泰禾成功首登,环丙氟虫胺正式进入中国市场

作者:农药资讯网 柏亚罗 2025/10/20 9:36:11
根据农业农村部2025年9月30日发布的第954号公告,南通泰禾化工股份有限公司基于新型杀虫剂环丙氟虫胺的3个产品在我国获准登记,这是该有效成分产品首次在国内正式登记,拉开了环丙氟虫胺进入中国市场的序幕。环丙氟虫胺是泰禾创制的第一个拥有自主知识产权的化合物,是全球市场继溴虫氟苯双酰胺后第2个上市的间二酰胺类化合物,两者具有相同的作用机理,皆为γ-氨基丁酸(GABA)门控氯离子通道别构调节剂,与现有

根据农业农村部2025年9月30日发布的第954号公告,南通泰禾化工股份有限公司基于新型杀虫剂环丙氟虫胺的3个产品在我国获准登记,这是该有效成分产品首次在国内正式登记,拉开了环丙氟虫胺进入中国市场的序幕。


环丙氟虫胺是泰禾创制的第一个拥有自主知识产权的化合物,是全球市场继溴虫氟苯双酰胺后第2个上市的间二酰胺类化合物,两者具有相同的作用机理,皆为γ-氨基丁酸(GABA)门控氯离子通道别构调节剂,与现有杀虫剂无交互抗性。


环丙氟虫胺具有杰出的产品性能,高效、广谱,对环境友好,是抗性管理的重要工具,尤其对抗性区域的二化螟、稻纵卷叶螟等防效优异。


泰禾已与全球领先的跨国公司展开合作,共同推动环丙氟虫胺的全球商业化进程。据预测,该产品有望在中国实现超过10亿元人民币的销售额,加上其海外市场的迅速拓展,环丙氟虫胺或将成为全球性的重磅杀虫剂。


1  产品创制及毒性


早在20年前,泰禾就在新农药创制上战略布局;2016年组建了由国内知名专家、博士、硕士等组成的高素质创制团队,建立了新化合物设计合成、生物活性筛选研发平台,开启了新农药创制之路。


双酰胺类杀虫剂是全球研发的热门领域,其中,间二酰胺类化合物不仅拥有全新作用机理,而且活性高、杀虫谱广。泰禾研发团队对该类化合物进行了系统研究,借鉴了双酰胺类杀虫剂的研发路径,将环溴虫酰胺(cyclaniliprole)结构中的环丙甲基引入间二酰胺的骨架中,形成通式Ⅰ的化合物系列。公司通过对修饰化合物杀虫活性测试结果显示,引入环丙甲基后的化合物对二化螟的杀虫活性显著提高,同时,对鱼、藻、溞等水生生物的安全性也得到明显改善。有鉴于此,研究人员合成了大量的通式Ⅰ化合物,经过多轮构效关系分析,结合安全性评价结果,最终于2018年发现了活性优异、综合性能最佳的环丙氟虫胺,2019年启动登记,同年获得中文通用名。


图1  环丙氟虫胺的创制经纬


从环丙氟虫胺的创制经纬不难发现,该产品集成了溴虫氟苯双酰胺和环溴虫酰胺的创制智慧,不仅继承了溴虫氟苯双酰胺优异的杀虫活性,而且克服了其对水生生物毒性高的缺陷,成功进入水稻市场,有力地拓展了产品的应用领域。


2020年6月,国际标准化组织(ISO)农药命名技术委员会临时批准了环丙氟虫胺的英文通用名cyproflanilide,其后获得正式批准。其试验代号:CAC-I-785;IUPAC化学名称:N-{2-溴-4-[1,2,2,2-四氟-1-(三氟甲基)乙基]-6-(三氟甲基)苯基}-3-[N-(环丙基甲基)-4-氟苯甲酰氨基]-2-氟苯甲酰胺;CAS登录号:2375110-88-4;分子式:C28H17BrF12N2O2;相对分子质量:721.332;结构式如图2。


