玉米田除草剂环磺酮专利布局分析

作者:磊子侃农药 2022/2/9 10:47:31
环磺酮,是拜耳于2007年研发成功的三酮类除草剂,试验代号AE 0172747。是在磺草酮基础上加入三氟乙氧基合成的新化合物,属于4-羟苯基丙酮酸双氧化酶(简称HPPD)抑制剂,环磺酮是最年轻的HPPD抑制剂除草剂。环磺酮2019年10月刚过中国专利期(2019年10日)。作为玉米田除草剂的接棒选手,环磺酮在莠去津逐渐退出市场,烟嘧磺隆,硝磺草酮作为中流砥柱的玉米除草剂市场产品的更新换代有着积极的

环磺酮,是拜耳于2007年研发成功的三酮类除草剂,试验代号AE 0172747。是在磺草酮基础上加入三氟乙氧基合成的新化合物,属于4-羟苯基丙酮酸双氧化酶(简称HPPD)抑制剂,环磺酮是最年轻的HPPD抑制剂除草剂。环磺酮2019年10月刚过中国专利期(2019年10日)。


作为玉米田除草剂的接棒选手,环磺酮在莠去津逐渐退出市场,烟嘧磺隆,硝磺草酮作为中流砥柱的玉米除草剂市场产品的更新换代有着积极的意义。

图片
与烟嘧磺隆对比

环磺酮对阔叶杂草的防治范围更广,且对抗性杂草马唐、牛筋草等有很好的防治效果。此外,环磺酮有较强的抗雨水冲刷能力,且可以在作物整个生长期均保持良好的除草活性而不会对下一茬作物造成危害。与烟嘧磺隆相比其对农作物的安全性有所提高,但仍然具有药害现象,喷施后会造成玉米叶片或心叶褪绿发白,影响玉米产量。故需要配合安全剂使用。

图片
图片
与硝磺草酮对比

环磺酮和硝磺草酮同属于HPPD抑制剂类除草剂,都应用于玉米田。但环磺酮安全性更好,活性也更高。

图片


中文通用名:环磺酮

英文通用名:tembotrione

CAS登录号:335104-84-2

化学名称2-{2-氯-4-甲磺酰基-3-[(2,2,2-三氟乙氧基)甲基]苯甲酰基}环己烷-1,3-二酮。

图片

图片
作用机理
图片

环磺酮是对羟苯基丙酮酸双氧化酶抑制剂即HPPD抑制剂,通过抑制对羟基苯基丙酮酸双氧化酶的合成,影响羟基丙酮酸转化为尿黑酸,导致酪氨酸的积累,使质体醌和生育酚的生物合成受阻,进而影响到类胡萝卜素的生物合成,杂草出现褪绿、黄化,2周内死亡。为了增加安全性环磺酮中一般添加安全剂双苯噁唑酸。


图片
主要作物
图片

环磺酮除草谱广、除草适期长,主要靶标玉米田芽后中晚期各种阔叶杂草与禾本科杂草,对蓟、田旋花、婆婆纳、辣子草、鼬瓣花和猪殃殃等防效优异,且对后茬作物无药害。


环磺酮使用为苗后茎叶处理,其特点是能杀灭对草甘膦、麦草畏及ALS抑制剂类除草剂产生抗性的杂草。环磺酮单剂的主要剂型为OD,环磺酮的主要复配产品有:双苯噁唑酸(商品名Laudis、Soberan)、双苯噁唑酸+特丁津(商品名Laudis Plus)、噻酮磺隆(商品Capreno)等。


环磺酮一般与安全剂双苯恶唑酸复配使用,可保护玉米免受紫外线伤害,具有广谱、作用快速的特性,且与环境具有高度相容性。


图片
合成工艺
图片

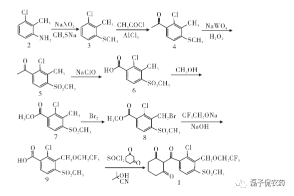
环磺酮的合成目前国内还没有详细的报道。目前文献上显示的是以3-氯-2-甲基苯胺为起始原料,在亚硝酸钠作用下与甲硫醇钠反应得到2-氯-6-甲巯基甲苯,而后与乙酰氯进行酰化和过氧化氢氧化得到2-氯-3-甲基-4-甲磺酰基苯乙酮。再经次氯酸钠氧化和甲醇酯化得到2-氯-3-甲基-4-甲磺酰基苯甲酸甲酯,经NBS溴化得到2-氯-3-溴甲基-4-甲磺酰基苯甲酸甲酯,而后经三氟乙醇醚化和水解得到最终产物2-氯-3-(2,2,2-三氟乙氧基)甲基-4-甲磺酰基苯甲酸。最后,在转位剂丙酮氰醇的作用下,与1,3-环己二酮反应得到目的产物环磺酮。

图片

图片
出口情况
图片

环磺酮2019年10月刚过中国专利期(2019年10日),国内并未有出口。2016年,拜耳的环磺酮在玉米上的销售额为1.71亿美元,占其全球市场的81.3%;其在向日葵和非作物领域也有少量应用。拜耳环磺酮2018年的全球销售额为2.31亿美金,是拜耳的排名第三的除草剂品种。


环磺酮的主要市场依次为:巴西(0.96亿美元;占45.6%)、美国(0.22亿美元;占10.3%)、匈牙利、德国、法国、罗马尼亚、墨西哥、克罗地亚、荷兰、保加利亚、意大利、斯洛伐克、塞尔维亚、奥地利、南非、比利时、厄瓜多尔、智利、西班牙、捷克、加拿大、肯尼亚等。


图片
国内专利情况
图片

国内目前已授权的的环磺酮相关专利共13个(国内可查询到的环磺酮相关专利 69个,其中包括无效的和未授权的)。

图片

仅有安徽久易和巴斯夫欧洲具有其不同晶形的专利, 大多数专利申请都围绕着环磺酮的复配进行。如山东康乔的复配专利申请是围绕环磺酮和莠去津或氰草津的复配。


国内目前申请或正在申请专利的复配产品,包括与苯嘧磺草胺,二氯吡啶酸等几乎所有可以用于玉米田的除草剂种类。

图片

另外值得关注的是其应用专利不仅涉及玉米田, 更扩展至水稻田,小麦田和草坪等。


图片
全球专利情况
图片

环磺酮全球从1999年起开始布局专利,可查询到已申请的专利318件,包括已经公开,未授权和已授权的。其中2008-2009年是其专利布局的高峰期, 2018年以后也有大量的专利申请,但大部分尚未公开。

图片

由于其化合物刚过专利期, 其合成专利和新晶型专利仍然是最核心的布局点。 与不同除草剂的复配,不同的作用场景(如巴斯夫的专利EP2018186931),是应用端专利布局的重点。


相关推荐