新型SDHI类杀菌剂联苯吡嗪菌胺,目前在我国还未获得登记

作者:农博生物 张莎莎 2022/9/14 10:27:50
联苯吡嗪菌胺(pyraziflumid,化合物名称:N-(3',4'-二氟联苯-2-基)-3-(三氟甲基)-2-吡嗪甲酰胺,CAS登录号:942515-63-1)是日本农药株式会社(Nihon Nohyaku Co., Ltd.)发现和开发的新颖杀菌剂,是琥珀酸脱氢酶抑制剂(SDHI),被杀菌剂抗性行动委员会(FRAC)分为第7组。联苯吡嗪菌胺具有独特的化学结构,结构中含有3-(三

联苯吡嗪菌胺(pyraziflumid,化合物名称:N-(3',4'-二氟联苯-2-基)-3-(三氟甲基)-2-吡嗪甲酰胺,CAS登录号:942515-63-1)是日本农药株式会社(Nihon Nohyaku Co., Ltd.)发现和开发的新颖杀菌剂,是琥珀酸脱氢酶抑制剂(SDHI),被杀菌剂抗性行动委员会(FRAC)分为第7组。


联苯吡嗪菌胺具有独特的化学结构,结构中含有3-(三氟甲基)-2-吡嗪甲酰胺基团(如下图所示)。

图片

联苯吡嗪菌胺的结构式

作用机理

联苯吡嗪菌胺通过抑制线粒体复合体II的琥珀酸脱氢酶(SDH)活性,从而阻断了病原菌的能量代谢,抑制病原菌的生长,导致其死亡,最终达到防治植物病害的目的。


联苯吡嗪菌胺对子囊菌和担子菌有优异的生物活性,对田间多种病害有很好的防治活性。主要用于防治水稻、水果和蔬菜的白粉病、黑星病、灰霉病、菌核病、轮纹病、果斑病及钱斑病等,对甘蓝菌核病、草莓灰霉病、黄瓜白粉病和番茄叶霉病均有较好的防效;对叶菜、果菜类蔬菜、豆类和洋葱作物的菌核病也有特别高的活性,且其对植物和哺乳动物毒性风险低,且耐雨水冲刷。

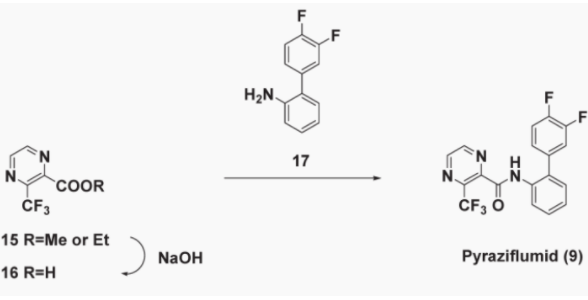
合成路线

联苯吡嗪菌胺(pyraziflumid)的合成路线:3-(三氟甲基)-2-吡嗪甲酸甲酯(15)[3-(trifluoromethyl)-2-pyrazine carboxylic acid ester] 与 3',4'-二氟-2-苯胺(17)反应或3-(三氟甲基)-2-吡嗪甲酸(16)和3',4'-二氟-2-苯胺(17)缩合而成(如下图所示)。

图片


登记情况

2018年3月,联苯吡嗪菌胺在日本登记,上市了3个商业产品,分别为用于蔬菜的PARADE®20FL,用于水果作物的PARADE® 15FL和用于草坪的DECIDE® FL。2018年,联苯吡嗪菌胺在韩国登记。


日前,我国联苯吡嗪菌胺产品的登记处于空白状态,但是已有相关的专利:


申请(专利)号:CN202010127829.3本发明涉及一种包含联苯吡嗪菌胺和氟啶胺的组合物及其用途,杀菌组合物包含杀菌活性成分A和杀菌活性成分B,杀菌活性成分A为如下式(I)化合物,杀菌活性成分B为氟啶胺,其中,式(I)化合物命名为联苯吡嗪菌胺。本发明的杀菌组合物能够协同增效防治人参菌核病,白菜菌核病,草莓灰霉病,草莓白粉病,黄瓜白粉病,黄瓜灰霉病,黄瓜菌核病,番茄灰霉病,番茄菌核病,茄子灰霉病,辣椒灰霉病,辣椒菌核病,并且获得预料不到的增效作用。


申请(专利)号:CN201710609856.2本发明涉及一种包含联苯吡嗪菌胺的组合物及其用途,具体地,本发明提供了一种杀菌组合物,其特征在于该杀菌组合物包含杀菌活性成分A和杀菌活性成分B,杀菌活性成分A为如下式(I)化合物,杀菌活性成分B选自丙硫菌唑,啶酰菌胺和氟啶胺中的一种,其中,式(I)化合物命名为联苯吡嗪菌胺。本发明的杀菌组合物能够协同增效防治人参菌核病,白菜菌核病,草莓灰霉病,草莓白粉病,黄瓜白粉病,黄瓜灰霉病,黄瓜菌核病,番茄灰霉病,番茄菌核病,茄子灰霉病,辣椒灰霉病,辣椒菌核病,并且获得预料不到的增效作用。


联苯吡嗪菌胺在美国,欧洲和中国的化合物专利都将于2026年12月到期。有需求的企业可以尝试弥补这一登记空白!


市场前景

目前,联苯吡嗪菌胺已在日本和韩国登记,Nihon Nohyaku Co.,Ltd.还计划在更多作物上登记该杀菌剂,用于防治更多的病害。PARADE® 20FL具有优异的内吸活性,可登记用于喷淋叶菜的育苗盘,预防移栽后菌核病的侵染,可大大节约劳力,增加农业生产效率。


Nihon Nohyaku Co.,Ltd. 公司准备在更多国家登记联苯吡嗪菌胺,加上琥珀酸脱氢酶是不可忽视的重要杀菌剂靶标,联苯吡嗪菌胺有望为全球农业的稳定发展做出贡献,具有不可估量的市场。


相关推荐