唑啉草酯简析

作者:磊子侃农药 徐磊 2022/5/7 9:47:09
唑啉草酯,英文名Pinoxaden,属于新苯基吡唑啉类除草剂,为乙酰辅酶A羧化酶 (ACC) 抑制剂。其作用机理主要是造成脂肪酸合成受阻, 进而导致细胞生长分裂受阻,杂草植株死亡, 具有内吸传导性。该产品主要用于谷物田,苗后除草剂,用于防除禾本科杂草。有效成分的用量在30~60g/hm2。唑啉草酯由先正达公司历时10年研发, 在2005年首先在美国,英国,加拿大,澳大利亚登记。在上市后两

唑啉草酯,英文名Pinoxaden,属于新苯基吡唑啉类除草剂,为乙酰辅酶A羧化酶 (ACC) 抑制剂。其作用机理主要是造成脂肪酸合成受阻, 进而导致细胞生长分裂受阻,杂草植株死亡, 具有内吸传导性。该产品主要用于谷物田,苗后除草剂,用于防除禾本科杂草。有效成分的用量在30~60g/hm2

图片

唑啉草酯由先正达公司历时10年研发, 在2005年首先在美国,英国,加拿大,澳大利亚登记。在上市后两年销售额就已超过1.10亿美元,2008年成为当年先正达新上市产品中贡献最大的两个产品之一, 2009年全球的销售额为2.02亿美元。


2010年底,瑞士先正达在国内拿到95%唑啉草酯原药和 50 克 / 升唑啉草酯·炔草酯乳油的临时登记,登记于小麦田禾本科杂草。在2011年其全球销售额就高达3亿美元。2014年销售额达4.25亿美元。2015年,唑啉草酯在全球除草剂中排名第九,在先正达前十大畅销品种中位居第五,是这些品种中唯一的专利品种。 而其中国的专利也于2018年3月到期。


01
作用机理

唑啉草酯抑制乙酰辅酶A羧化酶(ACCase)的活性,阻碍脂肪酸的生物合成,干扰细胞膜形成,导致杂草生长停止,最终死亡。


 唑啉草酯为选择性、内吸传导型禾本科杂草除草剂,高效,广谱,通过茎叶快速吸收。用药后1~3周,出现植物毒性症状,分生组织很快停止生长,并迅速坏死。唑啉草酯非常适用于春季谷物;为了提高产品的安全性,需加入安全剂解草酯。唑啉草酯很少被植物根部吸收,因此,其土壤活性很小。


02
靶标作物

主要用于大麦田防除一年生禾本科杂草。对野燕麦、黑麦草、狗尾草、硬草、茼草、看麦娘、日本看麦娘、棒头草等禾本科杂草有良好防效,尤其对恶性禾本科杂草野燕麦、黑麦草、硬草、茼草的防效接近100%。


用法:唑啉草酯施药适期宽,从麦苗2叶1心期至孕穗期均可施用.综合施药成本和除草效果等方面考虑。在禾本科杂草3~5叶期施用最适宜.药后尽量避免出现大幅度降温寒潮天气。


03
潜在风险

唑啉草酯会对大、小麦麦苗产生药害,用药量越高药害越严重。药害症状:一是麦苗叶片上产生褪绿黄斑,大麦上还产生白斑或紫色斑块,一般发生在麦苗的第二张叶片上,即喷药时未展开的心叶与喷药后新生长的叶片,严重的大麦麦苗连续 3 张叶片上有褪绿斑块;二是麦苗生长停滞、黄化,严重的麦苗新生叶片有轻度纵卷现象;三是加重大麦冻害。药害症状一般于施药后 20 ~ 30 d 逐渐消失。最终对产量没有明显影响。


抗药性也是无法回避的问题,害虫或杂草抗性的产生往往是基于“基因突变”及“适应性表达”等。市面上已有的ACCase 抑制剂抗性的例子已经屡见不鲜。虽然唑啉草酯与环己烯酮类除草剂,芳氧苯氧丙酸酯类除草剂同属于ACCase抑制剂,但唑啉草酯的化学结构是全新的,作用位点与传统的ACCase 抑制剂并不相同,故与传统除草剂并无交互抗性。 作为唯二(唑啉草酯,精噁唑禾草灵)的登记在大麦苗后禾本科杂草防除的除草剂,在目前的中国市场唑啉草酯具有广阔的市场。


04
合成方法

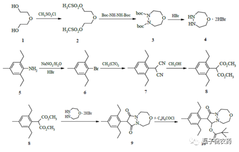
根据文献报道,唑啉草酯主要通过2个片段合成得到,反应路线为。以2,6-二乙基-4-甲基苯胺 (5) 为原料,经重氮化,得到2,6-二乙基-4-甲基溴苯 (6),中间体(6) 与丙二腈偶联反应,得到取代的苯丙二腈(7),中间体(7) 再在甲醇中醇解,得到关键中间体取代丙二酸酯 (8),中间体(8) 最后与中间体(4)经胺解和酯化2步反应,得到唑啉草酯(10)。

图片

05
登记现状

唑啉草酯专利已到期,我国目前的唑啉草酯原药登记情况如下图;

图片

国内目前有单剂登记19个,主要剂型为 唑啉草酯10% EC和唑啉草酯 5% EC以及唑啉草酯 10% OD。


国内目前有11个唑啉草酯相关复配登记,主要是与炔草酯,双氟磺草胺等复配:

图片

06
专利问题

 中国区专利情况

图片

自唑啉草酯 2005 年在美国首次登记上市以来,经过短短的 10 年时间,市场已经遍及欧洲、南美、北美、亚太和南非等 50 多个国家和地区,其中最主要的市场为欧洲和北美的谷物类作物除草剂市场。而且近年来,麦田杂草优势种群变化较大,尤其是禾本科杂草呈上升趋势,且抗性杂草发展迅速,为杂草控制增加了难度,这一现状为以唑啉草酯为首的谷物田禾本科杂草除草剂带来了发展机遇。


在中国,先正达经过近几年的推广和销售,市场逐步成熟,随着国内市场陆续登记唑啉草酯原药, 开发出符合国情的剂型,可以预见唑啉草酯将成为以后除草剂市场的一个大品。


相关推荐