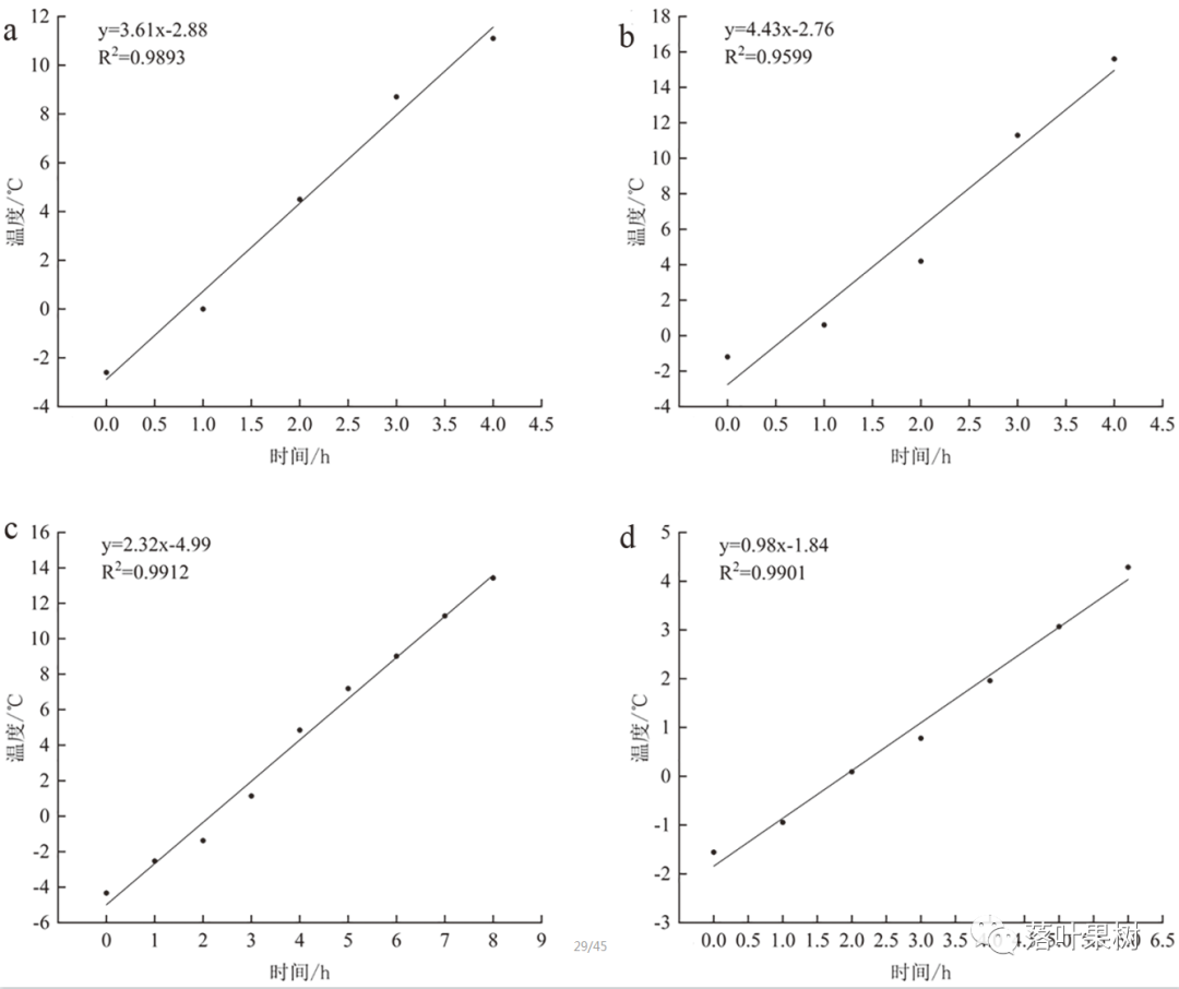
田间霜冻天气温度回升速度

田间霜后气温从最低温回升过程中,气温与时间存在线性回归关系,如下图。回归直线的斜率反映了气温的回升速度。

Ⅰ型(图a,图c)霜后气温回升速度分别为3.61 ℃/h和2.32 ℃/h,平均值为2.97 ℃/h;Ⅱ型(图b,图d)霜后气温回升速度分别为4.43 ℃/h和0.98 ℃/h,平均值为2.71 ℃/h。Ⅰ型的霜后回温速度要大于Ⅱ型的霜后回温速度。

图片

田间霜冻天气温度回升过程气温与时间的回归分析

苹果花期霜冻模拟条件的建立

综合前面的结果及相关研究,最终确定两种可用于苹果花期霜冻研究的模拟条件。

Ⅰ型模拟条件为:30 min内,气温从室温(20 ℃)降到9 ℃,之后以1.2 ℃/h的速度降到-4 ℃,在-4 ℃维持2 h,再以3 ℃/h的速度回升到16 ℃,霜冻处理结束。

Ⅱ型模拟程序为:30 min内,气温从室温(20 ℃)降到5.5 ℃,之后以1.6 ℃/h的速度降到-1.4 ℃,在-1.4 ℃维持2 h,再以2.7 ℃/h的速度回升到16 ℃,霜冻处理结束。

