新型双酰胺类杀虫剂——氟苯碘虫二酰胺(莫多拉纳)

作者:李祝明 2024/7/29 13:58:03
氟苯碘虫二酰胺(modoflaner)是日本三井化学农业公司2018年研制开发的又一间苯二酰胺类杀虫剂,其结构类同溴虫氟苯双酰胺(broflanilide)及中国创制的环丙氟虫二酰胺(cyproflanilide),不同处是引入了碘和氟代吡啶结构,这也使得其有更广的杀虫范围,以及更好的内吸活性。氟苯碘虫二酰胺即可用于长效防除动物体外寄生虫的药剂,也可作为园艺用或农业用杀虫剂保护作物免受有害生物侵害
氟苯碘虫二酰胺(modoflaner)是日本三井化学农业公司2018年研制开发的又一间苯二酰胺类杀虫剂,其结构类同溴虫氟苯双酰胺(broflanilide)及中国创制的环丙氟虫二酰胺(cyproflanilide),不同处是引入了碘和氟代吡啶结构,这也使得其有更广的杀虫范围,以及更好的内吸活性。氟苯碘虫二酰胺即可用于长效防除动物体外寄生虫的药剂,也可作为园艺用或农业用杀虫剂保护作物免受有害生物侵害。其专利期于2038年09月19日届满


01
产品简介
英文名称:modoflaner
中文名称:氟苯碘虫二酰胺
其他名称:莫多拉纳
化学名称:6-氟-N-[2-氟-3-[[4-(1,1,1,2,3,3,3-七氟丙-2-基)-2-碘-6-(三氟甲基)苯基]氨基甲酰基]苯基]吡啶-3-甲酰胺 
分子式:C23H10F12IN3O2
相对分子质量:715.230 
CAS登录号:1331922-53-2
化学结构式:
图片
三维化学结构式:
图片
理化性质:原药为白色至米白色固体,沸点:439.8±45.0°C(Predicted);密度:1.820±0.06g/cm3(Predicted);储存条件:-20°C;酸度系数:(pKa)10.03±0.70(Predicted)

02
作用机理

推测氟苯碘虫二酰胺也属于γ-氨基丁酸(GABA)门控氯离子通道阻滞剂,作用于昆虫神经系统。阻断GABA激活的氯离子通道,从而引起昆虫过度兴奋和惊厥,从而表现杀虫活性。

03
应用
兽用:可用于动物的寄生虫防治,例如家宠中的猫、狗;以及家禽鸡鸭鹅和观赏鱼类等的跳蚤、蜱螨等
农业用:可以用防治果树、蔬菜以及大田作物如水稻、玉米、十字花科蔬菜等防治鳞翅目害虫棉铃虫、二化螟、稻纵卷叶螟、玉米螟、粘虫、甜菜夜蛾、小菜蛾、草地贪夜蛾、苹果小卷叶蛾等以及飞虱、蚜虫等同翅目害虫。
实验表明:氟苯碘虫二酰胺在浓度0 .04μg/cm2、0 .2μg/cm2、1μg/cm2剂量下,体外实验对蜱虫、跳蚤的杀灭均在90%以上。在0 .8μg/个体、0 .16μg/个体、0 .32μg/个体的剂量下体外注射试验 (BOOPMI注射)表明杀蜱螨活性均达100%;在4ppm、0 .8ppm、0 .16ppm、0 .032ppm、0 .064ppm的剂量下体外喂养试验(CTECFE口服)表明杀跳蚤实验均达到95%以上。
实验表明:在100ppm的浓度时,对斜纹夜蛾、小菜蛾、灰飞虱的的杀灭活性均在70%以上。

04
合成路线

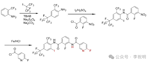
氟苯碘虫二酰胺的制备可参考已知的间二酰胺类化合物的合成路线,如WO2005/073165、WO2010/018714、WO2011/093415以及WO2010/013567及WO2010/018857,拟合成路线如下:

图片


05
前景展望
从作用机理来看,γ-氨基丁酸(GABA)门控氯离子通道这个作用靶标是杀虫剂中非常重要的靶标,从之前的有机氯类(如硫丹)到苯基吡唑类(如氟虫腈)都是非常能打的现象级产品,但由于已上市的部分该作用机理的化合物对环境和人类健康存在风险,目前部分属于限制用产品。然而在已知的该作用靶标的在研化合物中,包括新型苯基吡唑类化合物,间二酰胺结构的化合物,异恶唑啉类化合物都表现出对环境和哺乳动物的友好性,部分化合物且即能用做兽药也能做农用杀虫剂。
从农化终端市场来看,鳞翅目、同翅目害虫是最大的两个杀虫剂市场,缨翅目的蓟马是最难解决的害虫,没有之一。而间二酰胺结构的化合物对此的杀虫活性和田间防效均优于鱼尼丁受体调节剂类、阿维菌素类和新烟碱类杀虫剂或与之相当,完全可作为轮换工具用于抗性害虫治理。
对氟苯碘虫二酰胺的探讨,对于我国间二酰胺结构的化合物的研究具有现实的意义,而随着类似结构和作用机理的化合物的推广,未来该类化合物有望在农化植保市场对于抗性害虫的防治方面与现有杀虫剂形成一定的竞争态势。

相关推荐