甲酰胺磺隆——市场前景广阔的磺酰脲类除草剂

作者:农博生物 冯玲 2023/6/23 8:47:28
甲酰胺磺隆通用名称为Foramsulfuron,商品名是Cornstar、康施它,是德国拜耳作物科学公司研制开发的一种磺酰脲类除草剂。主要用于玉米等谷类作物中一年生或多年生禾本科杂草和部分阔叶杂草,还可用于草坪。其使用方法为苗后茎叶处理,对刚出苗至7-10叶期的杂草均有效,最佳的施药期是杂草刚出苗至4-6叶期。甲酰胺磺隆化学结构式合成路线甲酰胺磺隆目前在文献中报道的合成路线有以下4条:1)以2-氨

甲酰胺磺隆通用名称为Foramsulfuron,商品名是Cornstar、康施它,是德国拜耳作物科学公司研制开发的一种磺酰脲类除草剂。

主要用于玉米等谷类作物中一年生或多年生禾本科杂草和部分阔叶杂草,还可用于草坪。其使用方法为苗后茎叶处理,对刚出苗至7-10叶期的杂草均有效,最佳的施药期是杂草刚出苗至4-6叶期。

图片

甲酰胺磺隆化学结构式


合成路线

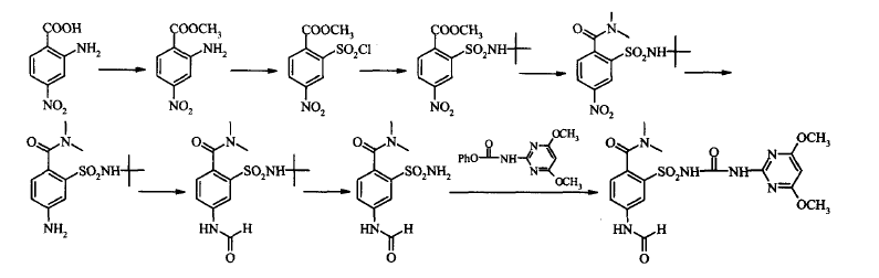
甲酰胺磺隆目前在文献中报道的合成路线有以下4条:


1)以2-氨基-4-硝基苯甲酸为起始原料,经7步反应得到N,N-二甲基-2-氨基磺酰基-4-甲酰氨基苯甲酰胺,再与取代嘧啶缩合制得甲酰胺磺隆。

图片

2)以对硝基甲苯为起始原料,经7步反应得到N,N-二甲基-2-氨基磺酰基-4-甲酰氨基苯甲酰胺,再与取代嘧啶缩合制得甲酰胺磺隆。

图片

3)以对硝基甲苯邻磺酸为起始原料,经8步反应得到N,N-二甲基-2-氨基磺酰基-4-甲酰氨基苯甲酰胺,再与取代嘧啶缩合得到甲酰胺磺隆。

图片

4)以对硝基甲苯邻磺酸为起始原料,经6步反应得到N,N-二甲基-2-氨基磺酰基-4-甲酰氨基隆苯甲酰胺,再与取代嘧啶缩合得到甲酰胺磺隆。



作用机理及田间实验情况


甲酰胺磺隆是磺酰脲类除草剂,主要通过作用于乙酰乳酸合成酶,抑制支链氨基酸合成,从而抑制植物细胞分裂和生长来发挥除草作用。


有研究表明,3%甲酰胺磺隆可分散油悬浮剂在防除反枝苋和狗尾草等一年生杂草上有着优秀的效果,并且对夏玉米有一定的增产效果,虽有观察到轻微药害,但是在施药后10天症状逐渐消失。



登记情况

目前甲酰胺磺隆在国内的登记只有4个,原药1个,单剂3个。

图片

甲酰胺磺隆登记情况(截止2023年6月6号)


市场前景


甲酰胺磺隆活性高,田间用药量低,对哺乳动物低毒,能延缓草甘膦,莠去津等除草剂长期使用带来的环境风险和杂草抗性问题。但值得注意的是,磺酰脲类除草剂易对后茬作物产生药害,尤其对棉花、玉米易感,因此,在施药时应根据作物种类、土壤、气候条件、苗情严格用药,施药时避开高温天气,均匀喷雾,避免产生药害。


而甲酰胺磺隆在北方地区中性和碱性土壤中降解半衰期长,可以选择轮作其他耐受作物或者等待3个月安全间隔期后再进行种植。

随着近几年来杂草对草甘膦抗性的快速发展,具有广谱、高效、低毒、高选择性等优势的甲酰氨基嘧磺隆期待获得更大的市场空间。


相关推荐