吡蚜酮研究开发近况

作者:中农立华原药 中农立华原药 2022/6/13 15:11:04
吡蚜酮(pymetrozine)是瑞士汽巴-嘉基公司于1988年开发的含有吡啶和三嗪酮结构的杀虫剂。该产品对多种作物的刺吸式口器害虫表现出较好的防治效果,对害虫具有触杀作用,同时还有内吸活性,在植物体内既能在木质部输导也能在韧皮部传导。该特性决定了其既可用做叶面喷雾,也可用于土壤处理。1994年吡蚜酮由诺华(现先正达)公司投放市场,商品名为Chess,1998年在日本上市,1999年在美国获准登记

吡蚜酮(pymetrozine)是瑞士汽巴-嘉基公司于1988年开发的含有吡啶和三嗪酮结构的杀虫剂。该产品对多种作物的刺吸式口器害虫表现出较好的防治效果,对害虫具有触杀作用,同时还有内吸活性,在植物体内既能在木质部输导也能在韧皮部传导。该特性决定了其既可用做叶面喷雾,也可用于土壤处理。


1994年吡蚜酮由诺华(现先正达)公司投放市场,商品名为Chess,1998年在日本上市,1999年在美国获准登记,2000年在欧洲取得登记,之后陆续被东亚市场广泛使用。其全球市场受益于它的内吸作用及其不同于新烟碱类杀虫剂的作用机理,成为高毒、高污染杀虫剂优良的替代品种。2017年,安道麦接管了先正达Fulfill(50%吡蚜酮水分散粒剂)产品在美国市场的销售权。


2007年江苏安邦电化有限公司(现为安道麦安邦)首次获得吡蚜酮制剂的正式登记,登记的产品为25%可湿性粉剂,中国开始使用吡蚜酮,但是初期发展较为缓慢。随着吡虫啉抗药性增加,吡蚜酮被推广使用,逐渐登上了我国农药历史的舞台,并以其优势迅速占领了中国市场,最终吡蚜酮被列为防治稻飞虱和蚜虫的新一代特效药。

图片

基本情况

吡蚜酮英文通用名:pymetrozine;化学名称:4,5-二氢-6-甲基-4-(3-吡啶亚甲基氨基)-1,2,4-3(2H)-酮。外观:白色结晶粉末;相对分子质量:217.2273;CAS登录号:123312-89-04;密度:1.3 g/cm3;分子式:C10H11N5O7。化学结构式如图1。

图片

图1  吡蚜酮的结构式

吡蚜酮熔点:217℃;蒸气压(20℃)<9.7×10-3Pa。溶解度(20℃,g/L):水中0.27,乙醇中2.25,正已烷中<0.01。对光、热稳定,弱酸弱碱条件下稳定。


吡蚜酮大鼠经口LD50为5,820 mg/kg,大鼠经皮LD50>2,000 mg/kg。


图片

作用机理及产品特性

吡蚜酮是一种新型的吡啶类杀虫剂,虽没有击倒活性,但是害虫一旦接触到该类药剂,口针就会被软化阻塞从而停止取食,而且这一过程是不可逆的。吡蚜酮可以防治蚜虫科、飞虱科、粉虱科、叶蝉科等几乎所有类型的刺吸口器害虫,在较低用药量下即可达到较好的防治效果。


吡蚜酮在植物体内具有良好的内吸传导活性,在韧皮部和木质部向顶端和向下双向传导,因此即使在茎叶处理后对作物新生组织也会有良好的保护作用。由于吡蚜酮的独特作用机理,杀虫速度相对较慢,建议配合速效杀虫剂一起使用,达到快速杀虫的目的。


吡蚜酮低毒,对天敌影响小,仅作用于刺吸口器害虫。该化合物对皮肤和眼睛均无刺激,且无致突变性。对哺乳动物毒性很低,对于鸟类、鱼类、蜜蜂等也有很好的安全性。另外吡蚜酮以及其代谢产物仅存在于土壤表面层,且很难与土壤相容,加之吡蚜酮半衰期较短,在环境中能够迅速降解,因此,是一类对环境威胁较小的绿色杀虫剂。


图片

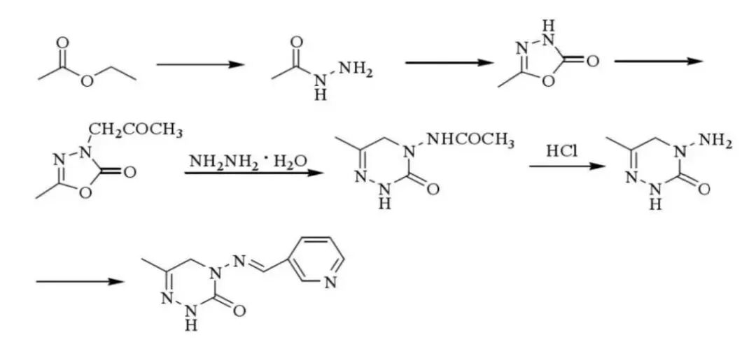
合成工艺

主要原材料:水合肼、乙酸乙酯;重要中间体:氨基三嗪酮、烟醛。


目前国内外主要采用乙酸乙酯法合成氨基三嗪酮。该路线以乙酸乙酯和水合肼为起始原料,经过缩合反应制得乙酰肼;乙酰肼与光气经过环合反应制得2-甲基-1,3,4-噁二唑-5(4H)-酮;与氯丙酮经过烷基化反应制得2,3-二氢-5-甲-2-氧-1,3,4-噁二唑-3-丙酮,再与水合肼反应制得4-乙酰胺基-6-甲基-3-氧-2,3,4,5-四氢-1,2,4-三嗪,酸性条件下水解得到4-胺基-6-甲基-3-氧-2,3,4,5-四氢-1,2,4-三嗪,最后再经过缩合反应制得吡蚜酮。吡蚜酮合成路线见图2。

