丙硫菌唑产品特点及应用和市场发展概要1.1 产品特点、发展和应用情况丙硫菌唑是拜耳公司研制的一种广谱三唑硫酮类杀菌剂,其作用机理是抑制真菌中甾醇的前体羊毛甾醇的14位脱甲基化作用而起效。它具有杀菌广泛,内吸活性好,保护、治疗和铲除活性高,有效期长等优点。国际杀菌剂抗性行动委员会(FRAC)将其归类为G1亚组,与三唑类杀菌剂同组。丙硫菌唑英文通用名为prothioconazole,开发代
丙硫菌唑是拜耳公司研制的一种广谱三唑硫酮类杀菌剂,其作用机理是抑制真菌中甾醇的前体羊毛甾醇的14位脱甲基化作用而起效。它具有杀菌广泛,内吸活性好,保护、治疗和铲除活性高,有效期长等优点。国际杀菌剂抗性行动委员会(FRAC)将其归类为G1亚组,与三唑类杀菌剂同组。丙硫菌唑英文通用名为prothioconazole,开发代号为JAU 6476、AMS 21619等,商品名为Proline、Redigo和Rudis等,其化学名称为2-[(2RS)-2-(1-氯环丙基)-3-(2-氯苯基)-2-羟基丙基]-2,4-二氢-1,2,4-三唑-3-硫酮;CAS登录号为178928-70-6;分子式为C14H15Cl2N3OS;相对分子质量为344.3。其化学结构式(图1)。
图1 丙硫菌唑化学结构式

丙硫菌唑具有高活性、广谱和比较安全等特性,在全球广泛用于麦类、大豆、油菜、水稻、花生、甜菜等。其杀菌谱广,对病害具有很好的防效,几乎对谷物上所有真菌病害都有优异防效,如白粉病、赤霉病、纹枯病和锈病等,能有效防治油菜和花生土传病害以及主要叶部病害,如灰霉病、褐斑病、黑斑病、锈病和黑胫病等。据研究,丙硫菌唑常规使用剂量在200 g/hm2左右,在此剂量下,其活性优于或等于常规杀菌剂,如氟环唑、戊唑醇、嘧菌环胺等。目前,丙硫菌唑单剂及其复配产品在我国主要登记在小麦上,用于小麦赤霉病、白粉病和锈病的防治。据了解,目前开展田间试验的丙硫菌唑产品有很多,其中有许多复配产品,复配对象包括肟菌酯、戊唑醇、吡唑醚菌酯、异菌脲、嘧菌酯、氟嘧菌酯、精甲霜灵、多菌灵、咯菌腈、呋虫胺等,在其他病害上的应用方向尚不明确。虽然丙硫菌唑在国外多种作物病害上均有登记和使用,但不同国家和地区的病原菌存在差异,因此许多专家学者围绕国内的作物病害对丙硫菌唑开展了多项研究。丙硫菌唑在国内的专利已经在2015年11月过期,其硫化工艺专利也于2018年到期。2019年过专利期以后,中国企业加大了对丙硫菌唑的登记、生产和推广。自2013年以来,丙硫菌唑稳居全球最畅销TOP10杀菌剂的行列,且市场地位在不断提升,从2013年的第5位上升到2020年的第2位,市场规模从8.63亿美元增至13.82亿美元,占杀菌剂的比例为7.74%,发展势头直逼杀菌剂龙头地位(嘧菌酯),同时丙硫菌唑使用总量也逐步释放,目前全球使用量达到7,400 t左右。丙硫菌唑是拜耳公司商业化开发非常成功的产品,已成为全球杀菌剂中的领先产品,产品于2004年上市,至2020年全球销售额已逾13亿美元(图2),目前市场进入供需两旺的阶段,市场成长趋势也较好。
表1 2020年全球最畅销杀菌剂TOP14

图2 2010-2020年全球丙硫菌唑销售额和使用量的变化情况
