梨树春季防治病虫害如何用药?

作者:天津果树 2023/2/14 14:32:25
春回大地,梨树芽鳞片松动又逢病菌繁殖、传播侵染及梨木虱越冬成虫的出蛰、梨瘿蚊和梨茎蜂的发生为害,为有效减少病虫侵染源,减轻病虫害对梨树的为害,认真抓好花期前后病虫防控,可有效减轻全年病虫害发生,改善梨果的品质,增加农民经济效益。 防治对象:梨树主要病虫害有:梨小食心虫、梨木虱、梨茎蜂、蚜虫、红蜘蛛、蝽象;病害有梨锈病、黑星病等。梨小食心虫梨木虱梨茎蜂梨锈病黑星病防治措施1、早春清园(1-

春回大地,梨树芽鳞片松动又逢病菌繁殖、传播侵染及梨木虱越冬成虫的出蛰、梨瘿蚊和梨茎蜂的发生为害,为有效减少病虫侵染源,减轻病虫害对梨树的为害,认真抓好花期前后病虫防控,可有效减轻全年病虫害发生,改善梨果的品质,增加农民经济效益。 


图片


防治对象:梨树主要病虫害有:梨小食心虫、梨木虱、梨茎蜂、蚜虫、红蜘蛛、蝽象;病害有梨锈病、黑星病等。


图片

梨小食心虫


图片

梨木虱


图片

梨茎蜂


图片

梨锈病


图片

黑星病


防治措施

1、早春清园(1-3月):

早春至花芽膨大前清洁果园和刮树皮,清除越冬虫卵、越冬病菌,集中烧毁。对枝干轮纹病刮后涂5%的菌毒清30~50倍液或843康复剂5~10倍。清除梨园附近的龙柏、桧柏,集中处理,无法砍除的应在龙柏、桧柏上喷3-5度石硫合剂杀灭、抑制梨锈病菌。人工捕捉吉丁虫和天牛幼虫。开花前半月,灌水一次。


2、现蕾初期至开花前病虫防治(芽萌动至开花前):

3月下旬至4月上旬,选用1.8%阿维菌素乳油1500倍液+4.5%高效氯氰菊酯乳油1000倍液+70%甲基托布津1500倍液+3%啶虫脒可湿性粉剂1000倍液,防治梨木虱、梨毛虫、梨黑星病、预防金龟子危害梨花,同时兼治梨蚜虫。


3、盛花期管理(4月上中旬):

全树全花喷0.0075%芸苔素内酯1500倍液、0.3%硼砂和0.3%尿素及0.5%白砂糖混合液,可有效促进花朵坐果率。


4、落花后病虫防治(4月下旬至5月上旬):

喷一次保护性杀菌剂加内吸性杀菌剂防治梨花腐病、锈病、黑斑病、斑点病、褐斑病、轮纹病等病害,并加入杀虫剂防治梨小食心虫、梨木虱、梨瘿蚊、蚜虫、梨茎蜂等害虫。选用70%丙森锌可湿性粉剂+43%戊唑醇悬浮剂或80%多菌灵+15%阿维•毒(或毒死蜱)乳油1200倍+10%吡虫啉可湿性粉剂800倍液喷雾。主要预防梨锈病、黑星病,霉心病及金龟子、蝽象等,可兼治潜叶壁虱、木虱和蚜虫。此期需磷钾量大,喷施氨基酸叶面肥、磷酸二氢钾补充新抽叶片对肥料需要,以及喷施0.0075%芸苔素内酯1500倍液保果。


图片


中国梨木虱冬型虫的发生及早春防治


中国梨木虱,通称梨木虱,是梨树生产中的重要害虫,主要以针状口器刺吸梨树叶片、嫩梢,叶片失水失绿和虫体分泌蜜露诱发霉污病影响叶片光合作用,直间接造成梨产量损失和果品下降。

梨木虱随季节变化,有明显的两型现象,分为冬型、夏型。


图片

左图:梨木虱冬型虫,右图:梨木虱夏型虫


1.
梨木虱冬型虫

梨木虱的越冬虫态。虫体褐色至暗褐色,头顶及足色较淡。雌虫体长 3.0-3.1mm,雌虫腹部末端钝圆;雄虫体长 2.8-3.2mm,腹部末端略尖且上翘。冬型虫主要发生于梨树的休眠期-萌芽期-花期-展叶期四个时期。


图片

冬型梨木虱雌(左图)、雄虫(右图)


2.
梨木虱冬型虫的发生规律

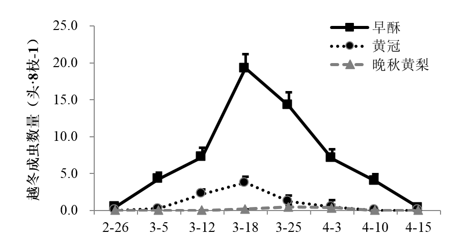
梨木虱冬型虫主要在梨树上裂缝、剪锯口、杂草、落叶、根际及土中越冬。成虫出蛰早晚与梨树品种有关。“早酥梨”树上2月中下旬出蛰,“黄冠”和“晚秋黄梨”上3月上中旬出蛰。越冬成虫在3月中下旬达到高峰期,4月上中旬为越冬成虫末期。


图片

梨木虱冬型成虫在梨树上的发生动态


3月中下旬越冬成虫开始产卵,3月底至4月初(梨树盛花期)为产卵高峰,至4月底结束产卵。产卵历期近40天。初产卵黄色,长圆形。以枝条基部刻痕处着卵量最多,随梨树花芽萌动至开花,花柄处落卵量增加。


图片

冬型梨木虱在梨树上产卵历期


图片

产卵场所


3.
冬型梨木虱的早春防治

梨木虱冬型虫出蛰高峰期(3月中下旬,梨花芽开绽期)和早春第1、2代低龄若虫期是当年防治用药关键时期。于晴朗天气午后选择施药,可用5波美度石硫合剂,还可兼治其它梨树病虫害。可结合果树修剪作业,剪除短果枝上的着卵,可有效控制梨木虱的危害。此外,在冬成虫越冬时期,可及时清理果园杂草枯枝落叶,破坏冬成虫越冬场所。


相关推荐