两年后专利到期的除草成分——氟酮磺草胺

作者:辉胜农药登记代理 2024/8/14 14:08:50
氟酮磺草胺是拜耳公司开发的磺酰苯胺类除草剂,主要用于水稻田杂草防治。据悉其化合物专利将于两年后到期,感兴趣的企业可以多多关注。下面让我们一起了解这一有效成分!一、基本信息中文名称:氟酮磺草胺英文名称:triafamone化学名称:2-[(4,6-二甲氧基-1,3,5-三嗪-2-基)羰基]-1,1,6′-三氟-N-甲基甲磺酰苯胺CAS登录号:874195-61-6分子式:C14H13F3N4O5S相
氟酮磺草胺是拜耳公司开发的磺酰苯胺类除草剂,主要用于水稻田杂草防治。据悉其化合物专利将于两年后到期,感兴趣的企业可以多多关注。下面让我们一起了解这一有效成分!
一、基本信息
中文名称:氟酮磺草胺
英文名称:triafamone
化学名称:2-[(4,6-二甲氧基-1,3,5-三嗪-2-基)羰基]-1,1,6′-三氟-N-甲基甲磺酰苯胺
CAS登录号:874195-61-6
分子式:C14H13F3N4O5S
相对分子质量:406.34
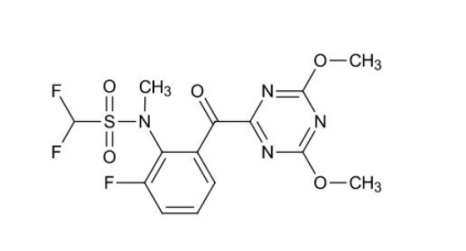
结构式:
图片

作用机理:氟酮磺草胺属于苯酰胺类除草剂,通过抑制支链氨基酸的生物合成来抑制乙酰乳酸合成酶而表现出除草能力。
二、登记情况
国外登记情况
氟酮磺草胺尚未在美国、加拿大、澳大利亚等国家和地区登记。日本登记产品中与氟酮磺草胺混配的主要成分有:吡草酮、吡唑特、乙氧磺隆、双唑草腈、四唑酰草胺、呋喃磺草酮、氯甲酰草胺、氯氟吡啶酯、双环磺草酮、环戊噁草酮等。
国内登记情况

登记证号

农药产品

PD20170007

93.6%氟酮磺草胺原药

PD20170006

19%氟酮磺草胺悬浮剂

PD20170001

9%氟酮磺草胺+ 18%呋喃磺草酮悬浮剂

三、专利情况
氟酮磺草胺PCT专利:WO2007031208、欧洲专利:EP1928242、美国专利:US2009305894、中国专利:CN101394743B等化合物专利将于2026年到期。企业如有意向近期便可着手开展登记试验等相关工作,抢占先机。
四、混配推荐
氟酮磺草胺与氟吡磺隆/吡嘧磺隆/氯吡嘧磺隆/噁唑酰草胺/双草醚/噁嗪草酮/环戊噁草酮混配,重量比为10:1~1:10,可防治水稻田一年生杂草,该组合有利于减少用药量,延缓抗性发展。
氟酮磺草胺与苯嘧磺草胺混配,优选配比1∶8~8∶1,可防治农作物杂草。
氟酮磺草胺与丙草胺混配,重量比为30:1~1:30,可用于防治农作物杂草,特别是用于水稻田杂草的防治。
氟酮磺草胺与环苯草酮混配,其配比为15‑30:4‑20,具有增效作用,可用于防治水稻田杂草,如兰马草、马唐、千金子、狗尾草、筒轴茅、丁香蓼、慈姑、醴肠、眼子菜、狼把草、一年生莎草、水莎草等禾本科、阔叶杂草和莎草等。其杀草谱广,增效作用显著,可减少用药次数,降低抗性发生。
氟酮磺草胺与禾草丹或禾草敌混配,质量比为1~40:10~90,具有增效作用,主要用于水稻直播田或移栽田一年生杂草,如稗草、双穗雀稗、扁秆藨草、牛毛草、异型莎草、千金子、马唐、蟋蟀草,狗尾草、碎米莎草、马齿草、看麦娘等一年生莎草等。其杀草谱广,使用方便。
氟酮磺草胺与丙嗪嘧磺隆混配,重量比为140:120,可用于阔叶杂草、禾本科杂草和莎草的防治。
氟酮磺草胺与三氯吡氧乙酸混配,其杀草谱互补,重量比1:5-40,具有明显的增效效果。
氟酮磺草胺可与苯噻酰草胺、氯氟吡啶酯、丙炔噁草酮、乙氧氟草醚、氟嘧肟草醚、二氯喹啉酸、莎稗磷等农药成分进行复配。
相关推荐