2019年以前,拜耳公司经营丙硫菌唑的情况基本涵盖了市场全貌。通过拜耳公司在不同国家的官网(植保业务)搜索显示,公司产品线丰富,分别在英国、德国、巴西、澳大利亚等多国均有登记丙硫菌唑相关产品。据公开报道显示,2019年以来,随着丙硫菌唑原药登记布局和产业化的发展,丙硫菌唑原药生产厂家不断新增,包括安道麦、久易股份、海利尔等,制剂厂家也在随之增多,如安道麦、HELM、巴斯夫、UPL等,逐渐呈现出原药供应全球化、制剂销售本地化的农化行业特征。根据中国农药信息网的查询结果,截至到2022年10月丙硫菌唑在国内的登记产品共15个,包括原药11个,制剂单剂2个、混剂2个,制剂剂型涉及悬浮剂、可分散油悬浮剂和乳油,详情见图3。
图3 我国丙硫菌唑剂型登记数量统计
自2019年1月以来,丙硫菌唑原药及制剂登记数量如图4。
图4 我国丙硫菌唑产品登记数量
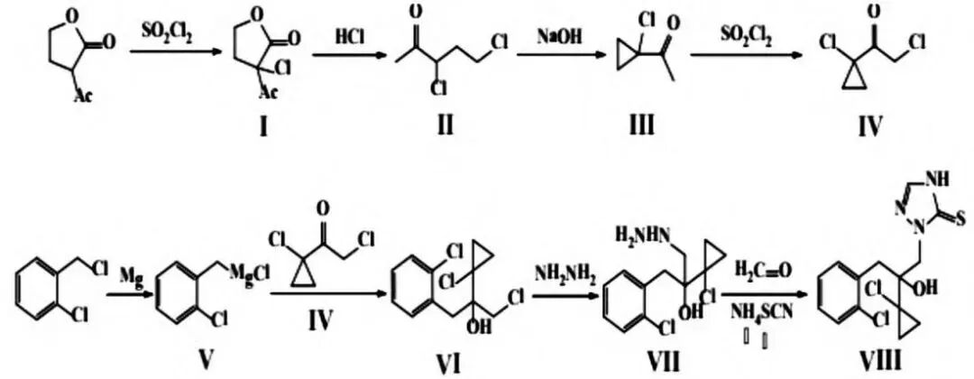
目前持有丙硫菌唑产品登记证的有安徽久易农业股份有限公司(3个)、海利尔药业集团股份有限公司及其子公司(2个)、江苏省溧阳中南化工有限公司等。根据公开资料及中农纵横估算,目前全球丙硫菌唑原药产能约9,500 t,2021年全球实际产量约为8,400 t,具体情况见表2。表2 2019-2021年丙硫菌唑原药供应主体的情况表2中,拜耳公司主要供应原药至其自身制剂加工,尚未了解到海利尔原药销售用途,而久易股份原药兼顾出口贸易与国内自身制剂加工并销售,依据公开资料显示,丙硫菌唑制剂销量逐年增长,由2019年的约103 t增长至2021年的约459 t。根据公开已有的信息,久易股份、海利尔集团及其子公司、南通泰禾等均披露了扩建丙硫菌唑产能的公告。预计未来3年,拜耳公司、久易和海利尔等仍将为全球丙硫菌唑供应端的主要参与者,预计2024—2025年全球丙硫菌唑原药产能将达到26,500 t,详细情况见表3。表3 2024-2025年全球丙硫菌唑原药企业产能情况基于目前拜耳公司在全球丙硫菌唑原药供应及制剂终端销售的主导地位,其他竞争者在短期内较难形成对其的替代作用,但随着拜耳在各国专利(化合物专利)的到期,以及其他竞争者在不同地区的产能建设、产品登记,预计未来几年丙硫菌唑原药的供应竞争将不断激烈化。从种植作物角度看,玉米、麦类和大豆是全球种植面积最大的农作物,相应的市场比较稳定。丙硫菌唑目前在不同地区的多种作物病菌上都有登记,但其用量主要还是在麦类(含小麦、大麦、燕麦、荞麦等)和大豆上。以麦类和大豆为例,2015年,丙硫菌唑在麦类和大豆上的使用量分别为2,521 t和1,650 t,约占当年全球总体用量5,155 t的81%;2020年丙硫菌唑在麦类和大豆上的使用量约占2020年全球用量7,393 t的80%,其用量分布变动幅度较小,具体情况见表4。
表4 2015-2020年丙硫菌唑作物市场使用分布
2020年全球丙硫菌唑按作物分类的使用量情况见图5。
图5 2020年丙硫菌唑市场容量(按作物折百用量,t)
