2022年WHO和ISO公布的15种农药新品种

作者:苏州艾科尔化工科技有限公司 谭海军 2023/4/6 10:24:16
农药被广泛应用于农业和公共卫生等领域,在控制有害生物及其危害,确保粮食安全、公共健康和经济社会发展等方面发挥了重要作用。随着多种高毒高风险农药的相继禁用、限用以及气候环境和种植结构变化等致使有害生物对现有农药的耐药性增强,不断研发并推广应用安全、高效和高选择性新型农药成为必然。尽管受新冠疫情、战争动乱和经济放缓等多重不利因素影响,新药创制工作仍持续开展,筛选得到了多个具有潜在商业开发价值的新品种。

农药被广泛应用于农业和公共卫生等领域,在控制有害生物及其危害,确保粮食安全、公共健康和经济社会发展等方面发挥了重要作用。随着多种高毒高风险农药的相继禁用、限用以及气候环境和种植结构变化等致使有害生物对现有农药的耐药性增强,不断研发并推广应用安全、高效和高选择性新型农药成为必然。


尽管受新冠疫情、战争动乱和经济放缓等多重不利因素影响,新药创制工作仍持续开展,筛选得到了多个具有潜在商业开发价值的新品种。世界卫生组织(WHO)和国际标准化组织(ISO)农药通用名技术委员会2022 年(临时)批准并公布了由美国、日本、德国和中国申请的15种农药新品种的英文通用名(表1),分别涉及杀虫杀螨剂4种、杀螨剂1种、杀虫剂3种、除草剂7 种。

表1 2022年ISO和WHO新公布的15 种农药品种

图片

注:a ISO 1750 为临时批准;b 化合物专利申请日;c 被德国勃林格殷格翰公司(Boehringer Ingelheim)收购;d 兼具杀虫活性;e 氟氯氨草酸为氟氯氨草酯(fluchloraminopyr-tefuryl) 的酸;f 兼具杀菌活性;g 专利暂未被公开。

其中,米伏拉纳、modoflaner、替戈拉纳和尤米伏拉纳为WHO 批准的国际非专利药名(INN,International NonproprietaryNames for Pharmaceutica Substances),主要用于家禽和宠物身上的螨蜱虱等寄生虫防除,也可用于公共卫生和农业杀虫;flupyroxystrobin既可用作杀菌剂也可用于公共卫生虫媒防控;杀螨剂螺螨双酯和杀虫剂硫虫酰胺,除草剂氟草啶、氟嘧啶草醚、氟氯氨草酯、氟砜草胺和溴噁草松7种农药为中国自主创制的新品种。螺螨双酯和硫虫酰胺及其制剂产品已获中国农业农村部农药登记批准,氟氯氨草酯、氟草啶和氟砜草胺在中国登记的同时,其制剂产品已获柬埔寨农药登记批准。


01
杀虫(螨)剂

1.1  螺螨双酯

螺螨双酯是青岛科技大学新研制的特特拉姆酸类杀螨剂,是用正丁氧基替换2-异戊基得到的螺螨酯衍生物。螺螨双酯具有触杀和胃毒作用,对螨卵、若螨和成螨均有效,其作用机制与螺螨酯相同,即通过抑制害螨体内脂肪合成、阻断能量代谢而杀死靶标节肢动物。螺螨双酯对红蜘蛛、黄蜘蛛、锈壁虱、茶黄螨、朱砂叶螨和二斑叶螨等多种害螨以及梨木虱、榆蛎盾蚧和叶蝉等害虫均有效,防效优于同剂量螺螨酯。螺螨双酯的杀卵作用突出,1 mg/L 浸渍处理朱砂叶螨的卵杀死率达100% (48 h),优于螺螨酯。24%螺螨双酯SC已在中国农业农村部登记,兑水稀释3 600~4 800倍在柑橘红蜘蛛出现早期施用可有效控制其为害。螺螨双酯的创制思路和合成路线见图1,其合成可共用螺螨酯的关键中间体。