瑞雪苹果花抗冻性分析

采用建立的两种霜冻模拟条件,对瑞雪苹果完全开放的中心花和边花进行霜冻处理,霜冻处理后检查中心花和边花花柱的受冻情况,如下图所示。结果表明,在Ⅰ型模拟条件(最低温-4 ℃,持续2 h)下,瑞雪苹果中心花和边花的花柱均遭受严重的冻害(图a, c),中心花的花柱受冻比例高达66.67%,边花花柱的受冻比例率接近50%,中心花花柱的抗冻能力显著低于边花花柱的抗冻能力。在Ⅱ型模拟条件下(最低温-1.4 ℃,持续2 h),瑞雪苹果中心花和边花的花柱均未出现冻害褐变现象(图b, d)。

图片

瑞雪苹果花霜冻处理后表现

a、b中心花;c、d边花;a、c -4 ℃处理;b、d -1.4 ℃处理 

图片

小结与讨论

一般认为霜冻根据降温特点可以分为平流霜冻、辐射霜冻及混合霜冻,平流霜冻由冷空气入侵引起气温降低,降温程度较大(-3~-5 ℃),持续时间长;辐射霜冻由夜间辐射散热导致气温降低,降温程度较小(-1~-2 ℃),持续时间较短;混合型霜冻则由冷空气入侵和辐射散热共同导致降温。黄土高原中低海拔苹果产区(如白水),一年中春季花期霜冻类型较为单一,高海拔产区(如庆城),春季花期霜冻类型很可能不止一种,且平流型霜冻出现的几率较大,极易造成严重的花期冻害,使高海拔地区预防苹果花期冻害较为困难。

图片

黄土高原地区降温阶段多在后半夜到清晨之间,而平原地区霜冻降温过程多在前半夜至次日清晨,且其降温时间长于黄土高原地区,这可能与黄土高原地区海拔高湿度低,水汽对降温的缓冲作用较弱有关。白水站霜冻降温阶段的起止时间与庆城站类似,表现出高原地区霜冻降温阶段的共性。在降温速度方面,黄土高原地区的4次霜冻降温过程与平原地区类似,均为线性降低,降温速度的平均值为1.40 ℃/h,白水两次霜冻的降温速度的平均值为1.66 ℃/h,庆城两次霜冻的降温速度的平均值为1.08 ℃/h,均高于平原地区霜冻的降温速度0.75 ℃/h,白水霜冻降温速度略快于庆城。在降温阶段的温度最低值方面,黄土高原地区四次霜冻最低温度平均值为-2.57 ℃,白水站霜冻最低温平均值为-2.2 ℃,庆城站霜冻最低温平均值为-2.95 ℃,均低于平原地区的霜冻低温平均值(-1.93 ℃),表明高原地区霜冻最低温较平原地区严重,海拔越高霜冻胁迫越严重。

图片
图片

黄土高原地区的4次霜冻回温过程与平原地区类似,4次霜后气温回升速度的平均值为2.84 ℃/h,低于平原地区霜后回温速度4.73 ℃/h,白水站两次霜后回温速度的平均值为4.02 ℃/h,庆城站两次霜后回温速度的平均值为1.65 ℃/h,海拔越高霜后回温速度越慢。一些研究探索了霜冻过程中光照、光强等环境因子的变化及其对植物霜后表现的影响。然而,由于春季霜冻对苹果的危害主要体现在花器官方面,而遭受霜冻低温伤害的组织无论是否经过霜后光照处理均会发生褐化,最终干枯。因此,在本研究中并未对霜后的光照条件进行监测与模拟,这与其他物种上的研究存在一定差异。

根据自然霜冻天气模拟的低温处理条件可以有效检测出瑞雪苹果花的抗冻性。从研究结果可以看出,在Ⅱ型模拟条件下(最低温-1.4 ℃,持续2 h),不论中心花还是边花,花柱均未出现受冻褐变的迹象,这表明,瑞雪苹果的花具有一定程度的抗霜冻能力,温度不低于-1.4 ℃的短期低温霜冻仍是较为安全的。然而在Ⅰ型模拟条件(最低温-4 ℃,持续2 h)下,即便是短时间的低温处理,亦可造成至少近50%的花柱冻伤,未表现出褐变的花柱或在后期生长过程中因遭遇过低温的影响下授粉不良,加上生理落花、落果的影响,当年苹果的产量、商品率严重下降。因此,当花期气温低于-4 ℃时,瑞雪苹果需要采取一定的防冻措施。

从研究结果可以看出,瑞雪苹果中心花和边花的抗冻能力存在较大差异。霜冻气温在-4 ℃时,边花花柱的冻害比例近50%,而中心花花柱的冻害比例则远高于50%。因此可以推测,边花花柱的半致死温度大概为-4 ℃,而中心花花柱的半致死温度为-1.4~-4 ℃,即边花的抗冻能力要好于中心花,但还需要进一步的试验验证。

图片

 本文作者:蔡敏1,樊娟1,闫雷玉1,黄丽鹏2,赵政阳1,孙鲁龙1*(1.西北农林科技大学园艺学院;2.承德市中药材绿色生态种植技术服务中心),摘自《落叶果树》2023年第5期。欢迎个人转发分享,其他任何媒体、网站如需转载,须在正文前注明来源《落叶果树》。 


相关推荐