从农作物种植地区看,三大作物的植保市场具有明显的地域分化:欧洲是全球最大的麦类植保市场,以2019年的数据为例,占比达到50%;拉美地区是全球大豆主产区,其植保市场占比超过70%;北美自贸区是全球最大的玉米植保市场,占比达到43%。目前,丙硫菌唑市场仍主要集中在欧洲、拉美地区,2019年其在主要区域市场中的销售量、销售额详细情况见表5。表5 2019年丙硫菌唑核心作物和主要区域市场情况3.1 市场供应主体变化及影响因素及预测(欧洲能源危机、合成技术壁垒等)据前文对丙硫菌唑登记形势、供应状况和市场潜力等分析,预计未来市场供应主体将会呈现规模化和众多化的特征,中国市场将体现得更加明显。根据研究,包括德国拜耳及国内久易股份在内的供应主体的登记已提前布局,由于我国以及世界主要经济体有着严格的农药产品登记法规和制度,登记证是生产销售农药产品的必备资质。另外,丙硫菌唑工艺路线先进、清洁也是潜在进入者准入市场的重要壁垒。根据相关研究和报道,有关丙硫菌唑的合成工艺大多存在物料消耗大、废水量大、固废量多、收率低、工艺流畅度差等问题。有的工艺中使用过量的三氯化铁作为反应试剂,导致反应生成大量固废,也有的工艺以三氯化铁为氧化试剂,反应完成后水相需双氧水氧化后才能再次利用,操作繁琐,工艺流畅度较差;还有些工艺以硝酸为氧化试剂,硝酸为易制爆品,参与化学反应有极大的安全风险。随着国家对环境保护的重视程度和环境保护要求的日益提高,开发丙硫菌唑的清洁合成工艺具有非常重要的意义。据刘志勇等的研究,他们通过不断改进工艺,以alpha-乙酰基-gama-丁内酯为原料,经过磺酰氯氯化、盐酸开环、氢氧化钠关环、磺酰氯再氯化先得到中间体Ⅳ,然后用邻氯氯苄与镁反应得到的格氏试剂与Ⅳ反应得到中间体Ⅵ,中间体Ⅵ直接与水合肼发生肼解反应得到肼基化合物Ⅶ,最后直接关环并通空气直接氧化得到丙硫菌唑(图6)。此路线采用空气氧化避免了用氯化铁、硫或者双氧水作为氧化剂,减少了废液的量,可以简化操作步骤,减少废液的产生,并且反应均为常规合成工艺,操作简单。欧盟的能源危机对拜耳丙硫菌唑产能可能造成受限或停车,对供应主体和供应总量产生重要影响。2022年2月份以来,俄罗斯和乌克兰战火一直持续至今。俄、乌冲突爆发后,美国联合欧盟等经济体,对俄实施了规模空前、多轮的经济制裁,其中包括对俄罗斯石油和天然气出口进行限制,加上天然气北溪管道运线损坏以及相关事件的持续发酵,以致欧盟内能源和化工原料出现短缺、成本高居不下,而我国丙硫菌唑的供应稳定和成本优势的持续性增强,有利于我国企业国际市场替代和增加出口。如果后期欧盟能源危机升级,势必对欧盟内化工行业的产业链和供应链产生深远的影响,也会波及欧盟6,000 t丙硫菌唑的开工,甚至有被关停的风险,中期来看,欧洲能源形势对我国供应主体是有利的。综上,未来丙硫菌唑供应势必呈现规模化和企业众多化,但也受到登记、技术壁垒和欧盟能源危机的限制,目前我国虽已有11家企业进行原药登记,但规模化产能布局、生产的企业仅有海利尔和久易股份。这些对潜在进入者具有较高的市场壁垒,减缓了潜在进入者对已有供应主体的冲击作用,进而影响部分供应主体而影响供应总量。从丙硫菌唑国内外市场驱动力来看,国内小麦市场应用前景良好。2022年2月全国农技中心发布《关于印发小麦″两病″等重大病虫害防控技术要点的通知》(农技植保【2022】7号)中已表示″在多菌灵产生抗性地区,可选用氰烯菌酯、戊唑醇、咪鲜胺、丙硫菌唑、氟唑菌酰羟胺等用量少、防效好的高效药剂及其复配制剂防治,以提高预防控制效果,降低呕吐毒素污染风险″,未来随着丙硫菌唑在我国逐步推广,其在我国小麦上潜在应用市场空间广阔。