综合性除草剂——噻酮磺隆

作者:农博生物 张莎莎 2022/8/31 10:17:28
噻酮磺隆是拜耳公司发明的新一类ALS(乙酰乳酸合成酶)抑制剂,用作苗前苗后处理,防除玉米田小麦田和草坪上的一年生禾本科杂草和阔叶杂草。具有活性高、用量少、持效期长、杀草谱广、对禾本科作物安全、可与其它安全剂混用等特点,开发和应用前景广阔。理化性质噻酮磺隆,英文通用名: thiencarbazone –methyl,CAS登录号:317815-83-1,化学名称:甲基4-(4,5-二氢-3-甲氧基-

噻酮磺隆是拜耳公司发明的新一类ALS(乙酰乳酸合成酶)抑制剂,用作苗前苗后处理,防除玉米田小麦田和草坪上的一年生禾本科杂草和阔叶杂草。具有活性高、用量少、持效期长、杀草谱广、对禾本科作物安全、可与其它安全剂混用等特点,开发和应用前景广阔。


理化性质


噻酮磺隆,英文通用名: thiencarbazone –methyl,CAS登录号:317815-83-1,化学名称:甲基4-(4,5-二氢-3-甲氧基-4-甲基-5-氧代-1H-1,2,4-三唑-1-基) 羰基磺胺]-5-甲基噻吩-3-羧酸乙酯,是磺酰氨基羰基三唑啉酮类除草剂。结构式如下:


图片


毒性


噻酮磺隆属于低毒农药,其大鼠急性经口毒性LD50> 2000mg/kg,大鼠急性经皮毒性LD50 >2000 mg/kg,大鼠急性吸人毒性LC50 >2.018 mg/L,对家兔皮肤和眼睛无刺激性,对豚鼠皮肤无致敏性。无致畸性、致癌性、致突变性,婴幼儿及人群接触风险可接受。对鸟类、鱼类、水蚤类、蜜蜂、虹蚓、土壤微生物等环境生物无害或低毒。


作用机理


噻酮磺隆属于磺酰氨基羰基三唑啉酮类除草剂,是乙酰乳酸合成酶(ALS)抑制剂,通过抑制植物体必需気基酸的生物合成,使细胞停止分裂,植株停止生长。同时具有土壤活性和茎叶喷雾活性,杂草根系和叶片吸收后向上传导,具有触杀效果好持效期长。施用后有效成分通过敏感植物根系及茎叶吸收进人植物体后,阻止植物支链氨基酸的生物合成,最终导致敏感植物枯死。


噻酮磺隆可有效防除玉米田小麦田和草坪上的一年生禾本科杂草和阔叶杂草,苗前苗后早期均可使用。安全剂的加入加速了该除草剂在玉米作物中的降解,提高了作物的耐受力。


登记情况


2008年8月,噻酮磺隆在罗马尼亚取得全球首个登记,以Aden-go商品名在罗马上市。随后,该产品在美国,加拿大,阿根廷,欧洲等国家或地区登记。

图片

经中国农药信息网查询,目前我国仅有拜耳股份公司登记的噻酮磺隆原药和26%噻酮·异噁唑悬浮剂。2015年3月,拜耳在中国上市玉米除草剂产品名称为爱玉优®,其活性成分为19%异噁唑草酮+7%噻酮磺隆,辅以拜耳CSI安全剂(环丙磺酰胺)。爱玉优®的杀草谱宽,控草时间长,具有遇水再激活特性,是目前市场上唯一能够通过土壤封闭、苗后早期茎叶以及遇水激活的三重除草机制稳定除草效果的除草剂。


拜耳公司的噻酮磺隆的欧洲专利EP1200426和美国专利US6964939,均已于2020年7月4日到期,在我国申请噻酮磺隆核心化合物专利CN1158280C专利保护期也已于2020年7月份届满。


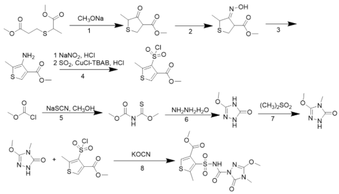
合成工艺


目前,主要合成路线以二酯硫醚为原料,经由分子内缩合、肟化、氨化、磺酰氯化、酰胺化、异氧酸酯化、加成(或者一锅法酷胺化、苯酯酰胺化、酰胺化)等十步反应合成目标化合物。

图片

发展与展望


噻酮磺隆,2011年的全球销售额为0.45亿美元,2012年销售额1.05亿美元,2013年销售额1.35亿美元,2014年销售额1.80亿美元,2009-2014年复合年增长率达64.4%,极具发展潜力!而且虽然目前有不少关于抗ALS杂草出现,但目前还没有噻酮磺隆的抗性杂草出现。随着乙草胺、莠去津、还有异丙甲草胺等常规玉米田除草剂抗药性的提高,噻酮磺隆作为一种新的用于玉米和谷物的除草剂,具有良好的市场前景。感兴趣的企业可以多多关注该新型除草剂。



相关推荐