苯醚甲环唑供应格局更加清晰,全球终端市场应用仍具前景

作者:全球农药市场研究 中农纵横农化部 2022/12/2 11:26:58
苯醚甲环唑是1988年由Giba‑Geigy(现归属英国先正达公司)在戊环唑分子中引入二苯醚结构开发出的三唑类杀菌剂优良品种,因其高效、低毒(大鼠急性经口LD50为2150mg/kg),化学稳定性高、杀菌谱广而成为国内外农药生产企业争相开发的热点。作用机理。苯醚甲环唑是一种新型高效的三唑类杀菌剂,是甾族脱甲基化抑制剂,其产品具 有高效、广谱、低毒、低用量;内吸强,作用机理独特,主要抑制细胞麦角甾醇

苯醚甲环唑是1988年由Giba‑Geigy(现归属英国先正达公司)在戊环唑分子中引入二苯醚结构开发出的三唑类杀菌剂优良品种,因其高效、低毒(大鼠急性经口LD50为2150mg/kg),化学稳定性高、杀菌谱广而成为国内外农药生产企业争相开发的热点。


作用机理。苯醚甲环唑是一种新型高效的三唑类杀菌剂,是甾族脱甲基化抑制剂,其产品具 有高效、广谱、低毒、低用量;内吸强,作用机理独特,主要抑制细胞麦角甾醇的生物合成,从 而破坏细胞结构与功能,具有内吸性,杀菌谱广。


防治的主要病害。可以防治多种作物上由真菌、半知菌等病 原菌引起的黑星病、白粉病、叶斑病、锈病、炭疽病。一次用药可防治多种病害,而且该药具 有理想的内吸性、双向传导性以及渗透性,持效期长可达7~14天,耐雨性好、对植物安全、 对环境安全,不污染环境和农产品,是目前我国乃至世界各国治疗白粉病、网斑病、根腐病、 赤霉病,黑穗病及种传轮斑病等作物抗性病害的理想药剂。

适用作物。苹果、梨、葡萄、柑橘、 草莓、西瓜、辣椒、番茄等,尤其是对蔬菜和瓜类等多种真菌性病害具有良好的保护和治疗 作用。

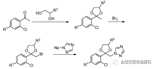
原药工艺。工业上制备苯醚甲环唑主要是经过环合、溴代、缩合合成法,此路线第一步环合反 应较易进行,收率高、反应时间短且产物归一纯度高;但由于形成缩酮产物后,其α‑氢活性 降低,使得溴代反应收率和归一纯度降低。

以此路线为例。

图片

工艺路线中1 ,2 ,4‑三氮唑负离子与1 ,3 ,4‑三氮唑负离子存在互变异构,因而造成在反应过程成中,这也是反应过程中会生成1 ,3 ,4‑三唑的副产物的主要原因。然而,经研究发现1 ,2 ,4‑ 三氮唑负离子比1 ,3 ,4‑三氮唑负离子稳定,为主要的异构体。1 ,2 ,4‑三氮唑负离子与溴代物反应生成目标产物苯醚甲环唑(主异构体);1 ,3 ,4‑三氮唑负离子与溴代物反应生成副产 物(次异构体)。本发明人发现,在缩合反应过程中加入CuI催化剂,并控制反应条件,可降低 1 ,3 ,4‑三氮唑负离子的生成,进而提高反应的选择性,提高收率和纯度。

市场分布。根据中农纵横的监测,全球苯醚甲环唑主要市场分布在美洲、亚洲等,如,加拿大的油菜、美国大豆和巴西的棉花,亚洲越南、泰国、印度尼西亚等国的水稻,都应用居前,而台湾的水稻和果蔬上应用比较稳定。

市场规模。根据中农纵横的折合和数据验证,2021年苯醚甲环唑全球使用量在5,500吨左右,销售额为5.53亿美元,施药面积为4,800万公顷,近几年复合增长率为比较稳定(数据略)。

供应格局。国内企业,如浙江禾本、江苏七洲、杭州宇龙和海利尔都有产能装置(数据略),企业开工稳定,合计产能近8,200吨,另外,扬农化工(江苏优嘉植物保护有限公司)四期项目(中化现代植保产业园二期)苯醚甲环唑3,000吨产能处于验收期中(验收期限在2022年1月19日至2022年12月31日)。

行情走势。近期苯醚甲环唑价格比较稳定,企业报价多在17万,由年初的23.8万元/吨处于下降中,降幅为28.57%,随着扬农的产能的达产和产量释放,原药价格后市主要以看空为主。

图片

数据来源:中农纵横SDIP

市场前景。因苯醚甲环唑为低毒高效 农药,对环境污染小,适应现在绿色农业、无公害农业发展趋势。因此,苯醚甲环唑仍有较好的推广应用前景,市场峰值在8,000吨左右(预测模型略),产品性价比较高,有利于出口创汇,参与国际市场竞争。


相关推荐