海外市场需求有望继续增长。丙硫菌唑国际市场农化巨头共同推广,尤其在大豆和小麦市场仍然具有较好的成长性;另外,油菜、水稻、花生、甜菜等作物具有新的应用场景和潜力。根据KLEFFMANN和中农纵横的监测统计,当前丙硫菌唑第一大用药国巴西已经批准登记了安道麦、先正达、UPL等公司的丙硫菌唑制剂产品,主要用于防治南美地区大豆亚洲锈病和小麦赤霉病。近几年来,国际市场的拜耳、先正达、巴斯夫和安道麦等作物保护国际龙头纷纷参与到丙硫菌唑产品开发中并持续加大开发力度,并陆续推出多款与丙硫菌唑的复配制剂,与之配伍成分有氟嘧菌酯、肟菌酯、氟唑菌苯胺、氟吡菌酰胺、肟菌酯和苯并烯氟菌唑等甲氧基丙烯酸酯类和琥珀酸脱氢酶抑制剂(SDHI)类杀菌剂(表6),丙硫菌唑和新型杀菌剂配伍,提高了丙硫菌唑市场准入壁垒,降低了抗性发生可能性,延长了产品的生命周期。表6 2021-2022年丙硫菌唑复配登记和推广的情况随着全球农药监管趋严,对农作物、食品相关物质农药残留减小的趋势和农药对环境、有益生物风险评估更加全面、严格,对高风险杀菌剂禁限用力度不断加大。丙硫菌唑作为新兴的杀菌剂产品,受相关竞品农药禁限用管理政策影响以及相关厂家登记及推广力度的不断加大(包括北美、东欧、中国和印度等亚洲新兴市场登记和推广),将为丙硫菌唑提供更大的成长空间。① 丙硫菌唑在亚洲和美洲等区域的新增登记和推广(多种复配产品推出),预计将带来约8,000 t市场增量。② 受欧美等管理政策的影响,这些地区已经对多菌灵、百菌清、代森类等采取不同程度的禁限用,预计丙硫菌唑将提供3,000 t替代市场;另外,传统三唑类杀菌剂受到内分泌干扰的管理风险,包括丙环唑、环丙唑醇、戊唑醇和叶菌唑等品种禁限用风险较大,预计为丙硫菌唑带来约6,000 t的替代增量。③ 丙硫菌唑近10年复合增长率为16.23%,按照此增长率测算,到2025年丙硫菌唑自然增长量将达到15,000 t。综上各方面的增量累计,中农纵横预测,到2025年,全球丙硫菌唑市场容量有望达到31,000 t左右。近年来,国家针对环保、安全生产和能效评价的管理越来越严,对农药新增产能的审批门槛抬高。根据中农纵横的监测,仍有10多家企业正在布局和潜在进入丙硫菌唑市场,无序的进入可能造成产能集中、规模化的释放,届时形成产品供过于求,将会造成价格异常波动,给部分企业带来损失,所以企业需要评估好立项产品的市场前景,考量能否在未来的市场竞争中分得一杯羹。4.2 与多种杀菌剂复配可以增效、延长产品的生命周期根据相关研究,长期单一、过量、频繁地施用丙硫菌唑可能使各种病原菌对其产生抗性,而将不同化学药剂进行复配使用则是可以延缓病原菌对单剂产生抗药性的方法之一,丙硫菌唑的复配制剂可以有效延缓丙硫菌唑的抗性产生和发展,此外,将丙硫菌唑与其他产品进行复配可以有效产生协同增效作用,进而延长产品的生命周期。基于丙硫菌唑具有杀菌广泛,内吸活性好,保护、治疗和铲除活性高,持效期长等优点,国际市场上,丙硫菌唑在大豆和麦类等作物对白粉病、赤霉病、纹枯病和锈病防效突出且使用多年,丙硫菌唑也可以应对多菌灵、福美双、甲基硫菌灵、氟环唑、咪鲜胺、戊唑醇、己唑醇等单剂及复配制剂产品长期使用引起的抗性,当前丙硫菌唑已成为全国植保部门推荐的小麦″两病″防治用药,国内市场应用前景良好,值得推广和科学应用。