新发现!内生菌提取物加生物炭可协同修复镉污染

作者:蓬勃生物 2022/9/27 13:58:40
宛式拟青霉提取物(ZNC)在抗重金属胁迫方向又有新进展!近日,聊城大学地理与环境学院资源利用与生态安全研究团队在Biomass Conversion and Biorefinery (IF=4.05)发表题为“Combining paecilomyces variotii extracts and biochar for the remediation of alkaline Cd-co

宛式拟青霉提取物(ZNC在抗重金属胁迫方向又有新进展!

图片

近日,聊城大学地理与环境学院资源利用与生态安全研究团队在Biomass Conversion and Biorefinery IF=4.05)发表题为“Combining paecilomyces variotii extracts and biochar for the remediation of alkaline Cd-contaminated soil”文章,研究揭示了生物炭与宛式拟青霉提取物(ZNC)协同增强石灰性土壤中玉米镉耐受性的机制。

研究发现,宛式拟青霉提取物ZNC缓解了镉胁迫对植物光合作用的抑制,促进了玉米植株的生长。生物炭是土壤镉污染修复的理想材料,降低了石灰性土壤中镉的生物有效性。ZNC与生物炭的联合施用显著降低土壤中有效镉含量,增强了玉米对镉的耐受性。研究为镉污染土壤的可持续修复提出了新思路。

01
研究背景

土壤重金属污染,尤其是Cd污染是全球关注的环境问题。中国有超过7.0%的农田土壤受到镉的污染。镉在植物组织中的过量积累会抑制植物生长,且极易通过食物链在动物和人体中积累。

生物炭具有多孔结构、比表面积大、孔容大、含氧活性官能团等非凡的理化性质,是镉修复的理想材料,但生物炭对镉污染土壤的修复能力取决于其性质、用量、土壤性质、环境条件和土壤微生物群落等因素。微生物辅助修复是缓解土壤镉胁迫的另一种有前景的措施。根际内生菌的存在通过螯合系统、金属隔离能力和生理代谢来限制植物对镉的吸收。编码这些内生植物代谢途径的基因可以通过参与植物激素的合成,增强植物对镉胁迫的耐受性。但由于特定的微生物需要适宜的土壤条件才能发挥最佳的改良效果,导致微生物修复技术在实际应用过程中受到诸多限制。

生物炭与微生物结合被认为是未来土壤污染修复的重要方向。前期研究发现宛式拟青霉提取物提取物ZNC多种逆境胁迫条件下对植物生长具有良好的促进效果。ZNC与生物炭协同对镉污染土壤的修复效果及作用机制尚不明晰。本研究将填补上述研究空白,为镉污染土壤的修复提供新的视角。

02
研究结果

生物炭结构分析

试验所使用的生物炭是一种高灰分的碱性材料。生物炭释放的高灰分和无机阴离子,如 Mg2+Fe3+CO32- PO43-,与土壤中的修复呈正相关,通过促进吸附或沉淀反应最终限制了迁移和毒性。利用FTIR对生物炭进行结构分析,显示生物炭具有较高的官能团强度(图1a),通过Cd2+生物炭芳香结构的相互作用以及Cd2+与含氧官能团的络合来固定镉 XRD验证了生物炭通过形成分子间和分子内氢键络合固定镉(图1b根据IUPAC分类(图1c),将生物炭的吸附等温线分类为IV具有H2型滞后环。同时,生物炭的孔径在2~22 nm范围内(图1d)。这些结果也与生物炭电镜扫描图像(图2)一致,显示表面粗糙,多孔结构,有一些矿物颗粒。上述生物炭性状在促进的固定化方面具有巨大的潜力。

图片

Fig. 1 FTIR spectroscopy (a), XRD pattern (b), isotherm to N2 (c), and aperture analysis (d) of biochar

图片

Fig. 2 SEM images of biochar at 100 (a), 50 (b), and 20 (c) μm

ZNC的多种生物活性成分导致其对植物促生机制不同。对ZNC进行结构分析,FTIR结果表明,ZNC中存在碳水化合物结构和脂肪族学S1)。此外,ZNC含有许多氨基酸,特别是ThrGlyGluGlyMannS2).推测这些氨基酸是ZNC促进植物生长的主要活性物质。

图片

Fig.S1 FTIR spectra of endophytic fungus (Paecilomyces variotii) extract.