图片

图1 螺螨双酯的创制思路与合成路线

1.2  硫虫酰胺

硫虫酰胺(开发代号HY366)是青岛科技大学发现的又一新型杀虫剂,也是继氯氟氰虫酰胺(cyhalodiamide)、四氯虫酰胺(tetrachlorantraniliprole)和氟氯虫双酰胺(fluchlordiniliprole)之后第4个中国自主创制的、英文通用名获ISO批准的双酰胺类杀虫剂。硫虫酰胺的作用机制与氯虫苯甲酰胺和四氯虫酰胺相同,为鱼尼丁受体变构调节剂。研究结果表明,硫虫酰胺具有胃毒作用和根内吸活性,1 mg/L处理甜菜夜蛾3龄幼虫的杀死率达90%以上(4 d)。10%硫虫酰胺SC已在中国农业农村部登记,以450~600 mL/hm2推荐剂量茎叶喷雾处理防治甘蓝小菜蛾。硫虫酰胺的创制思路与合成路线见图2,合成可共用双酰胺杀虫剂的关键中间体。

图片

图2 硫虫酰胺的创制思路与合成路线


02
除草剂

2.1  氟草啶

氟草啶(开发代号QYNS101)是将肟引入苯嘧磺草胺(saflufenacil)得到的具有旋光性的触杀灭生性除草剂。通过抑制靶标杂草的原卟啉原氧化酶(PPO),氟草啶对反枝苋、稗草和牛筋草等禾本科和阔叶杂草的防效优于其外消旋体和(S)-对映体。研究表明,氟草啶以7.5、15 g/hm2在2~3叶期茎叶处理马唐、稗草、绿色狗尾草、牛筋草、日本看麦娘和茼麻的防效均在85%以上(21 d);以15~60 g/hm2苗前土壤处理对婆婆纳、播娘蒿、荠菜、茼麻、反枝苋和绿色狗尾草的防效在85%以上(28 d),同时对玉米、棉花、大豆和花生安全;以30 g/hm2苗前土壤处理对耐吡嘧磺隆的千金子、萤蔺和鸭舌草的防效在85%以上(21 d),同时对移栽的5叶期粳稻安全。该产品在柬埔寨的制剂登记已获批准,在中国的品牌“快如风”制剂产品也正在登记之中。氟草啶的创制思路与合成路线见图3,合成时可共用苯嘧磺草胺的关键中间体。

图片

图3 氟草啶的创制思路与合成路线

2.2  氟嘧啶草醚

氟嘧啶草醚是金坛市信德农业科技有限公司将邻三氟甲基苯甲醛肟引入双草醚得到的新型除草剂,后由江苏省农用激素工程技术研究中心有限公司进行商业化开发。与双草醚相同,氟嘧啶草醚为乙酰乳酸合成酶(ALS)的抑制剂,通过叶片、叶鞘和根系吸收(但不能通过芽鞘吸收)而发挥杀草活性。氟嘧啶草醚对丁香蓼、鳢肠、千金子、稗草、鸭舌草和碎米莎草等多种水稻田杂草具有防除作用,除草活性依次降低。研究表明,氟嘧啶草醚茎叶处理对1~1.5 叶期的稗草、红脚稗和双穗雀稗等杂草具有优异的防效(≥95%),优于嘧啶肟草醚和五氟磺草胺;20%氟嘧啶草醚WP制剂田间按225~450 g/hm2施用对早、中稻直播田间4~7.5 叶期稗草、红脚稗和双穗雀稗等稗草的总体防效达98.9%及以上,优于2.5%五氟磺草胺OF(制剂用量900 mL/hm2)。同时,氟嘧啶草醚对不同品种水稻具有较好的安全性,对稗草的选择指数达到6.2,这可能与该除草剂对水稻ALS的抑制作用会很快被解除而对稗草的则不能有关。氟嘧啶草醚的创制思路与合成路线见图4,其可直接由双草醚缩合得到。

