解析苯嘧磺草胺,登记、合成路线、布局企业等

作者:原料药情报局 2023/11/29 10:13:02
苯嘧磺草胺是巴斯夫公司研制并开发的脲嘧啶类除草剂,为原卟啉原氧化酶(PPO)抑制剂,可有效防除绝大数阔叶杂草,包括抗草甘膦和ALS抑制剂的杂草。1.基本信息2.国内登记3.市场情况苯嘧磺草胺2009年在美国、阿根廷、尼加拉瓜和智利上市,2010年进入加拿大市场,2013年进入巴西市场。上市以来2013年破亿,2014年增至1.63亿美元,2015年为2.09亿美元。然而,2016年出现下滑,主要由
图片

苯嘧磺草胺是巴斯夫公司研制并开发的脲嘧啶类除草剂,为原卟啉原氧化酶(PPO)抑制剂,可有效防除绝大数阔叶杂草,包括抗草甘膦和ALS抑制剂的杂草。

1.基本信息

图片

2.国内登记

图片

图片

3.市场情况

苯嘧磺草胺2009年在美国、阿根廷、尼加拉瓜和智利上市,2010年进入加拿大市场,2013年进入巴西市场。

上市以来2013年破亿,2014年增至1.63亿美元,2015年为2.09亿美元。然而,2016年出现下滑,主要由于与HPPD抑制剂类除草剂的竞争加剧,2021年增至2.53亿美元。

图片

数据来源:IHS Markit

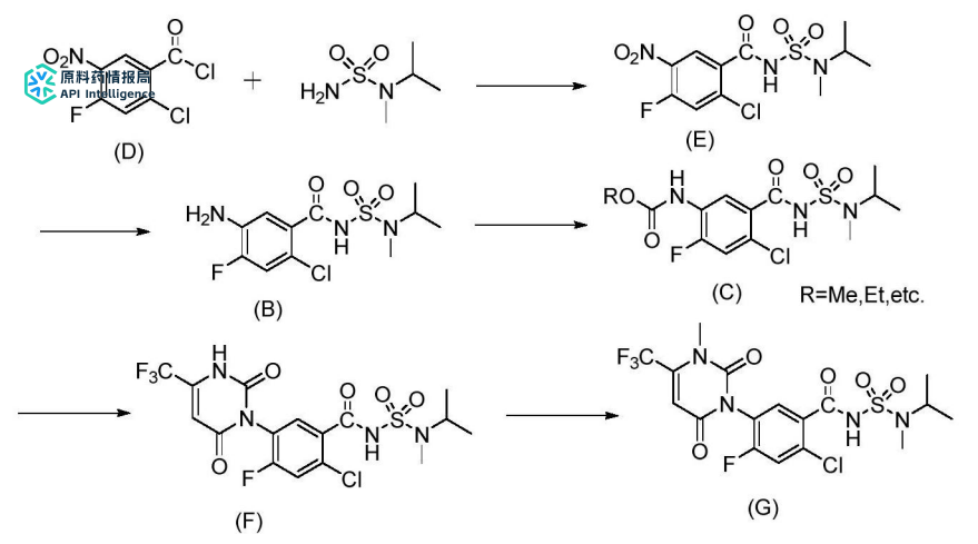
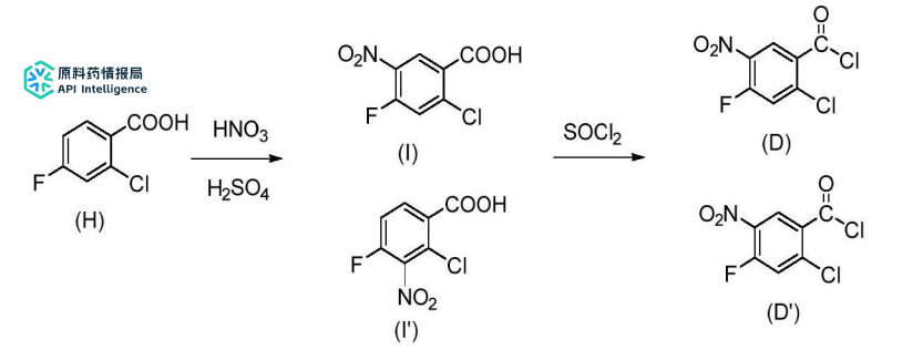
4.合成路线

(1)工业化大致路线

图片

图片

(2)中旗专利路线

图片

5.主要中间体

图片

6.布局企业

根据羟基不完全统计,国内原药布局企业如下:

图片


相关推荐