图片

Fig.S2 Main compound compositions of endophytic fungus (Paecilomyces variotii) extract. Dates offered by Pengbo Biology Technology Co. Ltd., (Tai’an, Shandong Province, China).

土壤中镉的生物有效性和形态的变化

根际土壤中的DTPA提取有效Cd活性较高,易于被植物吸收。0-10 cm的土壤中有效镉含量最高,其次是10-20 cm的土壤中,20 cm以下的土壤中有效镉含量基本相同(图3)。推测由于表层土壤中有机质和根系分泌物较多,促使形成稳定的有机质-镉络合物,从而限制了镉的向下迁移研究表明0-10 cm土壤中,施用2%5%生物炭,土壤中有效镉分别降低了4.92~14.59%12.28 ~ 21.28%;而在10-20 cm土壤中有效镉分别降低了2.3~4.7%8.9~ 12.4%高浓度下生物炭对有效镉的限制更加显著,表明生物炭是修复土壤污染的有效措施。生物炭对镉污染土壤修复能力受到土壤性状、环境条件、污染物类型和浓度以及生物炭特性的影响。

图片

Fig. 3 Changes in DTPA extracted available Cd in 0–70  cm soil  under diferent treatments.

使用内生微生物是修复镉污染土壤的另一种有效措施。然而在我们研究中与对照组相比,使用ZNC仅使0-10 cm土层的有效镉含量略微降低了0.68 ~ 8.57%10-20 cm土层的有效镉含量略微降低了3.32~14.67%(图3)。根际中高有效镉含量对植物有毒。前期研究结果发现,ZNC 通过提高抗逆性和抗逆性来促进植物生长,同时促进或降低生化活性(即SODCATMDA NR)并减轻对细胞膜的损伤。此外,ZNC可以通过促进根系活力使作物吸收更多的养分。因此,根际中可能存在更多与镉螯合的根系分泌物来限制植物对镉的吸收

图片

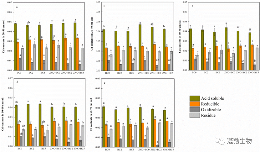
Fig. 4 Changes of Cd contents (a and c) and Cd fractions (b and d)  after maize harvested.

镉的含量影响其潜在毒性和土壤污染的危害程度。生物炭和ZNC的修复作用降低了镉的生物利用度,使用BCR顺序提取来测定镉的形态变化(图4)。HOAc可提取态镉易于被植物根系吸收,具有高度流动性且对环境变化敏感,而残留部分被认为是一种稳定的形态且难以提取。在0-10 cm土层中,HOAc可提取和可还原态镉为主要成分,而在较深的土层中没有明显差异(图4和图S3)。使用生物炭改良剂后,0-10 cm 土壤中的HOAc可提取、可还原、可氧化性和残留的镉分别改变了-8.09 ~-16.96%1.03~10.70%-13.99~14.64%8.79~45.94%。施用生物炭后土壤有效镉的降低比HOAc 可提取镉的降低更为明显,这表明部分水溶性镉已固定在CO32-或有机物质中。在我们的研究中,与对照相比,生物炭施用并未增加甚至略微降低根际土壤的PH值(图S4),推测由于碱性土壤的缓冲作用所致。

图片

Fig.S3 Changes of Cd contents in 30-70 cm soil layers after maize harvested. 

图片

Fig.S4 Changes of soil pH value in 0-10 (a) and10-20(b) soil layer after maize harvested. 

植物生长和生物量积累

叶肉细胞中过量镉积累会诱导气孔关闭,减少蒸腾作用和内在的CO2同化,同时,镉胁迫引起的叶绿体超微结构损伤、类囊体膜破坏以及光系统电子传递链的干扰也是限制植物净光合速率(Pn)的重要因素。在本研究中,不同处理对玉米净光合速率的影响随生长阶段而变化,生长阶段中CK处理效果最低(图5)。同一生物炭用量下,施用ZNC减轻了胁迫对净光合速率的抑制作用。然而,由于ZNC并不能为玉米的生长提供有效的营养物质,因此,促进光合作用的原因可能是刺激了根系中生长素的分泌。前期研究发现,ZNC诱导了与生长素生物合成相关的基因如YUC3YUC9的表达,从而促进了生长素在根尖的积累。

图片

Fig. 5 Changes of net photosynthetic rates (Pn) during maize growth.