图2  环丙氟虫胺的结构式


图3  溴虫氟苯双酰胺的结构式


环丙氟虫胺与溴虫氟苯双酰胺的化学结构非常相似,在骨架结构相同的情况下,环丙氟虫胺的分子中增加引入氟原子和环丙基,从而使产品性能得到进一步优化,尤其是对水生生物的毒性显著降低。可以说,环丙氟虫胺的问世,是以“小基团”撬动“大市场”的又一成功典范。


2  作用机理及应用


近日,国际杀虫剂抗性行动委员会(IRAC)将环丙氟虫胺归入第30组,这是继溴虫氟苯双酰胺之后进入该组的第2个双酰胺类化合物,同时也是进入该组的第4个有效成分。



目前,IRAC第30组中包括两类化学结构的4个产品,也即,间二酰胺类产品溴虫氟苯双酰胺(broflanilide)、环丙氟虫胺(cyproflanilide),以及异噁唑啉类产品异噁唑虫酰胺(isocycloseram)、氟噁唑酰胺(fluxametamide)。其中,溴虫氟苯双酰胺最先进入该组,环丙氟虫胺新近加盟。IRAC第30组中的杀虫剂作用机理新颖,与其他组别的杀虫剂无交互抗性,有利于害虫的综合治理和抗性管理。



与溴虫氟苯双酰胺相同,环丙氟虫胺也为昆虫γ-氨基丁酸(GABA)门控氯离子通道别构调节剂。环丙氟虫胺的代谢产物——去环丙甲基-环丙氟虫胺,作用于靶标害虫GABA受体RDL1和RDL2两个亚基,抑制神经传递,阻隔昆虫的抑制信号,打破昆虫神经系统的平衡状态,引起昆虫过度兴奋,导致抽搐、痉挛,最终死亡。


环丙氟虫胺高效、低毒、杀虫谱广、渗透性好、速效性佳、起效快、持效期长,具有胃毒、触杀(胃毒作用强于触杀作用)、内吸作用,可有效防治鳞翅目、鞘翅目、缨翅目等害虫。环丙氟虫胺对作物安全,可广泛用于水稻、玉米、棉花、大豆、果树、蔬菜等多种作物;防治甜菜夜蛾、小菜蛾、斜纹夜蛾、二化螟、稻纵卷叶螟、苹果小卷叶蛾、梨小食心虫、草地贪夜蛾等鳞翅目害虫,跳甲、叶甲等鞘翅目害虫,蓟马等缨翅目害虫等,特别是对传统活性成分已产生抗性的鳞翅目害虫表现出较好的防效。环丙氟虫胺与主要竞品如氯虫苯甲酰胺、阿维菌素、乙基多杀菌素、茚虫威等均无交互抗性,是抗性管理的重要工具。


环丙氟虫胺在很低的用量下即表现出优异的防效,其用药量为15~60 g a.i./hm2,施药方式灵活,可用于叶面喷雾、土壤处理,也可应用于公共卫生领域。


二化螟是水稻生产上重要的钻蛀性害虫,由于在水稻上的防治用药局限性大,药剂相对单一,因此抗药性发展迅速。同时,现有主流二化螟防治药剂对水生生物的毒性较高,存在对环境不利的因素。而环丙氟虫胺对二化螟防效优异且对水生生物安全,是一款高效、安全、环境友好,能有效防治抗性二化螟的杀虫剂,可以有效解决二化螟抗性区域无药可用的痛点。


为验证环丙氟虫胺对抗性水稻二化螟的防治效果,提高水稻二化螟科学综合防控水平,2023年春季开始,泰禾国际与全国农技中心合作,先后在湖南、江西、安徽、江苏等省组织开展防治抗性水稻二化螟田间药效试验,取得了一致的优秀防效和广泛好评。


