最新发布!先正达、扬农化工、海利尔、青岛清原、中山化工、成都新朝阳、六夫丁等新专利授权

作者:农资导报农药 内容团队 2025/8/18 10:44:53
最新农药技术大汇总1新用途2新剂型8月上旬,多个农药新专利获得授权,涉及新成分、新配方、剂型等的,笔者对部分新专利进行汇总,主要情况如下:新用途杀虫剂上海沪联生物药业(夏邑)股份有限公司:一种含有嗪虫唑酰胺和溴氰虫酰胺的农药杀虫剂及其应用本发明公开了一种含有嗪虫唑酰胺和溴氰虫酰胺的农药杀虫剂及其应用。由于特定地选择嗪虫唑酰胺、溴氰虫酰胺,并按照本发明提供的比例进行复配,使得二者能够产生增效作用,继








最新农药技术大汇总








1

新用途

图片

2

新剂型

图片

8月上旬,多个农药新专利获得授权,涉及新成分、新配方、剂型等的,笔者对部分新专利进行汇总,主要情况如下:

新用途


杀虫剂


上海沪联生物药业(夏邑)股份有限公司:

一种含有嗪虫唑酰胺和溴氰虫酰胺的农药杀虫剂及其应用

本发明公开了一种含有嗪虫唑酰胺和溴氰虫酰胺的农药杀虫剂及其应用。由于特定地选择嗪虫唑酰胺、溴氰虫酰胺,并按照本发明提供的比例进行复配,使得二者能够产生增效作用,继而使得形成的农药杀虫剂具有良好的杀虫效果,且有较大的防治谱,特别地对于草地贪夜蛾、豇豆蓟马和美洲斑潜蝇有良好的防治效果。

上海沪联生物药业(夏邑)股份有限公司:

一种含有嗪虫唑酰胺和D-柠檬烯的杀虫组合物及其应用

本发明公开了一种含有嗪虫唑酰胺和D‑柠檬烯的杀虫组合物及其应用。由于将D‑柠檬烯和嗪虫唑酰胺进行复配,使得二者能够产生增效作用,继而使得形成的杀虫组合物具有良好杀虫效果,且有较大的防治谱,特别地对于番茄烟粉虱等刺吸式口器害虫有良好的防治效果。此外,D‑柠檬烯为植物源化合物,两者组合不会产生抗性同时还可以延缓其他化学药剂抗性发展,并且所述杀虫组合物副作用极低,不会对农作物安全性和产量等造成影响,因而能够解决番茄烟粉虱等刺吸式口器害虫难以防治的问题,达到良好的杀虫效果。


海利尔药业集团股份有限公司:

一种含有生物源杀虫剂的农药组合物及其应用

本发明公开了一种含有生物源杀虫剂的农药组合物及其应用,所述的农药组合物活性成分包含式I化合物和一种生物源杀虫剂,所述的式(I)化合物结构如下图。所述的生物源杀虫剂为乙基多杀菌素或多杀霉素的任一种。本发明所述的农药组合物对于农业、园艺及林业多种害虫具有优异的防治效果,降低了农药的使用剂量,减缓了害虫抗性产生。

图片

(I)



杀螨剂


海利尔药业集团股份有限公司:

 一种农药组合物及其应用

本发明涉及一种农药组合物,有效成分包含活性成分A和活性成分B。所述活性成分A为式(Ⅰ)化合物,所述活性成分B选自乙螨唑或丁醚脲中的任一种。本发明的农药组合物或其制剂能够增强药效、扩大杀螨谱、降低害螨种群,降低使用成本、减少用药量、延长持效期和延缓害螨抗药性发展。

图片

(Ⅰ)


西南大学及重庆西农植物保护科技开发有限公司:

一种杀螨剂及其制备方法与应用

本发明公开了一种杀螨剂及其制备方法与应用,所述杀螨剂有效成分为螺螨酯和滨蒿内酯,通过滨蒿内酯和螺螨酯协同作用,可以有效增加螨虫防治效果,解决螨虫易对螺螨酯产生抗药性的问题,所述杀螨剂为粘性液体状,喷洒后会牢固附着在植物表面,解决了杀螨剂在植物体表附着性差,导致有效成分流失,杀螨效果降低的问题,同时杀螨剂会附着在螨虫体表,附着了杀螨剂的螨虫会将杀螨剂携带至螨虫群居地对其他的螨虫进行毒杀,进一步提高螨虫防治效果。


青岛凯源祥化工有限公司:

一种含sulfiflumin的杀螨组合物及其用途

本发明公开了一种含sulfiflumin的杀螨组合物及其用途,所述的杀螨组合物包含活性成分A和活性成分B,所述的活性成分A为sulfiflumin,所述的活性成分B为四螨嗪、氟螨嗪、噻螨酮、炔螨特中的任一种。本发明的杀螨组合物对于柑橘红蜘蛛虫防效显著,降低害螨对植物的危害,减缓害螨抗药性的发展。


