简析:玉米田除草剂氨唑草酮

作者:磊子侃农药 2022/8/24 9:01:22
氨唑草酮 (BAY 314666,amicarbazone) 是拜耳公司植保部 1988 年发现的三唑啉酮类除草剂, CAS [129909–90–6],1999 年在英国布莱顿世界植保大会上推出。其名称又作:胺唑草酮;氨唑草酮的化学名称为:4-氨基-N-特丁基-4,5-二氢-3-异丙基-5-氧 -1-H-1,2,4-三唑-酰胺。常用剂型:70%水分散粒剂(WG)。结

氨唑草酮 (BAY 314666,amicarbazone) 是拜耳公司植保部 1988 年发现的三唑啉酮类除草剂, CAS [129909–90–6],1999 年在英国布莱顿世界植保大会上推出。其名称又作:胺唑草酮;氨唑草酮的化学名称为:4-氨基-N-特丁基-4,5-二氢-3-异丙基-5-氧 -1-H-1,2,4-三唑-酰胺。常用剂型:70%水分散粒剂(WG)。


结构式:

图片

氨唑草酮的理化性质:纯品是无色的结晶,原药是白色粉末,熔点为137.5°C,溶解度:微溶于水,难溶于有机溶剂。


毒性

雌大鼠急性经口 LD50 1 015 mg/kg,大鼠急性经皮 LD50 > 2 000 mg/kg,无致畸、致癌、致突变作用与再生毒性。鹌鹑的急性经口 LD50 > 2 000 mg/kg,蓝鳃鱼 LC50 (96 h) > 129 mg/L,蜜蜂经口 LD50 > 24.8 µg/蜂。


作用机理

氨唑草酮为光合作用抑制剂,敏感植物的典型症状为褪绿、停止生长、组织枯黄直至最终死亡,与其它光合作用抑制剂 (如三嗪类除草剂) 有交互抗性,主要通过根系和叶面吸收。


靶标

氨唑草酮可以有效防治玉米和甘蔗上的主要一年生阔叶杂草和甘蔗上许多一年生禾本科杂草。在玉米上,对苘麻、藜、野苋、宾州苍耳和甘薯属等具有优秀防效,施药量 500 g ai/hm2;还能有效防治甘蔗上的泽漆、甘薯属、车前臂形草和刺蒺藜草等,施药量 500 g~ 1200 g ai/hm2。其触杀性和持效性决定了它具有较宽的施药适期,可以方便地选择种植前或芽前土壤使用,用于甘蔗时,也可以芽后施用。用于少免耕地,其用药量大约为阿特拉津的 1/3~1/2。氨唑草酮可以与许多商品化除草剂混配使用,以进一步扩大防治谱,提高药效。


发展过程

氨唑草酮是一种三唑啉酮类除草剂,1998年由拜耳公司植保部研发出来,于1999年在英国布莱顿举行的植物保护英格兰世界大会上推出。2004年,ARYSTA公司转让拜耳公司技术,目前由ARYSTA公司进行推广运作。


ARYSTA公司在国外登记作物为玉米和甘蔗。2012年在美国新登记的包括草坪(高尔夫球场,草皮农场,住宅和商业草皮以及其他草坪区)和针叶树苗圃等。同年,在泰国ARYSTA公司推出名为DINAMIC的除草剂。


氨唑草酮专利到期年限:2009年10月30日(美国),中国无活性成分专利,剂型2015年到期。目前剂型专利已经到期近10年。

国内登记

国内目前有相关原药和制剂登记共计13个。


其中爱利思达生物化学品北美有限公司,江西众和生物科技有限公司,江苏省农用激素工程技术研究中心有限公司,江苏好收成韦恩农化股份有限公司有原药登记。

图片

国内主要登剂型是70%水分散颗粒剂;30% 有悬浮剂等。浙江中山和山东奥坤也持有其与烟嘧磺隆的复配。


合成工艺

关键中间体为:4-氨基-3-异丙基-5-氧-1-H-1,2,4-三唑 (三唑啉酮), 三唑啉酮合成常见以下三种路线:

图片

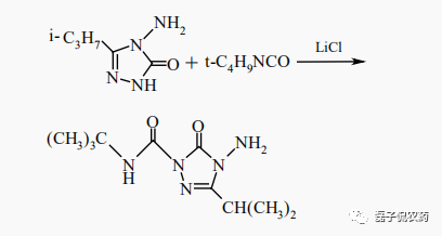
用甲基异丙基酮保护三唑啉酮上的氨基,再和特丁基异氰酸酯缩合后,加盐酸去除保护基得到胺唑草酮。收率 70%~75%。

图片

总结

氨唑草酮是用于取代莠去津的优异玉米田除草剂之一,其上市已经超过20年时间。由于莠去津仍然广泛使用,硝磺草酮和烟嘧磺隆仍然是市场主流。近年来苯唑草酮、氨唑草酮、异噁唑草酮、噻酮磺隆、氟噻草铵等玉米田除草剂不断上市。玉米田除草剂近乎饱和,限制了其市场推广


另外合成成本过高,原药价格居高不下也是限制其市场推广的重要因素之一。


相关推荐