新型吡啶甲酸类除草剂——吲哚吡啶酸(草酯)

作者:李祝明 2024/8/30 10:01:25
吲哚吡啶酸(Indolauxipyr)是由陶氏益农公司研制的新型吡啶甲酸类选择性除草剂,后由其重组公司科迪华农科公司进行开发。目前公司重点开发用于商品农药的除草剂为其氰基甲酯:即吲哚吡啶草酯(indolauxipyr-cyanomethyl)。实验表明:吲哚吡啶酸的氰基甲酯、炔丙酯和苄酯对春小麦和冬小麦田间的田春黄菊、敏感和耐2,4-滴和磺酰脲除草剂的虞美人、野芥、婆婆纳、地肤、白藜、繁缕、卷茎蓼
吲哚吡啶酸(Indolauxipyr)是由陶氏益农公司研制的新型吡啶甲酸类选择性除草剂,后由其重组公司科迪华农科公司进行开发。

目前公司重点开发用于商品农药的除草剂为其氰基甲酯:即吲哚吡啶草酯(indolauxipyr-cyanomethyl)。实验表明:吲哚吡啶酸的氰基甲酯、炔丙酯和苄酯对春小麦和冬小麦田间的田春黄菊、敏感和耐2,4-滴和磺酰脲除草剂的虞美人、野芥、婆婆纳、地肤、白藜、繁缕、卷茎蓼、矢车菊、丝路蓟、球果紫堇、无香母菊和德国洋甘菊等多种阔叶杂草的防效优异,且氰基甲酯和炔丙酯的优于苄酯的,持效期长至近3个月。2023年5月,吲哚吡啶酸在北美国家上市。不久的将来,吲哚吡啶酸将为全球谷物种植户在控制阔叶杂草方面提供一种强大的新工具。


产品简介
英文名称: indolauxipyr 
中文名称:吲哚吡啶酸 
商品名称:Bexoveld™
化学名称:4-氨基-3-氯-5-氟-6-(7-氟-1H-吲哚-6-基)吡啶-2-甲酸 
分子式:C14H8ClF2N3O2 
相对分子质量:323.682 
CAS登录号:1628702-28-2 
结构式:
图片
三维结构式:
图片


作用机理
吲哚吡啶酸(Indolauxipyr)作为合成激素类除草剂中的一类,作用靶标仍然未明确。其具有吡啶环的结构表明其有较好的内吸传导性,推测施药后植物的茎、根快速吸收,抑制植物激素的转运,导致激素积累,表现为叶绿体、膜结构或维管完整性被破坏,最终导致生长被抑制、茎叶卷曲、组织坏死及植株枯亡。


应用及杀草谱
应用:禾谷类作物如小麦、大麦、水稻、玉米等以及草坪、牧场等
杀草谱:田春黄菊、矢车菊、藜草、(普通灰菜)、大蓟、球果紫、地肤、洋甘菊、新疆三肋果、虞美人、卷茎蓼、野生荞麦、欧白芥(野生芥菜)、繁缕、婆婆纳等杂草
可开发剂型:100g/L吲哚吡啶酸EC


专利情况
美国陶氏益农公司(现科迪华)申请了吲哚吡啶酯的许多化合物专利,包括PCT专利、欧洲专利、美国专利、中国专利等,这些专利将于2038年到期。
PCT专利:WO2018208582A1,申请于2018年5月4日,2038年5月3日到期。
欧洲专利:EP3621439B1,申请于2018年5月4日,2038年5月3日到期。
美国专利:US11363816B2,申请于2018年5月4日,2038年5月4日到期。
中国专利:CN111065269B(ZL201880042410.9),申请于2018年5月4日,2038年5月3日到期;发明名称:4-氨基-6-(杂环)吡啶甲酸酯和6-氨基-2-(杂环)嘧啶-4-羧酸酯及其作为除草剂的用途。


合成路线
吲哚吡啶酸的合成可以以氨氯吡啶酸(毒莠定)为起始原料合成。
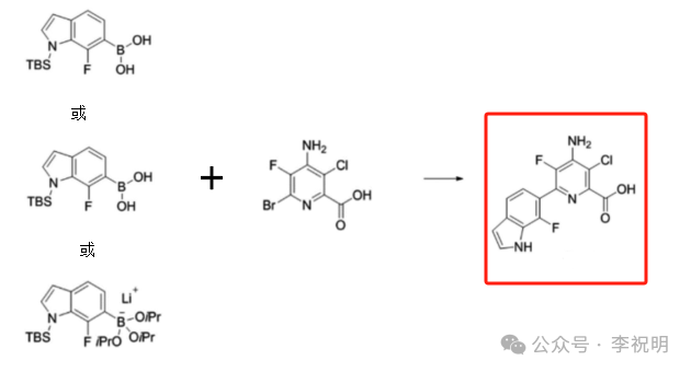
路线一:以氨氯吡啶酸原料经酯化、氟化、水解后得到中间体4-氨基-6-溴-3-氯-5-氟吡啶甲酸,4-氨基-6-溴-3-氯-5-氟吡啶甲酸和多取代吲哚硼酸盐(7-氟-1H-吲哚-6-基)硼酸、或(1-(叔丁基二甲基甲硅烷基)-7-氟-1H-吲哚-6-基)硼酸、或(1-(叔丁基二甲基甲硅烷基)-7-氟-1H-吲哚-6-基)三异丙氧基硼酸锂反应,生成目标化合物吲哚吡啶酸。反应式如下:
4-氨基-6-溴-3-氯-5-氟吡啶甲酸的合成:
图片
吲哚吡啶酸的合成:
图片
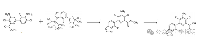
路线二:专利CN111065269A报道了以4-氨基-3,6-二氯-5-氟吡啶甲酸甲酯和7-氟-6-(4,4,5,5-四甲基-1,3,2-二氧杂戊硼烷-2-基)-1-(三异丙基甲硅烷基)-1H-吲哚反应,得到4-氨基-3-氯-5-氟-6-(7-氟-1H-吲哚-6-基)吡啶甲酸甲酯,最后经一步得到目标化合物。反应式如下:
图片


前景展望
吲哚吡啶酸是科迪华继氨氯吡啶酸氯氨吡啶酸氯氟吡啶酯氟氯吡啶酯之后开发的第三代吡啶甲酸类除草剂,在低用药量下即可有效防除谷物田主要阔叶杂草,包括耐2,4-滴和磺酰脲除草剂的婆婆纳、地肤、藜、繁缕、卷茎蓼、丝路蓟等主要恶性阔叶杂草,是对目前现有谷物田除草剂的高度补充,为谷物田市场提供了新的解决方案。
相关推荐