青岛凯源祥化工有限公司:

 一种农药组合物及其应用

本发明公开了一种农药组合物及其应用,所述的农药组合物中活性成分包含活性成分A和活性成分B,所述的活性成分A为sulfiflumin,所述的活性成分B为三唑锡或苯丁锡中的任一种。本发明的农药组合物具有对螨类害虫增效作用显著、减缓抗药性发展、降低农药使用量等优点。



杀菌剂


海利尔药业集团股份有限公司:

一种苯基吡唑啉衍生物或其盐、组合物及其用途

本发明涉及一种取代的苯基吡唑啉衍生物或其作为农药可接受的盐、组合物及其用途,所述化合物具有式(I)结构。本发明的上述化合物以苯基吡唑啉衍生物的结构为基础引入了取代的吡唑基团,开发得到了一类可用作除草剂和/或杀菌剂的化合物,具有非常突出的生物活性和作物安全性。

图片

(I)


广西中烟工业有限责任公司及广西大学:

一种防治烟草赤星病的农药组合物

本发明属于一种防治烟草赤星病的农药组合物,其有效成分由中生菌素与硅噻菌胺、联苯吡菌胺或环丙唑醇复配而成。本发明的农药组合物的中生菌素与硅噻菌胺、联苯吡菌胺或环丙唑醇复配时,对抑制烟草赤星病菌孢子的萌发表现出增效作用,可以提高对烟草赤星病的防治效果。


青岛海利尔生物科技有限公司:

一种含Cyclobutrifluram的杀菌组合物及其应用

本发明公开了一种含Cyclobutrifluram的杀菌组合物及其应用,所述的杀菌组合物包含活性成分A和活性成分B,所述的活性成分A为Cyclobutrifluram,所述的活性成分B选自吡唑醚菌酯或嘧菌酯中的一种或多种。本发明的杀菌组合物在一定质量比例范围内对多种植物病原菌防治具有协同增效作用,能够延缓致病菌抗药性的产生,在生产上具有广泛的应用前景。


东莞市东阳光农药研发有限公司:

一种复配组合物及其在农业中的应用

本发明涉及一种杀菌组合物,其中包括活性成分A和活性成分B,活性成分A选自多抗霉素,活性成分B选自环氟菌唑和溴环唑中的任意一种或两种。经实验证明,本发明杀菌组合物表现出明显的协同增效作用,对植物病害,特别是马铃薯晚疫病、番茄晚疫病、黄瓜霜霉病具有优异的防治效果。


青岛海利尔生物科技有限公司:

一种杀菌组合物及其应用

本发明公开了一种杀菌组合物及其应用,所述的杀菌组合物包含活性成分A和活性成分B,所述的活性成分A为Cyclobutrifluram,所述的活性成分B为种菌唑、叶菌唑或灭菌唑中的任一种。本发明的杀菌组合物对由镰刀菌属真菌引起的病害具有很好的防治效果,增效作用显著,减缓农药的使用次数和使用剂量,降低生产成本,降低环境污染。


成都新朝阳作物科学股份有限公司:

苯胺基乙腈在制备植物病原菌抑制剂中的应用

本发明涉及苯胺基乙腈在制备植物病原菌抑制剂中的应用。本发明所述的苯胺基乙腈可以有效抑制丝核菌属、灰葡萄孢属、核盘菌属、镰刀菌属、假单胞菌属等多种植物病原菌属的生长,可用于生物农药的开发,应用前景广阔。



除草剂


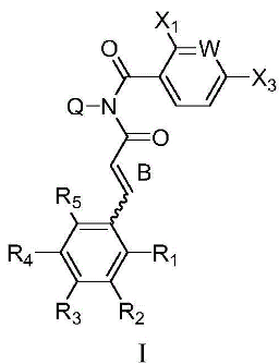
先正达农作物保护股份公司:

除草噌啉衍生物

本发明涉及包含具有式(I)的化合物的除草组合物以及具有式(I)的化合物用于控制杂草、特别是在有用植物的作物中的杂草的用途。

图片

(I)

贵州大学及青岛清原作物科学集团有限公司:

 一种含环吡氟草酮的三元除草组合物及其应用

本发明涉及一种含环吡氟草酮的三元除草组合物及其应用。所述三元除草组合物包括除草有效量的活性成分环吡氟草酮、活性成分A(下图)和吡氟酰草胺。该组合物能有效防除多花黑麦草、看麦娘、荠菜、野油菜、猪殃殃、牛繁缕等杂草问题,具有扩大杀草谱、减少施用量、能够产生增效作用并解决抗性杂草等特点。

图片

活性成分A


江苏扬农化工股份有限公司等:

一种苯甲酰吡唑类化合物及其应用

本发明公开一种苯甲酰吡唑类化合物及其应用,所述化合物如通式(I)所示:通式I中各取代基定义见说明书。本发明通式I化合物具有优异的除草活性,可用于防治农业杂草。

图片


江苏扬农化工股份有限公司等:

一种肉桂酰胺类化合物及其应用

本发明公开一种肉桂酰胺类化合物及其农业上可接受的盐以作为除草剂的应用,所述化合物如通式(I)所示。本发明通式I化合物具有优良的除草活性,可用于防治农业杂草。

图片


江苏扬农化工股份有限公司等:

一种环烯酰胺类化合物及其应用

本发明公开一种环烯酰胺类化合物以作为除草剂的应用,所述化合物如通式(I)所示。本发明通式I化合物具有优良的除草活性,可用于防治农业杂草。

图片


浙江中山化工集团股份有限公司

一种包含特丁津和环嗪酮的森林除草剂

本发明涉及一种包含特丁津和环嗪酮的森林除草剂,其原料组成包括特丁津粉末,以及环嗪酮‑明胶粉末,使得:1、该森林除草剂在先喷洒草本和藤本杂草时,相对小幅地加热熔化明胶、释放环嗪酮,保证草本和藤本杂草上获得比例合适、粘度相对较小的森林除草剂有效成分,让杂草根部充分吸收除草剂;2、该森林除草剂在后喷洒非目标树木时,相对大幅地加热熔化明胶、释放环嗪酮,保证目标树木上获得比例合适、粘度相对较大的森林除草剂有效成分,让树木茎叶部充分吸收除草剂。


植调剂


沈阳同祥生物农药有限公司:

一种含赤霉酸组合物及其应用:

本发明涉及一种含赤霉酸组合物及其应用,有效成分包含苯酚类化合物和赤霉酸,苯酚类化合物和赤霉酸两者的质量比为1:30‑30:1;其中,苯酚类化合物为4‑(2‑(甲基‑2‑(4‑甲基戊‑3‑烯‑1‑基)环戊‑3‑烯‑1‑基)苯酚,该组合物之间能够相互协作,共同调控作物的生长平衡,增产效果明显。施用该组合物后,农作物生长速度明显加快,叶片更加茂盛,整体产量得到了显著提升。

剂型创新


六夫丁作物保护有限公司:

高效氯氟氰菊酯悬浮剂及其在诱杀地下害虫中的应用

本申请提供了一种高效氯氟氰菊酯悬浮剂及其在防治地下害虫中的应用。本申请的悬浮剂中包含高效氯氟氰菊酯、乳化剂、引诱剂、增稠剂、增溶剂、消泡剂等成分,通过加入适合的引诱剂引诱地下害虫爬出地层触杀死亡,有效提高了对蛴螬等地下害虫的防治效果。


东莞市瑞德丰生物科技有限公司:

农药稀释剂、制备方法及应用

本发明提供一种农药稀释剂,按质量百分比,包括以下组分:缓释载体50%~90%,表面活性剂1%~10%和水0%~40%;所述缓释载体为羧甲基壳聚糖与丙烯酸‑丙烯酸钠共聚物以质量比1‑3:1的混合水溶胶,本发明的农药稀释剂中的羧甲基壳聚糖和丙烯酸‑丙烯酸钠共聚物能显著提高乳油、悬浮剂类型农药的溶解度,从而形成稳定的稀释液,提高喷药均匀性,通过羧甲基壳聚糖降低农药高温环境下的挥发性,同时丙烯酸‑丙烯酸钠共聚物在湿度较高的环境中,提高农药的附着效果,并且通过提前将羧甲基壳聚糖与丙烯酸‑丙烯酸钠共聚物相互结合,提高农药缓释稳定性。


陕西自然界生态科技有限公司:

一种渗透组合物、杀虫组合物及其应用

本申请属于植物保护技术领域,涉及一种渗透组合物及其应用,包括渗透剂、表面活性剂、助剂和溶剂,渗透剂包括含有至少12个碳原子的线性脂族单缩水甘油醚、羟乙基铵烷基苯磺酸钠、烷基苯氧基聚乙烯氧基乙醇中的至少一种纳米高分子材料。本申请还涉及一种杀虫组合物。本申请可以渗透木本植物的树干,有助于将药物传输至病害部位,有效防治害虫或真菌感染等病害。


湖南新长山农业发展股份有限公司:

微生物酶增效氟啶虫酰胺•噻虫胺悬浮剂及其制备方法

本发明公开了一种微生物酶增效氟啶虫酰胺·噻虫胺悬浮剂,该悬浮剂包括以下重量百分比的组分:噻虫胺10~20%、氟啶虫酰胺4~6%、复合酶微胶囊1~5%、乳化剂1~5%、分散剂6~15%、增稠剂0.1~0.6%、助悬剂0.1~1%、防冻剂3~6%、消泡剂0.1~0.5%,余量为水。本发明还提供了其制备方法。与现有技术相比,本发明通过特定微生物产生的酶对害虫表皮或消化系统产生破坏作用,同时结合氟啶虫酰胺和噻虫胺,形成增效悬浮剂,不仅能够提升防治效果,而且能够减少化学药剂的使用,以及降低抗药性产生的风险。

相关推荐