浅析嘧菌酯的后专利期应用布局

作者:磊子侃农药 徐磊 2022/9/11 9:27:31
嘧菌酯(AZXYSTROBIN)化学名为 E) -2-[2-[6-( 2-氰基苯氧基) 嘧啶-4-氧基]苯基]- 3-甲氧基丙烯酸甲酯,是先正达公司(原捷利康公司)于1981年开发的第1个甲氧基丙烯酸酯类杀菌剂。其专利期2011年届满。嘧菌酯具有高效、广谱的特点,几乎对所有真菌纲(卵菌纲、藻菌纲、子囊菌纲和半知菌类)病害如白粉病、锈病、颖枯病、网斑病、霜霉病、稻瘟病等有良好的活性。&nb

嘧菌酯(AZXYSTROBIN)化学名为 E) -2-[2-[6-( 2-氰基苯氧基) 嘧啶-4-氧基]苯基]- 3-甲氧基丙烯酸甲酯,是先正达公司(原捷利康公司)于1981年开发的第1个甲氧基丙烯酸酯类杀菌剂。其专利期2011年届满。


嘧菌酯具有高效、广谱的特点,几乎对所有真菌纲(卵菌纲、藻菌纲、子囊菌纲和半知菌类)病害如白粉病、锈病、颖枯病、网斑病、霜霉病、稻瘟病等有良好的活性。 自1996年上市至今,嘧菌酯长期位居杀菌剂销售额排名榜第一的位置。


结构式:

图片

  嘧菌酯的作用机理是抑制菌体细胞内线粒体的呼吸作用,破坏细胞中能量的合成,从而对致病菌体孢子的萌发、菌丝的生长和孢子的形成等生长过程产生抑制作用。


  嘧菌酯的杀菌谱很广,对子囊菌、担子菌、半知菌和卵菌纲中的大部分病原菌有效。嘧菌酯在我国25种农作物上取得登记,用于防治33种病害。主要有番茄早疫病、晚疫病和叶霉病,黄瓜霜霉病、白粉病、黑星病和蔓枯病,辣椒炭疽病和疫病,马铃薯晚疫病、早疫病和黑痣病,葡萄霜霉病、白腐病和黑痘病,柑橘炭疽病和疮痂病,西瓜炭疽病,丝瓜霜霉病、冬瓜霜霉病和炭疽病,荔枝霜疫霉病,香蕉叶斑病,芒果炭疽病,大豆锈病,水稻稻瘟病和纹枯病等。嘧菌酯最重要的特点就是作物有很高的安全性。


  嘧菌酯具有保护、治疗和铲除三重功效,但治疗效果属于中等。该药在一定程度上还可诱导寄主植物产生免疫特性,防止病菌侵染。以番茄晚疫病、叶霉病和黄瓜白粉病、黑星病、蔓枯病的防治为例:发病初期开始施药,每次每亩用嘧菌酯250 g/L悬浮剂制剂量60~90 g(有效成分15~22.5 g)对水喷雾,每隔7~10天施用一次,安全间隔期5天,每季多使用3次。

抗药性风险

嘧菌酯为高效杀菌剂, 广泛作用于多种作物上四大菌纲病害的防治。然而, 由于它作用位点单一, 因此杀菌剂抗性委员会(FRAC)将其抗性发展归类为高风险,这也成为该杀菌剂发展的最大障碍。自1996年甲氧基丙烯酸酯类药剂开发用于谷物市场后两年, 便在德国北部的小麦白粉病上产生抗性,并在北欧地区迅速蔓延。近几年,嘧菌酯在我国的抗性发展也十分迅速。


  在一定的条件下,马铃薯晚疫病菌、柑橘绿霉病菌、辣椒疫霉病菌、黄瓜霜霉病菌、番茄叶霉病菌、 果蔬灰霉病菌对嘧菌酯已产生不同程度的抗性。随着使用次数的增多, 使用年份的延长, 抗性的表现越来越明显, 并且有持续发展的趋势。 由于其作用为点单一, 嘧菌酯虽然表现出高效、 广谱、 安全等优点, 但独特的作用机理使其成为极易产生抗性的农药。

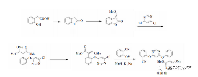
合成工艺

以邻羟基苯乙酸为起始原料,经内酯化、甲氧亚甲基化、2次缩合反应以及消除反应合成得到嘧菌酯原药。此方法为大多数企业的工业合成方法:

图片

目前的登记

嘧菌酯是当之无愧的大品,截止2020年12月,全国共有74个原药登记。216个单剂登记,主流还是 25% SC.


嘧菌酯目前已经过专利期10年,为了扩大其使用范围和降低抗药风险,其在国内外的使用一直是以复配为主。其在国内的制剂登记就高达356 个,涉及的复配产品有数十个活性成分,最常见的活性成分如下:

图片

国内剂型和应用方面专利布局其复配主要集中在与三唑类杀菌剂和种衣剂方面,与苯醚甲环唑的的复配是最常见的复配方式, 另外其与嘧菌酯+咯菌腈+精甲霜灵的拌种方面的使用也是常见方向之一。

图片

近10年国内嘧菌酯的应用专利布局
(以不同复配为例)

国内近十年来共申请了嘧菌酯相关的应用专利121件,其中嘧菌酯的新应用专利主要集中在种子处理,缓释技术以及烟草病害方面。


它相关复配的专利最多的和新烟碱类杀虫剂噻虫嗪。这点与国内的制剂登记不同。


相对于与传统的苯醚甲环唑,咯菌腈,精甲霜灵等相关复配,其与丙硫菌唑,噻呋酰胺和啶酰菌胺的复配也是应用专利布局方向之一。

总结

嘧菌酯现在仍然是国内杀菌剂的当家品种, 随着使用的深入及抗药性的产生。一方面其在种子处理方面的应用,尤其是与噻虫嗪等杀虫剂复合的综合种子处理体系将会是其未来发展的重要动力。另外其与其他新杀菌剂的复配也是未来的应用方向。


相关推荐