玉米在发展中国家和发达国家均广泛种植,已成为全国第一大粮食作物。为了解决人口增长带来的粮食问题,农民长期不合理施用氮肥,造成氮肥利用率低、资源浪费及环境污染等问题。活化土壤养分,促进玉米根系对氮素的吸收、利用和转运,是提高玉米产量和氮肥利用率的关键因素。宛氏拟青霉是从野生沙棘根部分离出的一种内生真菌,再经发酵提取获得提取物(ZNC),然而尿素配施ZNC灌根对玉米生长及生理生化特征的影响鲜有报道。近
玉米在发展中国家和发达国家均广泛种植,已成为全国第一大粮食作物。为了解决人口增长带来的粮食问题,农民长期不合理施用氮肥,造成氮肥利用率低、资源浪费及环境污染等问题。活化土壤养分,促进玉米根系对氮素的吸收、利用和转运,是提高玉米产量和氮肥利用率的关键因素。宛氏拟青霉是从野生沙棘根部分离出的一种内生真菌,再经发酵提取获得提取物(ZNC),然而尿素配施ZNC灌根对玉米生长及生理生化特征的影响鲜有报道。近期,山东蓬勃生物科技有限公司联合山东农业大学在核心期刊《农业资源与环境学报》发表了题为《宛氏拟青霉提取物对玉米产量及氮代谢相关酶的影响》的文章。文章通过研究探讨了一种尿素配施ZNC灌根处理的氮肥增效方案。通过连续两年的盆栽试验验证,尿素配伍ZNC可显著提高玉米产量及氮肥利用率。明确了其增产增效机制:可显著提高土壤养分供应强度及根系氮代谢相关酶的活性,调控玉米光合作用及叶片氮代谢相关酶活性,促进养分吸收、转化及利用。为施用尿素配施ZNC灌根在玉米生产上应用和推广提供了依据。

与施用常规尿素处理(U)相比,U+ZNC处理2017与2018年玉米分别增产6.75%和8.22%,氮肥利用率分别提高了13.05与21.08 个百分点(表1)。连续两年施用ZNC灌根增产效果显著,同时显著提高了玉米氮肥利用效率。

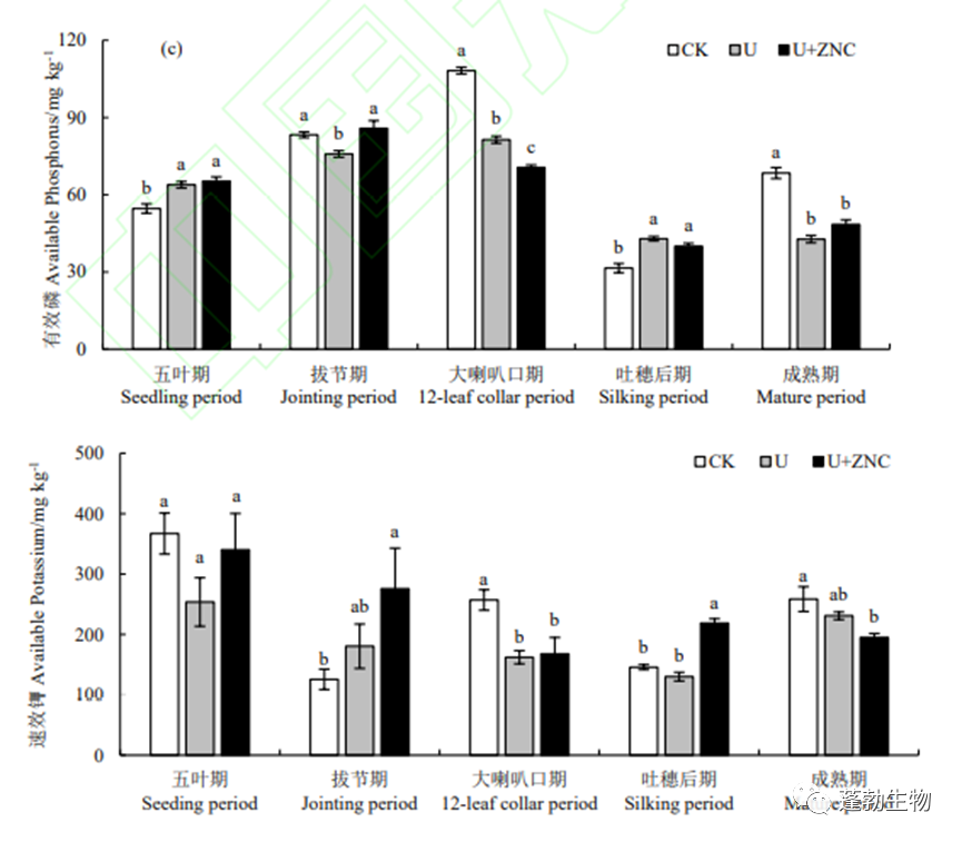
相较于U处理,玉米吐穗后期,U+ZNC处理土壤硝态氮与速效钾含量分别显著提高21.03%与68.23%;拔节期,土壤铵态氮与有效磷含量分别显著提高104.63%与13.18%(图2)。



大喇叭口期,与U处理相比,U+ZNC处理根系IAA、GSR、NR、GS、GOGAT和GLDH浓度分别显著提高60.42%、12.46%、68.38%、17.49%、22.51%和31.18%(图3)。ZNC可以调控作物氮转运关键酶活性,从而提高作物吸收土壤无机氮的能力,加速氮素同化。

玉米大喇叭口期,相比U处理,U+ZNC处理叶片GSR、NR 和GS的含量分别显著提高了88.32%、46.27%和70.89%(图7)。拔节期与大喇叭口期,U+ZNC处理NiR相比U处理分别显著提高了79.97%和56.66%,GOGAT浓度分别显著提高33.98%和22.51%。


与U处理相比,U+ZNC处理拔节期与大喇叭口期的叶片中PEPC浓度分别显著提高了44.00%和31.44%,大喇叭口期的PPDK浓度显著提高了71.07%(图8)。ZNC提高叶片光合相关酶活性,使玉米光合能力上升,从而显著提高光合速率,增加玉米产量。

本研究结果表明,尿素配施ZNC灌根不仅显著提高了氮肥利用率,而且土壤中硝态氮、铵态氮、有效磷和速效钾含量在不同生育期也显著提高,满足了玉米关键生育期对养分的需求。同时提高了玉米根系的生长素、氮素代谢酶及叶片的光合作用相关酶、氮素代谢酶活性,促进养分吸收、转化及利用,显著提高玉米产量。论文链接:https://kns.cnki.net/kcms/detail/detail.aspx?dbcode=CAPJ&dbname=CAPJLAST&filename=NHFZ20211220000&uniplatform=NZKPT&v=2s02xbyGhI_7FizDK4KH-5moU7ZN4jPT4Kou8_wX_B_7w214VvEWVEy36Ro_IP5w