图片

图4 氟嘧啶草醚的创制思路与合成路线

2.3  氟氯氨草酯

氟氯氨草酯(开发代号KAI-141012)是在氯氟吡氧乙酸(fluroxypyr)的β-羰基位引入甲基得到氟氯氨草酸后,与四氢糠醇酯化得到的糖酯。推测氟氯氨草酯的作用机制与氯氟吡氧乙酸(异辛酯)相同,为生长素模仿剂。氟氯氨草酯具有内吸传导活性,对多种耐草甘膦的抗性杂草和难防除的小灌木和藤本杂草有优异防效,且其低温效果稳定,持效期是草甘膦的1.5~2.0倍以上。进一步的研究表明,氟氯氨草酯及其酸以1 000 g/hm2苗前施用对耐吡嘧磺隆和五氟磺草胺的鸭舌草也具有较高防效,同时对水稻的选择安全性较高;以1 000 g/hm2施用对2~3叶期的稗草、马唐、鸭舌草、茼麻和猪殃殃的防效在85%以上(21 d);以400 g/hm2施用对2~3叶期的耐双草醚和/或氰氟草酯的稗草、马唐和千金子的防效也在85%以上,且除草活性显著优于其(S)-对映体和外消旋体的,但对水稻存在一定的药害(氟氯氨草酯剂量为100 g/hm2时对水稻安全)。该产品在柬埔寨的制剂登记已获批准,在中国的品牌“冠虎”制剂产品也正在登记之中。氟氯氨草酯的创制思路与合成路线见图5,合成时可共用氯氟吡氧乙酸的关键中间体。

图片

图 5  氟氯氨草酯的创制思路与合成路线

2.4  氟砜草胺

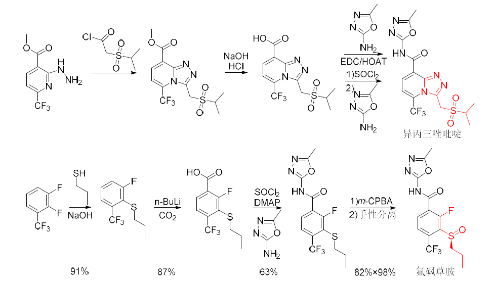
异丙三唑吡啶(开发代码NC-656)和氟砜草胺(开发代码QYR601)分别是由日本日产公司和中国青岛清原农冠作物科学有限公司开发的水稻田除草剂,具有全新的特征结构N-二唑芳甲酰胺。该类除草剂也为乙酰辅酶A羧化酶(HPPD)抑制剂,对水稻田多数禾本科、部分阔叶和莎草科杂草均有效。其中,异丙三唑吡啶以50 g/hm2茎叶处理对水田杂草稗草、千金子和碎米莎草(Cyperus iria)具有优异的防效(药后14 d的防效在90%以上),对水稻安全,同时对马唐、白藜(Chenopodium album)、狗尾草、反枝苋(70%~90%)、茼麻和玉米具有不同程度的防除效果(40%~70%)。氟砜草胺对2~3叶期的稗草(剂量不低于3.75 g/hm2)、马唐(剂量不低于7.5 g/hm2)和狗尾草(剂量不低于15 g/hm2)的防效在85%以上(21 d),同时对反枝苋、繁缕和茼麻也有一定的防效;苗后茎叶处理对4~5叶期的马唐(30 g/hm2)、茼麻(30 g/hm2)和绿色狗尾草(60 g/hm2)的防效达100% (21 d),对千金子(60 g/hm2)的防效达到85%;苗前封闭处理对耐吡嘧磺隆和五氟磺草胺的稗草、千金子、野慈姑和鸭舌草等的防效在85%以上(60 g/hm2,21 d)。同时,氟砜草胺对包括龙洋16 敏感品系在内的粳稻和籼稻具有较高的选择安全性(对稗草的选择指数大于5),但其(S)-对映体对水稻存在一定的药害,生产过程中应尽量予以控制。该产品在柬埔寨的制剂登记已获批准,在中国的品牌“稻普瑞”制剂产品也正在登记之中。异丙三唑吡啶和氟砜草胺的创制思路与合成路线见图6,合成时需要注意其晶型。