与对照相比,生物炭提高了玉米的净光合速率特别是在拔节期和开花期(图5)。生物炭除具有降低土壤水分入渗、抑制土壤水分蒸发、增加土壤体积含水量、提高土壤持水能力等积极作用外,生物炭释放的养分还可以被根系吸收,从而促进玉米的生长。玉米植物中含量与这些特征之间的负相关关系(图 S5)也加强了我们的发现,即生物炭的应用可以最大限度地减少镉在植物组织中的积累,从而改善玉米的生理参数。

图片

Fig. S5. Spearman’s correlations and clustering representation between soil Cd fractions and maize growth.

植物含量积累

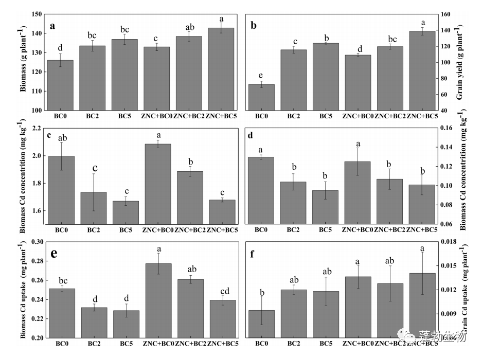
在本研究中,施用生物炭玉米的生物量(茎、叶穗)和籽粒中的含量分别显著降低了9.55~19.52%14.58~26.78%(图6)。这表明生物炭可有效防止玉米籽粒中过量的积累。使用生物炭改良剂不仅可以限制土壤中的镉生物利用度,还可以降低玉米中的含量。此外,根际生物炭还可以作为玉米根系吸收镉的天然屏障(图7)。生物炭还有助于形成特殊的土壤微生物群落,特别是与促进生长和抗镉有关细菌、放线菌和真菌类群,最终导致植物组织中含量的降低。

图片

Fig. 6 Plant growth and Cd uptake of maize at diferent treatments:  (a) biomass; (b) grain yield; (c) Cd concentration in biomass; (d)  Cd concentration in grain; (e) total Cd accumulation in biomass,  and (f) total Cd accumulation in grain.

施用ZNC后玉米籽粒中镉含量降低了2.715.79%。而生物量中含量未显著降低,表明ZNC降低了玉米中从生物量(茎、叶)到籽粒的转运。生物炭和ZNC的联合作用降低了镉胁迫下玉米籽粒中的浓度,减轻了对玉米生长的抑制作用,这不能简单地用土壤中生物利用度的降低来解释。除了生物炭在限制生物利用度和ZNC在提高植物耐受性方面的单独作用外,生物炭和ZNC之间的协同作用也可以通过两种机制来理解(图7)。也就是说,生物炭作为根际土壤的理想抑制剂,降低流动性和生物利用度,从而减轻的毒性,而ZNC作为促进剂,保护玉米正常的养分吸收、净光合作用活动和生物量积累。因此,ZNC与生物炭改性相结合是一种很有前镉污染土壤的修复措施。然而为了安全性和成本效益,仍需进行更多深入研究探索

图片

Fig. 7 Schematic illustration of  the mechanisms for remediation  of alkaline Cd-contaminated  soil by the paecilomyces variotii extracts and biochar

03
 结论

ZNC降低了镉胁迫植物光合作用的抑制,促进了玉米的生长。生物炭是解决碱性土壤中镉污染的有效材料,尤其是在较高剂量下效果显著 ZNC和生物炭的联合应用显著降低了0~10 cm土壤中的态镉含量,降低了可提取态镉含量,提高了根际稳定态镉的含量。 综上所述,生物炭和ZNC联合应用是可持续修复碱性污染土壤的一种新兴方法。研究为ZNC和生物炭进一步在田间的应用及提高谷类作物的耐受性和降低风险提供了理论依据。

论文链接

https://link.springer.com/epdf/10.1007/s13399-022-03308-0?sharing_token=TsyZS6tIPHQGOzEsj-9IZfe4RwlQNchNByi7wbcMAY5sO1VWBZN3-dPa5VW-i0IlvSfFKXATe3ptFfviEOAL5dXRFN8Z8Awv77uLnRjq_mLyDY5DSc5TgjoJJxMjpeBm0uPLKaZemsdUCnBQOtX7Wc9jBJzqQnHkGSv5cc_CE80%3D


相关推荐