新型除草剂丙酯草醚潜力无限,却无混剂登记

作者:恒生检测 2022/3/14 13:43:58
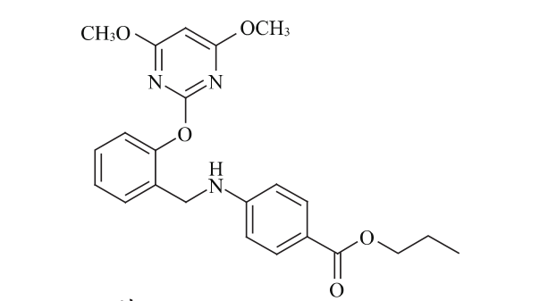
丙酯草醚(pyribambenz-propyl)是我国自主知识产权的油菜田新型除草剂,由上海有机化学研究所和浙江化工研究院共同创制的嘧啶苄胺类除草剂。开发代号ZJ0273,CAS登录号420138-40-5。图1 丙酯草醚结构式产品特性原药外观为白色固体,熔点96℃~97℃,不溶于水,易溶于二氯甲烷、丙酮,部分溶于乙醇。低毒,大鼠急性经口LD50>5 000 mg/kg,大鼠急性经皮LD50

丙酯草醚(pyribambenz-propyl)是我国自主知识产权的油菜田新型除草剂,由上海有机化学研究所和浙江化工研究院共同创制的嘧啶苄胺类除草剂。开发代号ZJ0273,CAS登录号420138-40-5。


图片

图1 丙酯草醚结构式


产品特性

原药外观为白色固体,熔点96℃~97℃,不溶于水,易溶于二氯甲烷、丙酮,部分溶于乙醇。低毒,大鼠急性经口LD50>5 000 mg/kg,大鼠急性经皮LD50>2 000 mg/kg。


该药为ALS抑制剂,阻碍植物体内必需支链氨基酸的生物合成,进而抑制细胞有丝分裂的抑制剂。杀草谱广,能有效防除油菜田中一年生禾本科杂草及部分阔叶杂草,对看麦娘、日本看麦娘、碎米荠、繁缕、雀舌草等有特效,且对当季油菜和后茬作物安全,填补了我国油菜田一次处理兼治单、双子叶杂草除草剂的空白。


丙酯草醚活性发挥相对较慢,药后10天杂草开始表现受害症状,药后20天杂草出现明显药害症状。该药对甘兰型油菜较安全,在商品用量900 mL/hm2以上时,对油菜生长前期有一定的抑制作用,但很快能恢复正常,对产量无明显不良影响。温室试验表明:在商品量375~4 500 ml/hm2剂量范围内,对作物幼苗的安全性为:棉花>油菜>小麦>大豆>玉米>水稻。10%丙酯草醚EC对4叶以上的油菜安全。在阔叶杂草较多的田块,该药需与防阔叶杂草的除草剂混用或搭配使用,才能取得好的防效。


登记情况

经中国农药信息网查询,截止日前,我国共登记3个丙酯草醚产品,1个原药和2个制剂,分别由首建科技有限公司和侨昌现代农业有限公司获登登记。主要登记用于防治油菜田一年生禾本科杂草及部分阔叶杂草或一年生杂草。详情如表1。

表1  丙酯草醚登记情况

登记证号

农药名称

剂型

总含量

有效期至

登记证持有人

PD20151586

丙酯草醚

悬浮剂

10%

2025-8-28

侨昌现代农业有限公司

PD20141891

丙酯草醚

原药

98%

2024-8-1

首建科技有限公司

PD20141890

丙酯草醚

乳油

10%

2024-8-1

侨昌现代农业有限公司

 目前该产品还没有混剂登记记录。但相关研究表明丙酯草醚与吡唑草胺、精喹禾灵、氟吡甲禾灵、烯禾啶等复配,对油菜田杂草具有很好的防除效果,高于单一药剂的防治效果。陈传波等研究表明,60 μg/mL丙酯草醚+200 μg/mL吡唑草胺对羊蹄生长有较好地抑制作用,而对油菜幼苗的抑制效果较小,有望在生产上推广使用。周长勇等研究表明,丙酯草醚与氟吡甲禾灵等禾本科除草剂复配后对油菜田禾本科杂草具有很好的防除效果,对野燕麦的防除效果为96.2%~97.8%,高于丙酯草醚单剂防效,且对油菜生长无明显影响,有较好的推广前景和研究价值。


市场情况

该产品技术转让给山东侨昌化学有限公司,2003年,山东侨昌化学有限公司最早获得95%丙酯草醚原药的临时登记LS20031544,2010年推广面积达到万亩。2014年获得98%丙酯草醚原药的正式登记PD20141891。其化合物获得中国发明专利:专利号ZL00130735.5,专利名称2-嘧啶氧基苄基取代苯基胺类衍生物。但国内专利保护期已于2020年10月届满。同时,已经申请并获得了美国、欧盟、日本、韩国、墨西哥等国的专利授权。


与油菜田现有的除草剂品种相比,它具有高效、低毒、对后茬作物安全、环境相容性好、杀草谱较广和成本较低等特点。另外其专利保护期已经届满,未来国内该产品市场潜力无限,感兴趣的企业可以从混剂入手,抢占一席之地!


相关推荐