图片

图6 异丙三唑吡啶和氟砜草胺的创制思路与合成路线

2.5  溴噁草松

溴噁草松(开发代码KAI-172402)是用溴对二氯异噁草松(bixlozone)苯环2-位上的氯进行替换得到的新型除草剂。推测其作用机制与二氯异噁草松和异噁草松相同,为1-脱氧-D-葡萄糖-5-磷酸酯(DOXP)抑制剂。该除草剂与现有的主流除草剂无交互抗性,对多花黑麦草、猪殃殃、婆婆纳、牛繁缕、野燕麦、稗草、龙葵、反枝苋和马齿苋等多种重要的抗性杂草也有效。由于具有茎叶活性和土壤活性,溴噁草松可苗前或苗后处理,用于小麦、水稻、玉米、大豆、棉花、大蒜、花生、西瓜、油菜、白菜和花椰菜等作物田多种禾本科和阔叶杂草防除,预计2025年在中国登记上市。溴噁草松的创制思路见图7,推导其合成路线与二氯异噁草松和异噁草松相似,可共用后二者的中间体进行合成。

图片

图7 溴噁草松的创制思路


03
总结与展望

农药新品种的持续研究开发、登记上市与推广应用为用户提供了更多可供选择的工具,有利于农药减量增效和保护生物多样性行动的开展,为维持农业及经济社会的可持续发展提供重要支撑。在研究开发得到新的农药品种后,向ISO或WHO申请国际英文通用名是将产品推向市场的重要一环。1998—2022年,先后有273种新农药的英文通用名获ISO和WHO批准(部分年份有硝化抑制剂等非农药品种),其中中国创制的有35种(图8),约占12.8%。从数量趋势上看,获批的国际新品种在逐年下降而中国的在上升。

图片

图8 1998—2022年ISO和WHO公布的农药新品种数量和趋势

(仅2022年含WHO公布的农药新品种)

2022年英文通用名获WHO和ISO批准的农药新品种中,中国创制的农药品种占比达到了46.7%,而且部分产品还在中国和柬埔寨等国取得了或即将取得农药登记批准。这充分反映了中国企业发力农药创新和应用推广的成果。另一方面,2022年公布的农药新品种多可视为从已有品种优化而来,故可利用后者的中间体进行合成,其作用机制和防治对象也与之相似。此外,WHO发布的4个杀寄生虫剂在农业和公共卫生领域具有较好的应用前景(特别是用于抗性害虫防治),具有杀菌活性的fluroxystrobin在公共卫生领域杀蚊的应用也值得借鉴,首个获批的喷洒型RNAi杀虫剂ledprona也有望对生物农药开发发挥引领作用。在新农药创制方面,对已有品种的羟基或羧基等进行保护或者选择不同的成酯形式也可能会有新的发现。


展望未来,应进一步加强对这些新发布品种的研究,从生产上优选原药和制剂的最优工艺提高质量而降低成本,从作用机制和抗性发展规律等方面研究开发合适的剂型、配方和混用方案,在减量增效地实现产品价值的同时延长其生命周期。同时,积极探索产品的新应用及其配套的应用技术和实践方案,在确保作物、环境和生态安全的前提下,实现有效的有害生物综合治理和抗性管理。无论如何,应当将这些公布的农药新品种推向市场,让其走向终端,成为用户真正信赖可用的、具有竞争力和生命力的新工具和生产资料。


相关推荐