环丙氟虫胺2020—2023年的研发试验和药效登记试验、2022—2023年企业示范试验、2023年全国农技中心组织的多省示范试验均表明:环丙氟虫胺对江西、湖南、浙江、安徽等高抗区域二化螟仍处于敏感水平,RR值为0.5~2.7;相同条件下,氯虫苯甲酰胺的RR值为1.0~2,706.4。环丙氟虫胺在30~60 g a.i./hm2剂量时对二化螟具有优异防效,特别是二化螟抗性高的区域如湖南、江西、浙江、安徽、湖北等地区田间防效达90%以上。


另外,环丙氟虫胺在东南亚、南美等地区的田间试验同样获得了优秀效果,具有较大的市场潜力和社会价值。


环丙氟虫胺对非靶标生物安全,对环境友好。环丙氟虫胺微毒,对皮肤无刺激性、无致敏性,对眼睛有轻度刺激,但24 h可恢复。Ames试验、微核试验、染色体畸变试验、基因突变试验结果均为阴性。其对斑马鱼、泥鳅、羊角月牙藻、大型溞、小龙虾、中华绒鳌蟹等安全。


3  产品登记及上市


基于环丙氟虫胺优秀的产品性能,南通泰禾与全球领先的跨国公司先正达、UPL战略合作,共同推动该产品全球商业化进程。


2020年12月2日,泰禾国际与先正达集团中国正式签约,启动“环丙氟虫胺中国战略合作”,开启了两家公司关于创制产品合作的新篇章。2022年7月25日,泰禾国际与先正达植保再度签署了“环丙氟虫胺中国深度战略合作协议”。至此,先正达植保正式取得了泰禾国际20%环丙氟虫胺悬浮剂在中国大陆的独家经销权。同时,先正达植保正在和同属先正达集团中国植保业务单元的中化作物及安道麦团队积极布局环丙氟虫胺混剂的开发、登记和销售。


凭借双方团队的优势合作和专业服务,环丙氟虫胺有望在中国植保市场迸发出强劲动力,预计其年峰值销售额将突破10亿元人民币。


2024年11月12日,南通泰禾与UPL达成一项新的全球战略合作协议,共同推进环丙氟虫胺产品的开发、登记和海外商业化,UPL将负责在海外40多个国家开展其商业化进程。


2024年10月23日,江苏省农业农村厅正式核发了南通泰禾化工股份有限公司的环丙氟虫胺原药生产许可;同年,公司完成了年产500吨环丙氟虫胺原药项目试生产及“三同时”验收。


2024年7月11日,南通泰禾化工股份有限公司98%环丙氟虫胺原药(微毒)获批仅限出口到柬埔寨;2025年2月25日,公司20%(220克/升)环丙氟虫胺悬浮剂(微毒)获批仅限出口到柬埔寨。


2025年9月30日,南通泰禾化工股份有限公司基于环丙氟虫胺的3个产品在我国获准登记,这是该有效成分产品首次在我国正式登记。登记的这3个产品分别为:98%环丙氟虫胺原药(微毒)、20%环丙氟虫胺悬浮剂(微毒)、10%环丙氟虫胺可分散液剂(低毒)。其中,10%环丙氟虫胺可分散液剂由泰禾上市,商品名为百施佳®;先正达上市20%环丙氟虫胺悬浮剂。


20%环丙氟虫胺悬浮剂,登记防治小白菜、甘蓝小菜蛾,制剂用药量5~10毫升/亩,于小菜蛾卵孵盛期至低龄幼虫期喷雾施药1次,兑水量45~50公斤/亩,每季最多施药1次,安全间隔期分别为5天(小白菜)、7天(甘蓝)。


针对水稻二化螟,先正达植保继2023年3月将20%环丙氟虫胺悬浮剂样品陆续投放市场,进行180余次的试验,达到1万余亩次的派样,让更多的农户和渠道商体验这一优秀的二化螟防治方案。