图片

 图2  吡蚜酮合成路线


图片

注意事项

吡蚜酮在使用过程中,需要注意2点。


安全间隔期:吡蚜酮在不同作物上的安全间隔期是不一样的。比如在水稻上使用的安全间隔期是7天,每季作物最多使用2次;甘蓝上使用的安全间隔期为14天,每季作物最多使用3次。


使用禁忌:瓜类、莴苣苗期、烟草等作物对吡蚜酮敏感,在使用的时候避免药液漂移到这些作物上。另外,在作物开花期禁用吡蚜酮,避免产生药害以及对蜜蜂等传粉的影响。


图片

原药生产企业

国内吡蚜酮原药产能主要集中在安道麦安邦(江苏)有限公司、沈阳科创化学品有限公司、山东省联合农药工业有限公司、广东立威化工有限公司、河北威远生物化工有限公司、兰州鑫隆泰生物科技有限公司等企业。


图片

登记情况

基于吡蚜酮潜在的内分泌干扰特性和致癌性,以及代谢产物对地下水造成污染的可能性,2014年挪威禁止吡蚜酮产品的使用,2015年加拿大开始对吡蚜酮进行专项评估,并于2020年建议禁止吡蚜酮的所有户外使用,欧盟也已于2019年淘汰了吡蚜酮产品。但其他地区未受影响,尤其是在水稻种植区,吡蚜酮依然占有很大的市场份额。


截止2022年5月,国内共有吡蚜酮登记证465个,其中原药登记证38个,制剂单剂登记证221个,混剂登记证206个。原药登记情况见图3。

图片

图3  不同含量原药登记证数


在制剂混剂登记中,吡蚜酮与多达20种其他产品复配登记(图4),10个或以上登记证数量的复配成分有烯啶虫胺、呋虫胺、噻虫嗪、异丙威、噻嗪酮、毒死蜱、阿维菌素和噻虫胺,其中与烯啶虫胺复配多达47个,是复配最多的产品。

图片

图4  不同复配成分统计


在制剂登记中,涉及9种剂型的登记,其中水分散粒剂最多,184个登记证;其次是可湿性粉剂167个,悬浮剂63个,悬乳剂5个,颗粒剂4个,可分散油悬浮剂、悬浮种衣剂、种子处理可分散粉剂、泡腾片剂各1个。通过登记剂型可发现,吡蚜酮主要用于叶面喷雾,也在拓展种衣剂等地下应用方向。


在登记作物上,吡蚜酮制剂产品在22种作物上登记。在水稻上的登记数量是381个,遥遥领先;排在后面的是小麦39个,甘蓝29个,菠菜16个,观赏菊花14个,芹菜11个,莲藕11个,观赏月季11个,黄瓜6个,烟草4个,观赏花卉4个,棉花3个,茶树2个,桃树2个。水稻依旧是吡蚜酮的主战场,随着吡蚜酮应用技术的成熟,其也不断在经济作物上登记推广。


防治对象上,吡蚜酮总共登记防治16个靶标害虫。其中,稻飞虱的登记数量高达345个;其次是蚜虫113个、飞虱36个;其他靶标登记数量低于10个,如粉虱6个,蓟马5个,二化螟4个,烟蚜3个,稻纵卷叶螟2个,茶小绿叶蝉2个。从登记防治对象上看出吡蚜酮主要防治飞虱、蚜虫等刺吸式害虫,虽然也登记防治二化螟、稻纵卷叶螟和烟青虫等,但这些都是在防治稻飞虱基础上进行的扩登。


统计近5年获登记数量,2017年37个、2018年145个、2019年128个、2020年74个、2021年56个。吡蚜酮在2018—2019年获批登记证都超过100个,关注热度达到顶峰。虽然近两年新获批登记数量减少,但每年都有超过50个新登记,吡蚜酮的使用推广仍然受到比较高的关注。


图片

图5  近5年新增登记证数量


图片

市场展望

吡蚜酮具有独特作用机理的优势,对刺吸式口器害虫具有优秀的活性,同时对环境友好。虽然由于长期使用已产生抗性,但可通过与不同药剂的复配来解决抗性和速效性差的问题。目前吡蚜酮制剂主要应用在水稻上,防治稻飞虱,在其他作物上防治刺吸式口器害虫是吡蚜酮未来增量的潜力。未来该产品在新登记和推广上也应更多关注复配登记或组合方案。


相关推荐