植物“吐水现象”可为有益昆虫提供营养物质,增加其寿命和适应性

作者: iPlants 潜心者 2024/5/23 14:13:50
植物“吐水现象”又称“滴泌现象”,即未受伤的叶片尖端或边缘形成水滴的现象。以前所有研究都认为水滴只是作为昆虫的水源。《皇家学会学报B:生物科学》杂志在线发表了来自美国罗格斯大学Cesar Rodriguez-Saona课题组题为“Plant guttation provides nutrient-rich food for insects”的研究论文。该论文表明高丛蓝莓叶缘的水滴含有碳水化合物和蛋

植物“吐水现象”又称“滴泌现象”,即未受伤的叶片尖端或边缘形成水滴的现象。以前所有研究都认为水滴只是作为昆虫的水源。《皇家学会学报B:生物科学》杂志在线发表了来自美国罗格斯大学Cesar Rodriguez-Saona课题组题为“Plant guttation provides nutrient-rich food for insects”的研究论文。该论文表明高丛蓝莓叶缘的水滴含有碳水化合物和蛋白质,是许多昆虫,包括蜜蜂,黄蜂和苍蝇的可靠且营养丰富的食物来源,并且增加了昆虫的群落和适应性。因此,植物吐水现象是一种重要的植物性状,对昆虫与植物的相互作用具有深远的影响。


图片


植物“吐水现象”又称“滴泌现象”,因为晚上叶片上的气孔一般是关闭的,水从叶片上散发的量减少,而土壤中湿度大,植物根系仍然强烈地吸水,这就造成了植物体内水分吸入量大于蒸发消耗量,过多的水分就从叶尖或叶子边缘的水孔排出,形成水珠。这些水滴由木质部和韧皮部汁液组成,并存在于多种植物中,包括水稻、小麦、大麦、黑麦、燕麦、高粱、玉米、烟草、番茄、草莓、黄瓜和蓝莓。而以前所有研究都认为水滴只是作为昆虫的水源。


图片


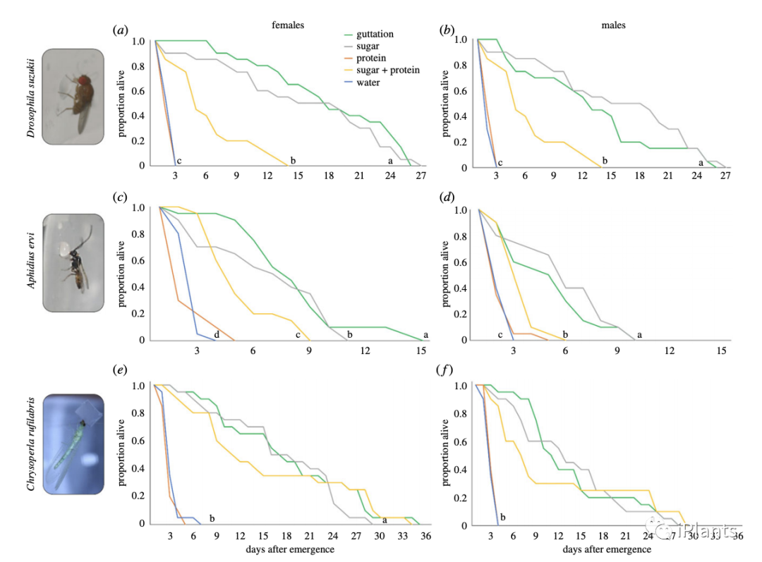
该研究在蓝莓田进行的一项实验,设置具有三种不同昆虫(斑翅果蝇、茧蜂和绿草蛉)分别喂食不同的组合,研究发现当斑翅果蝇、茧蜂以水滴作为食物来源进食时,它们的寿命比喂食糖加蛋白质,或仅喂食蛋白质或水的寿命更长,但与以纯糖饮食喂养的寿命相似。此外,研究还表明饮食水滴对于它们的繁殖能力也得到显著提高。


图片


该研究进一步表明,水滴中富含碳水化合物,并含有许多昆虫必需的蛋白质。而在整个季节中,这些水滴还存在于蓝莓田中,并且它们的存在使有益昆虫的数量增加了一倍,可以保护植物免受害虫侵害。该研究的发现对于保护有益昆虫非常重要,因为它们可以在花粉,花蜜,宿主或猎物稀缺时找到并以飞沫为食。


图片


综述所述,该研究结果表明,与其他植物来源的食物如花蜜相比,吐水现象具有较高的可靠性,并增加了昆虫的群落和适应性。接下来将会是研究其他植物,特别是作物植物的水滴产生的营养成分及其对昆虫的适应性益处,以及测试杀虫剂在施用后是否残留在液滴中并影响有益昆虫。


论文链接:https://royalsocietypublishing.org/doi/10.1098/rspb.2020.1080

相关推荐