10%环丙氟虫胺可分散液剂(百施佳®),登记防治小白菜黄条跳甲,甘蓝甜菜夜蛾、小菜蛾,制剂用药量分别为10~20毫升/亩、5~15毫升/亩、10~20毫升/亩,每季最多施药1次,安全间隔期分别为5天(小白菜)、7天(甘蓝)。本品于小白菜黄条跳甲发生初期喷雾施药1次,兑水量30~50公斤/亩;于甘蓝甜菜夜蛾卵孵盛期至低龄幼虫期喷雾施药1次,兑水量50公斤/亩;于甘蓝小菜蛾卵孵盛期至低龄幼虫期喷雾施药1次,兑水量30~50公斤/亩。


百施佳®适用于防治蔬菜、果树等作物上常见的小菜蛾、甜菜夜蛾、草地贪夜蛾、跳甲等难防害虫,同时打破了二化螟抗性区域无药可用的困境,对水稻抗性二化螟等害虫实现高效防治,是万千种植户增产丰收的杀虫利器。


4  化合物专利


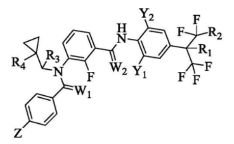
2018年12月18日,上海泰禾国际贸易有限公司申请了关于环丙氟虫胺的化合物专利(ZL201811555432.3),2019年11月26日获得授权,授权公告号CN109497062B;发明名称:一种间二酰胺类化合物及其制备方法和应用;此专利将于2038年12月17日到期。


本发明提供一种间二酰胺类化合物及其制备方法和应用,所述间二酰胺类化合物具有式Ⅰ所示结构,本发明所述的间二酰胺类化合物能够在低剂量下具有高的杀虫活性,并且起效快,在施用1天后就可以发挥杀虫活性,在3天内就可以达到很高的杀虫活性,具有良好的速效性;并且由于低剂量下效果好,减少药物浓度过大对植物以及人类的伤害,并且使得应用时产生药物残留少,更加利于环保,应用前景广阔。


图4  CN109497062B专利中式Ⅰ的结构式


目前,环丙氟虫胺已获得中国、欧洲、日本、韩国、越南、美国、菲律宾、澳大利亚、印度、加拿大、俄罗斯、南非、以色列等16个国家和地区的化合物专利授权,而且,泰禾也已完成环丙氟虫胺混剂、用途、制剂、工艺、晶型、中间体的专利布局,形成了环丙氟虫胺较为完整的专利保护网。


5  市场前景


环丙氟虫胺是泰禾研究人员基于间二酰胺类化合物杀虫谱广、活性高、作用机制新颖等特点,系统研究该类化合物后,在药物分子设计过程中将环溴虫酰胺分子中的环丙甲基引入间二酰胺骨架中,经过多轮优化发现的杀虫活性高、对水生生物低毒的全新化合物。


环丙氟虫胺高效、广谱、微毒,对环境友好,广泛应用于水稻、玉米、棉花、大豆等作物,对许多鳞翅目、鞘翅目、缨翅目害虫防效优异;其作用机理独特,与其他杀虫剂无交互抗性,将为解决害虫抗性区域无药或少药的痛点提供绿色解决方案。


泰禾通过与先正达、UPL紧密协作,加速环丙氟虫胺的全球应用推广,使全球更多农民能够受益于这项先进科技,进一步实现高效作物保护,并助力全球粮食安全的可持续发展。


环丙氟虫胺有望成为泰禾划时代的产品,更将成为抗性二化螟防治史上里程碑式的产品,为水稻丰产、农民丰收做出新的更大贡献。


未来,环丙氟虫胺还将成为泰禾继百菌清、嘧菌酯、2,4-滴等核心原药产品后的又一支柱产品,并成为公司新的业绩增长点。


(江苏省农药协会  农药资讯网  柏亚罗)

相关推荐